Fig. 13
From: Numerical analysis on the airflow organization of a blowing suction dust collector

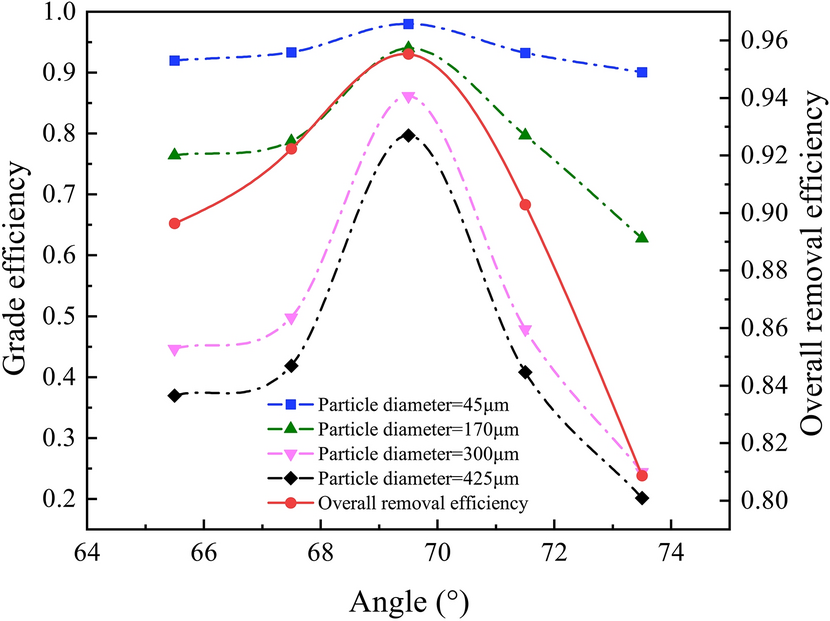
Effect of inclination angle on dust removal efficiency.
From: Numerical analysis on the airflow organization of a blowing suction dust collector

Effect of inclination angle on dust removal efficiency.