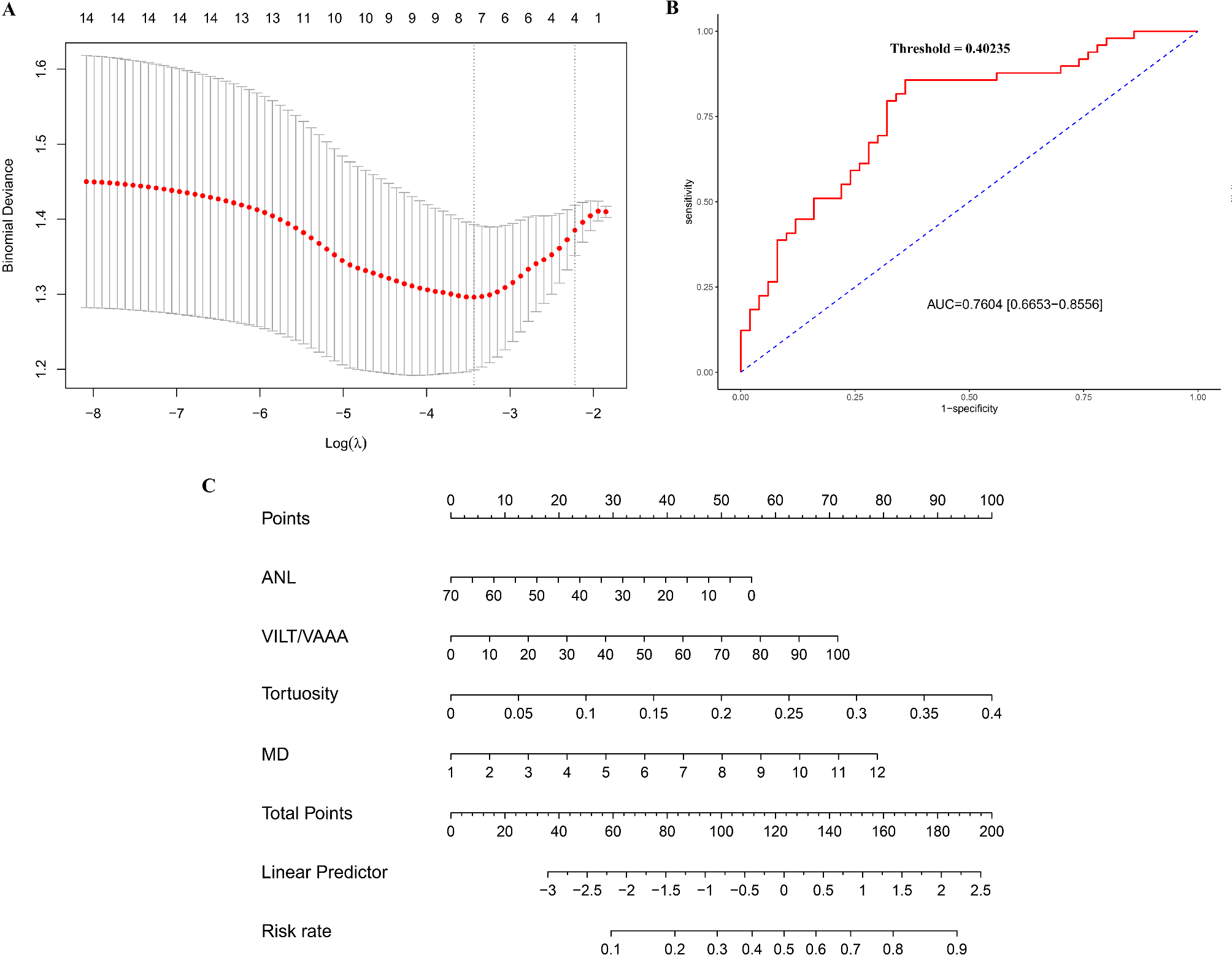
Fig. 5

(A) Predictor selection using the LASSO regression analysis with tenfold cross-validation. Tuning parameter (lambda) selection of deviance in the LASSO regression based on the minimum criteria (left dotted line) and the 1-SE criteria (right dotted line). In the present study, predictor’s selection was according to the 1-SE criteria (right dotted line), where 4 nonzero coefficients were selected. LASSO, least absolute shrinkage and selection operator; SE, standard error. (B) The AUC (representative the discriminatory ability of the model) of the model and the internal validation. It shows the AUC of the predictive model (n = 99). AUC = Area Under the Curve. Threshold = 0.40235. (C) Nomogram for predicting risk of rupture of abdominal aortic aneurysm (RAAA) and its algorithm. First, a point was found for each variable of an abdominal aortic aneurysm (AAA) patient on the uppermost rule, then all scores were added together and the total number of points were collected. Finally, the corresponding predicted probability of RAAA was found on the lowest rule. ANL = Aortic Neck Length; VILT/VAAA = Ratio of Volume of Intraluminal Thrombus to Volume of Abdominal Aortic Aneurysm; MD = Maximum Deformation.