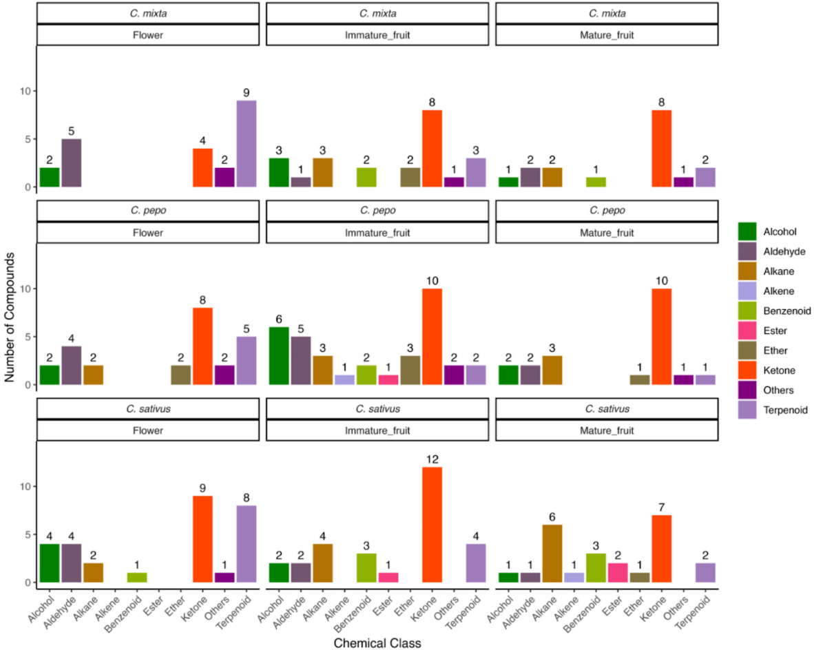
Fig. 3

Chemical class of headspace volatiles of three cucurbitaceous plants at different phenological stages. The graph shows that ketones are the dominant chemical class in the sampled cucurbit plants headspace across all developmental stages. The numbers at the top of each bar indicate the number of compounds in each chemical class. Carboxylic acid, amine, amide and unknown chemical classes are grouped under the " others " category.