Fig. 17
From: A novel network lifetime maximization technique in WSN using energy efficient algorithms

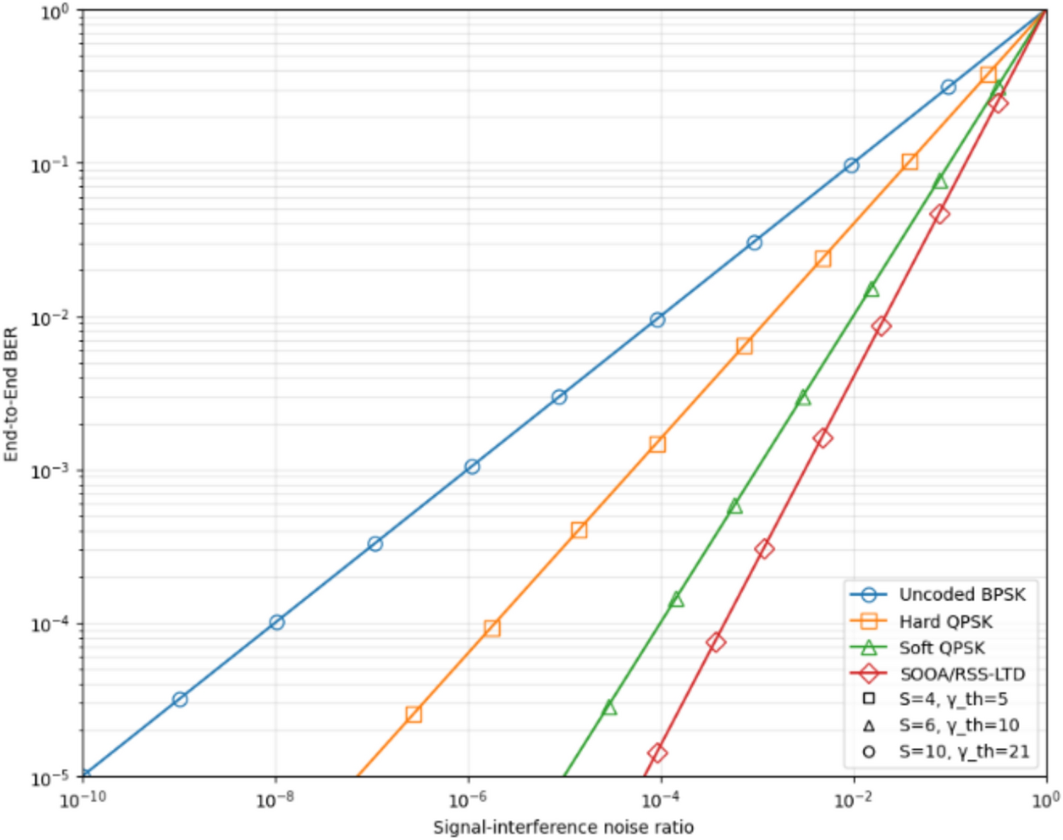
E2EB Vs SINR performance considering RSS-LTED.
From: A novel network lifetime maximization technique in WSN using energy efficient algorithms

E2EB Vs SINR performance considering RSS-LTED.