Fig. 5
From: Critical period of weed-crop competition in irrigated chickpea as a tool for judicious weed control

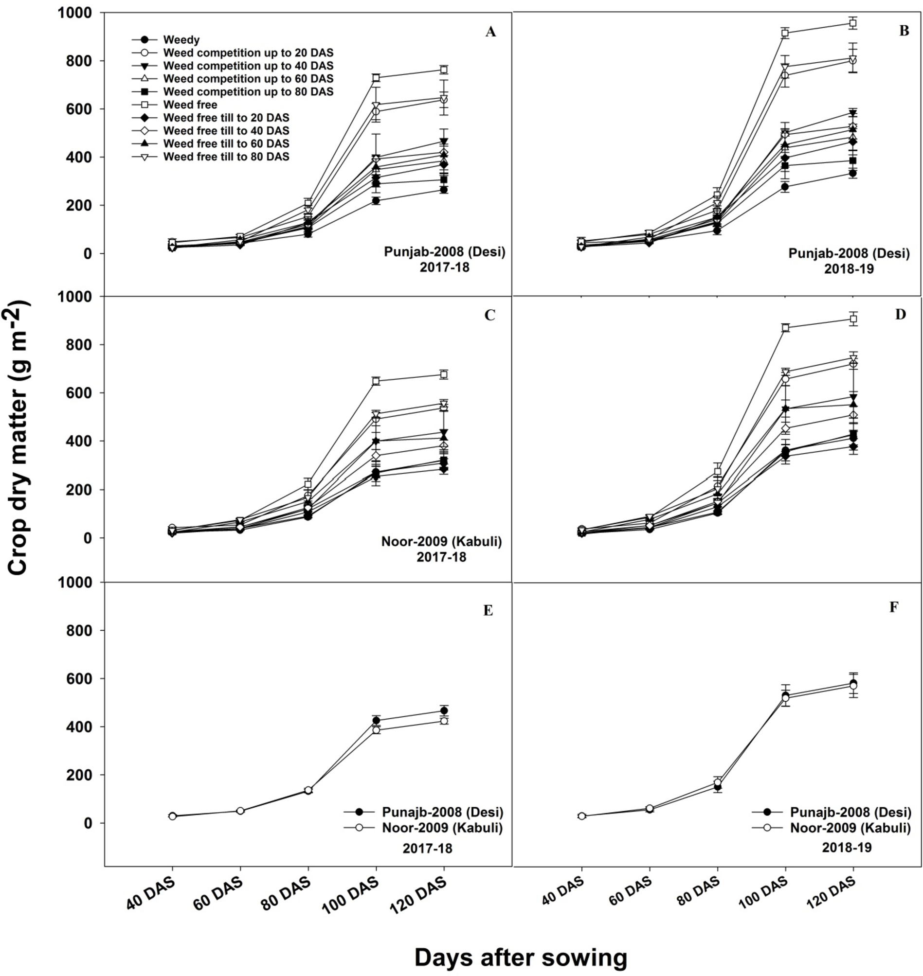
Patterns of dry matter accumulation by chickpea during 2017-18 and 2018-19. Vertical bars above means denote standard errors of three replicates.