Abstract
Studies to appraise critical period of weed competition (CPWC) in Desi and Kabuli chickpea were undertaken during 2017-18 and 2018-19 winter growing seasons. Desi (Punjab-2008) and Kabuli (Noor-2009) chickpea crops were subjected to different durations of weed competition [competition for 20 days after sowing (DAS), 40, 60 and 80 DAS] as well as weed-free periods [weed-free till 20, 40, 60 and 80 DAS]. Season-long weed check and weed-free plots were also maintained for both chickpea genotypes. Relative yield data under such treatments were fitted to logistic and Gompertz equations. Increasing period of weed competitions (from 20 to 80 DAS) had a diminishing effect on dry matter accumulation and crop growth rate of chickpea. Weed competition reduced crop dry matter by 18, 37, 51 and 56% compared to weed-free conditions when weeds competed with chickpea crop for 20, 40, 60 and 80 DAS, respectively. Seasonal crop growth rate was reduced from 6.79 g m−2 day−1 to 3.61 g m−2 day−1 when weeds competed with crop from 20 to 80 DAS as against 8.51 g m−2 day−1 recorded for weed-free crop. The season-long weed competition resulted in 60% reduction in crop dry matter. Weed competition reduced chickpea yield irrespective of genotype by reducing the related components. Results revealed that weed competition even for 20 DAS was detrimental to chickpea crop. The CPWC based on 10% yield loss range from 6 to 119 and 10–118 DAS for Desi Chickpea, and 5-115 and 8-108 DAS for Kabuli chickpea during 2017-18 and 2018-19, respectively. Information on CPWC can be used as a tool for judicious weed control in irrigated chickpea.
Similar content being viewed by others
Introduction
In Pakistan, chickpea (Cicer arietinumL.) is mainly grown in Thal tract by resource poor farmers on marginal lands with minimal inputs under drought prone environments. It is the main winter pulse crop grown on 76% of the total pulse area (1.5 million ha) of the country with 74% contribution to total pulse production1. Pakistan with 10% share in global chickpea production ranks second after India2. During 2023-24, chickpea was cultivated,on an area, of 0.79 million hectare in Pakistan with total production of 0.23 million tons3. Despite having heads among the world’s top chickpea producer, productivity of chickpea in Pakistan is quite lower than the rest of the chickpea growing countries2. However, over years, area and production of chickpea in Pakistan are fluctuating4. The gap between demand and supply of chickpea (particularly Kabuli type) has increased tremendously over years making Pakistan 4th largest importer of pulses in the world5,6. Pakistan imported 0.4 million tons of chickpea from Australia that corresponded to monetary value of 465 million AU$7. The Government of Pakistan has recommended replacement of approximately one million acres under wheat crop with chickpea. This offers potential of chickpea reintroduction in irrigated cropping systems as well besides its cultivation in rainfed and marginal lands. Introduction of legumes like chickpea into the irrigated cropping system will help break disease and weed cycle, will reduce insect pest pressure, promote crop diversification and nutritional security.
The above scenario warrants the need to extend geographical range of chickpea cultivation beyond its traditional belt. However, chickpea cultivation is challenged by numerous agronomic factors8. Weed infestation comprising of recalcitrant and diverse weed flora especially under irrigated condition is a challenging task for its large-scale cultivation under irrigated environments9,10,11. Due to its herbaceous nature, slow initial growth and canopy closure, chickpea is susceptible to weed competition12,13,14, which usually results in serious yield loss15. Yield reduction varies from 24 to 80% based on weed species present and their relative proportions16,17,18. Weeds generally deprive crop plants of nutrients, solar radiation and soil moisture. Extent of yield reduction depends on time of weed emergence, level and duration of weeds infestation, and also on climatic conditions and management practices which affects weeds and crop growth11,19.
Chickpea is the least competitive crop in a winter wheat, spring wheat, and legume crop rotation20. Several characteristics of chickpea, such as slow plant emergence, short plant height, and chickpea morphology allow weeds to compete effectively. In Canada, spring wheat canopy closure was observed 16 days before chickpea canopy closure21. Weeds establishing early in the season have a competitive edge over chickpea, and can reduce chickpea yields to a significant extent if these are not controlled. Initial slow growth and late canopy closure by chickpea had little suppressive effect on weeds22,23,24.
Critical period of weed-crop competition (CPWC) is the period when weed control is necessary to avoid substantial yield loss during crop life span25or when weeding results in highest economic returns. Variability in environment, crop characteristics, and other management factors can modify the estimation of CPWC in a particular region. The CPWC is not static and can vary widely across different agro-ecological zones. Environmental factors such as soil fertility, climate, water availability, temperature, and landscape all play a key role in influencing the timing, intensity, and duration of this CPWC, as well as the feasibility of weed management strategies across different zones26,27,28. The studies carried out by Mohammadi et al.29in Iran revealed that CPWC in chickpea ranged from 4 to 5 leaf stage and lasted till the beginning of flowering corresponding to 17–49 days after emergence. In another study, the onset of CPWC was quite earlier in chickpea (261 growing degree days) than faba bean (428 growing degree days) grown under Mediterranean climate. Contrarily, the end of CPWC was same in both the crops and coincided with the period of maximum flowering30. On the whole, the CPWC at a 5% yield reduction ranged from 50 to 69 days in chickpea.
The CPWC studies are an integral component of integrated weed management as they unravel optimal time and duration for maintaining and implementing weed management31. Crops and their genotypes depict variable levels of competitiveness against weeds32. Due to poor weed competitive ability; productivity of chickpea mostly depends on the efficient and timely weed control especially under irrigated conditions. Thus, knowledge about CPWC seems indispensable in this regard. It might lead to judicious herbicide use and help improve application timing of post-emergence herbicide/s. A single efficient and timely herbicide application at critical time may avoid the need for repeated applications; reduce risk of potential environmental contamination and the evolution of herbicide resistant weed biotypes. Moreover, to give more precise recommendation to growers, such a critical period must be worked out32for specific genotypes of a particular crop grown in a particular region keeping in view the floristic composition of weeds33. Information regarding weed dynamics and CPWC in Desi and Kabuli genotypes of chickpea grown under irrigated conditions of Pakistan is not available in literature. The present study, therefore, was undertaken to unravel the best time for weed control, and to find out the influence of different weed crop competition/weed-free periods on chickpea growth and yield under0the agro-ecological conditions of Multan.
Materials and methods
Site description
Field study was undertaken to explore weed dynamics and critical period of weed-crop competition in chickpea. The research trial was carried out during Winter 2017-18 and 2018-19 at the Research Farm of Muhammad Nawaz Shareef University of Agriculture, Multan, Pakistan (Latitude 30.16º N, Longitude 71.45º E, Altitude 122 m asl). Soil samples were taken before sowing and after harvest of chickpea crop from 0 to 15 and 15–30 cm depths. A composite sample was obtained from these samples prior to the crop sowing. This sample was analyzed for its various physicochemical properties (Table 1). The agro-meteorological data during the course of present study are mentioned as Fig. 1.
Experimentation
After pre-soaking irrigation, the seedbed was prepared by tractor-drawn cultivator 2–3 times followed by planking when soil reached at field capacity (−0.03 MPa). Seeds of two chickpea genotypes, i.e. Punjab-2008 (Desi) and Noor-2009 (Kabuli) chickpea genotypes (obtained from Arid Zone Research Institute, Bhakkar, Punjab-Pakistan) were surface sterilized with thiophenate methyl at 2 g kg−1 of seed. These two genotypes correspond to recommended varieties for irrigated areas in Punjab-Pakistan. Their maturity period is 150–155 days and canopy closure occurs at 85–95 days. Both genotypes of chickpea were sown in the first fortnight of November, 2017 and 2018 in 45 cm spaced crop rows using a seed rate of 75 kg ha−1. Crop was sown using a single row hand drill. Peat based rhizobial inoculum [N2-biofertilizer (Soil Biochemistry Section, Ayub Agricultural Research Institute, Faisalabad)] was sticked to the seed using 10% sugar solution following two-step method). Except rhizobial inoculation and 58 kg ha−1 P2O5 in the form of DAP (46% P2O5 and 18% N), no other fertilizer was used. A light irrigation (6 cm depth) was given to the crop at flowering during first year of study. No irrigation was applied during the entire growing season during the second year as there was sufficient rainfall (Fig. 1). No appreciable difference in time to start emergence and emergence count between two chickpea genotypes were noticed. Chickpea crop was subjected to different durations of weed competition [competition for 20 days after sowing (DAS), 40, 60 and 80 DAS] as well as weed free periods [weed-free till 20, 40, 60 and 80 DAS]. Season-long weed check and weed-free plots were also maintained for both chickpea genotypes during both the growing seasons. At the end of respective weed competition period, weeds were manually removed by pulling and these plots were kept weed free afterwards. These plots along with those that were to be kept weed free for a finite period, manual pulling of weeds was done at an interval of 21 days to maintain weed free conditions. To safeguard crop against Helicoverpa armigera damage, Trichogramma chilonis egg bearing cards (15 cards ha−1) were stapled to the lower leaf surface opposite to the sun direction. Crop was harvested on 23rd April, 2018 during first growing season, and 25th April during the second growing season (2019). The experiment was replicated thrice in RCBD under factorial arrangements. The net plot size was 1.8 × 8.0 m.
Observations
Weed growth
Two random quadrates (0.25 m−2) were taken from each experimental plot at the end of respective weed competition period. Weeds within the quadrate were clipped just above the soil surface, identified and separated into respective categories. Total weed counts were made and reported in this paper. Afterwards, the data were converted into m−2. Weed samples were dried under sun for a week. Later on, these were dried in an oven at 70 ºC till dry weight became constant. Weed dry biomass were recorded using a digital electric balance.
Chickpea growth and yield
Periodic sampling was undertaken at 20 days interval, and 0.5 m long crop row was harvested with the help of a sickle leaving appropriate borders. Harvested crop was separated in to respective plant fractions and then weighed using a digital balance. To record, dry matter, each plant fraction was oven dried, and biomass was recorded afterwards and converted in to g m−2. Crop growth rate (CGR) was calculated as per Hunt34.
Where W2 and W1 are respective dry weights at sampling times t2 and t1.
For agronomic and yield parameter, ten plants were randomly selected at physiological maturity from each plot. For each experimental unit, relative yield (RY) was worked out as percentage of the yield in the complete absence of weeds35. Two crop rows (2.0 m long) were harvested from each experimental unit. The harvested crop was tied in bundles and left in the field for sun drying for a week. After recording, biological yield was converted in to kg ha−1 and is expressed as t ha−1. After recording biological yield, produce of each plot was threshed manually. Harvested seeds were separated from chaff/straw by winnowing. The seed yield was recorded using a digital balance and is expressed as t ha−1. From the produce of each experimental unit, two random samples each of 100-seeds were drawn. The 100-seeds weight was recorded using a digital balance. Harvest index (HI) as ratio of the economic yield to biological yield (total above ground biomass at maturity) was calculated as per Beadle36.
Growing degree days (GDDs) were calculated as these provide a meaningful measure of thermal time required for crop growth and development. In the backdrop of curve fitting (fitting regression models), the GDDs estimation is preferred since it provides a continuous and precise scale for x-axis compared to categorical variable (crop growth stage or DAS). For both chickpea genotypes, GDDs were accumulated from date of crop sowing using a base temperature of 5 °C37. The GDDs (to be used as explanatory variable) were computed as under;
where Tmax and Tmin are daily maximum and minimum air temperature (ºC), and Tb is the base or threshold temperature below which physiological activities are inhibited.
Statistical analyses
To ascertain CPWC, the RY data for the weedy and weed free treatments were regressed against the increasing duration of weed competition or weed free periods38. The onset and end of CPWC based on 5% and 10% yield loss (chosen arbitrarily) was determined by fitting logistic and Gompertz equation to the RY data38,39. The effects of increasing duration of weed competition on seed yield of chickpea was described by using a three-parameter logistic equation
where ʽY’ is the yield (%) of weed-free control, ʽA’ here is the lower asymptote, ʽB’ refers to the rate of reduction in yield, ʽG’ is the GDD and ʽG0’ is the GDD corresponding to the situation when half of the reduction in maximum yield above A would occur.
The form of Gompertz equation used to model the effect of increasing duration of weed free period on chickpea yield is as under;
where ʽY” is the yield (%) of weed-free control, ʽA’ is the asymptote, ʽ ’ is the exponential rate, ʽG’ is the GDD, and ʽG0’ is the inflexion point.
Weed growth and crop yield data were subjected to Fisher’s ANOVA procedure and Tukey’s Honest Significant Difference (HSD) test (5% probability) was used to unravel treatment differences. Due to a significant year effect, the results are separately discussed for each growing season. However, data were pooled for combined analysis in case of a non-significant year effect. To determine association between various variables, regression and correlation analyses were also done40.
Results
Weed density and dry biomass
Weed flora of the experimental site comprised of broad-leaved weeds like field bindweed (Convolvulus arvensis L.), common lambsquarter (Chenopodium album L.), fathen (C. murale L.), broadleaf dock (Rumex dentatus L.), annual yellow sweet clover (Melilotus indica L.), blue pimpernel (Anagallis arvensis L.), and narrow-leaved weeds like canary grass (Phalaris minor Retz.), and wild oat (Avena fatua L.). Total weed density (Fig. 2) under different durations of weed competition revealed a significant (p ≤ 0.05) interaction of chickpea genotypes with various weed competition periods during 2017-18 as well 2018-19. For weed competition period from 20 to 40 DAS, weed density did not vary significantly between two chickpea genotypes. In plots of Kabuli chickpea genotype (Noor-2009), weed density in plots kept weedy till 60 DAS was different (43% higher) for plots of the same genotype where weeds competed with chickpea for 20 DAS. For weed competition from 60 to 80 DAS; differences were more pronounced in case of Desi chickpea genotype (Punjab-2008), and weed density was significantly different at these two periods. Contrarily, weed density for these aforementioned periods was statistically alike in plots sown with chickpea genotype Noor-2009. Nevertheless, similar (p ≤ 0.05) level of weed infestation was observed in season long weedy plots of these two chickpea genotypes.
During 2018-19, the weed density did not vary significantly between plots of two chickpea genotypes when subjected to weed completion till 40 DAS. Nevertheless, at 60 DAS, weed density was significantly higher in plots sown with Punjab-2008 as compared to Noor-2009. However, opposite was true for weed competition till 80 DAS. Under season long weed competition, both genotypes recorded similar weed density.
For total weed dry biomass (Fig. 3), only main effects of weed competition periods were significant during both the growing seasons. Increasing period of weed competition had a significant effect on weed dry biomass and highest dry biomass (174.38 g m−2 and 171.70 g m−2 during 2017-18 and 2018-19, respectively) was observed in plots maintained weedy for the whole growing season as against lowest (3.87 g m−2 and 4.49 g m−2) observed in plots kept weedy only for 20 DAS during both years of study. Weed dry biomass recorded under weed competition till 80 DAS was similar to weed biomass recorded under season long weedy conditions during 2017-18 but was significantly different in 2018-19. Extending weed competition beyond 20 DAS increased weed biomass to the tune of 467, 1572, 3686 and 4405% at 40, 60, 80 DAS and under season-long weed competition, respectively as compared to the weed dry biomass recorded for weed competition till 20 DAS.
Onset and duration of CPWC
Based on 5% yield loss, the commencement of CPWC occurred by 30 and 23 GDDs corresponding to 3 and 2.5 DAS for Punjab-2008 (Desi) and Noor-2009 (Kabuli) chickpea genotypes, respectively during 2017-18 (Fig. 4; Table 2). The end of CPWC for this yield loss level occurred by 1718 and 1703 GDDs equivalent to 140 and 139 DAS. In contrast, for 10% yield loss, the onset of CPWC occurred by 60 and 53 GDDs requiring weed removal by 6 and 5 DAS in plots of Desi and Kabuli chickpea, respectively. Chickpea crop of Punjab-2008 was to be kept weed free till 1268 GDDs relating to 119 DAS. The CPWC for Noor-2009 ended at 1191 GDDs equivalent to 115 DAS during 2017-18 (Table 2).
In 2018-19, based on 5% yield loss, the commencement of CPWC for chickpea crops of Punjab-2008 and Noor-2009 occurred by 66 and 44 GDDs corresponding to 6 and 4 calendar days, respectively. The respective values for the end of CPWC at this yield loss level were 1404 and 1641 GDDs equivalent to 133 and 142 DAS (Fig. 4; Table 2). For a 10% yield loss, the onset of CPWC occurred at 103 and 89 GDDs for Desi and Kabuli chickpea equating 10 and 8 calendar days during 2018-19 (Table 2). Chickpea crop of Punjab-2008 required weed free conditions till 1116 GDDs relating to 118 DAS. The CPWC for Noor-2009 ended at 991 GDDs corresponding to 108 DAS during 2018-19 (Fig. 4; Table 2). Estimated parameters of Logistic and Gompertz equations fitted to seed yield of chickpea (% of weed free) during 2017-18 and 2018-19 are shown in Table 3.
Chickpea growth and yield
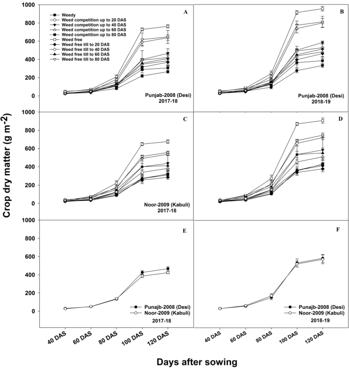
Averaged across seasons, maximum dry matter (719.24 g m−2) was observed for weed free plots (Table 3). This was statistically similar to dry matter recorded for plots (601.84 g m−2) which were kept weed free till 80 DAS, or plots subjected to weed competition for just 20 DAS. However, minimum total dry matter of chickpea (286.36 g m−2) was observed in season long weedy plots. Statistically similar total dry matter was noticed for plots in which weeds competed with chickpea for 60 and 80 DAS. Likewise, keeping chickpea crop free of weeds from 20 to 80 DAS and allowing unchecked weed growth afterwards also resulted in statistically (p ≤ 0.05) similar dry matter. Patterns of dry matter accumulation by chickpea genotypes revealed temporal increase with ceiling achieved at 120 DAS during both years. Nevertheless, for any sampling time and weed competition/weed free period, dry matter accumulation by chickpea crop sown during 2017-18 was greater compared to 2018-19 (Fig. 5a, b,c, d). Averaged across weed competition/weed free periods, dry matter accumulation by chickpea genotypes during 2017-18 and 2018-19 was alike till 80 DAS (Fig. 5e, f); although at 100 and 120 DAS, chickpea crop of Punjab-2008 sown in 2017-18 accumulated more dry matter (Fig. 5e).
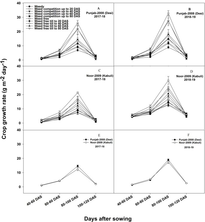
Main effect of weed competition was significant for seasonal CGR (Table 3). Upper limit of seasonal CGR (8.51 g m−2 d−1) was realized for plots kept weeds free for the whole season. Plots kept weed free till 80 DAS, and those plots where weeds competed with chickpea for 20 DAS recorded next higher CGR of 7.18 g m−2 d−1 and 6.79 g m−2 d−1, respectively. However, least value (3.25 g m−2 d−1) of seasonal CGR was observed for plots kept weedy throughout the growing season and kept weed free only for 20 DAS, and weedy later on. Allowing weeds to compete with the chickpea crop from 40 to 80 DAS resulted in similar seasonal CGR. Likewise, chickpea crop plots kept free of weeds from 20 to 60 DAS also recorded similar seasonal CGR. Patterns of periodic CGR manifested a temporal increase and decline after attaining a peak between 80 and 100 DAS. For any sampling interval and weed competition/weed free period, CGR of chickpea sown in 2018-19 was higher compared to 2017-18 (Fig. 6a, b,c, d). The growth rate of Desi and Kabuli chickpea during both the seasons was alike between 40 and 60 and 60–80 DAS (Fig. 6e, f). However, the highest CGR was recorded for Desi chickpea (Punjab-2008) compared to the Kabuli type (Noor-2009) between 80 and 100 DAS during 2017-18 (Fig. 6e). For rest of the time, CGR did not vary between the seasons. However, initial vegetative growth (40–60 DAS) of both chickpea genotypes was accompanied with minimum CGR than rest of the sampling intervals (Fig. 6).
Maximum plant count (20.33 plants m−2) was recorded in season-long weed free plots. This was followed by plots (18.33 m−2) in which kept weed free till 80 DAS (Table 4). Minimum plants (11.33 m−2) of chickpea were observed in plots kept weed free till 40 DAS. Plants growing in season-long weed-free plots recorded highest plant height (57.63 cm). This was followed by plants (50.53 cm) of plots where weed competition lasted for 20 DAS. However, minimum plant height (41.30 cm) was observed in plots kept weedy for the whole season. Plots kept weedy for 40, 60 and 80 DAS, recorded statistically similar (p ≤ 0.05) plant height. Number of branches was numerous (12.07 per plant) in chickpea plants growing in weed-free plots (Table 4). This was followed by plots (8.02) in which weeds competed with chickpea crop for 20 DAS, and kept weed free afterwards. However, the least number (6.20 per plant) of branches was observed for plots kept weedy season-long, plots kept weed free only for 20 DAS, and weedy later on. Allowing the weeds to compete with the chickpea crop for 40–80 DAS resulted in similar number of branches per plant. More pods (40.43) were recorded for plants growing in plots kept free of weed throughout the growing season (Table 4). This was followed (32.25 pods per plant) by plots in which weed competition continued for just 20 DAS. This corresponded to a reduction of 20%, when weed competition lasted only for 20 DAS. However, least numbers (14.98) of pods per plant were observed in plots kept weedy throughout the growing season. Nevertheless, this treatment was similar to plots subjected to weed competition till 80 DAS, and weed free for 40 DAS. Maximum numbers of seeds per plant (41.70) were recorded in season-long weed free plots (Table 4). Weed competition for 20 DAS resulted in next higher value of this attribute (33.58). Maximum 100-seed weight (32.99 g) was recorded for plots kept free of weeds throughout the growing season. This was followed by plants (29.10 g) growing in plots where weeds competed with chickpea crop for just 20 DAS. However, minimum 100-seed weight (22.36 g) was observed in plots kept weedy throughout the growing season. Nevertheless, this treatment stood at par (p ≤ 0.05) with plots subjected to weed competition up to 80 DAS, and weed free till 40 DAS. Maximum seed yield (1.23 t ha−1) was recorded for season-long weed free plots. This treatment was followed by plots (1.05 t ha−1) in which weeds competed with chickpea crop for just 20 DAS. Averaged across genotypes, plots kept weed free for just 20 DAS resulted in similar yield level as realized under season-long weedy plots (Table 4). Increasing periods of weed competition (40 and 60 DAS) also resulted in similar seed yield. Nevertheless, numerically minimum (0.48 t ha−1) seed yield was observed for season-long weedy plots (Table 4).
Any two means not sharing a letter in common differ significantly at 5% probability level by Tukey’s HSD test.
Regression and correlation analyses
Data regarding regression analyses (Table 5) revealed that regardless of chickpea genotype, weed dry biomass (g m−2) was negatively associated with crop dry matter (g m−2) (r2: −0.772) and seed yield depicting negative implications for these parameters. Co-efficient of determination described over 57% variation in crop dry matter owing to weed dry biomass in both years. Seed yield was negatively associated with weed dry biomass and co-efficient of determination described 40 and 60% reduction in yield during 2017-18 and 2018-19, respectively. Crop dry matter was positively associated with seed yield and such a relation was stronger during 2017-18 than 2018-19.
Discussion
Weed flora of the experimental site comprised of broad-leaved (field bindweed, common lambsquarter, fathen, broadleaf dock, annual yellow sweetclover and blue pimpernel) and narrow-leaved (canary grass and wild oat) weeds. Due to abundant seedbank and congenial agro-climatic conditions, these weeds are common in wheat growing areas of Southern Punjab41. These cool season weeds are reported in winter cereals and legumes due to similar ecology and biology20. Contrary to the typical weed flora [comprising of wild onion (Asphodelus tenuifolius Cav.), dragon spurge (Euphorbia dracunculoides Lam.), common lambsquarters, fumitory (Fumaria indica L.) and vetch weed (Vicia sativaL.)] of the traditional chickpea in Thal tract, weeds observed in present studies were quite different19,42. Variation in agro-ecological conditions can alter the dynamics of weed communities in chickpea across different locations26,43. It can be inferred that observed weed flora was associated with the wheat based crop rotation rather to chickpea crop alone20. Under irrigated conditions, floristic composition of weeds is same between winter wheat and chickpea fields42. However, parasitic weeds infesting rainfed chickpea in traditional belt can be exceptional to this notion; nonetheless, no parasitic weed was observed in the irrigated chickpea owing to soil health and weed seedbank differences.
Since chickpea crop was sown in field capacity after pre-soaking irrigation, many weeds started their emergence and seedling establishment with the main crop. Hence, plots subjected to weed competition even for 20 DAS had significant number (149.17 plants m−2) of weeds. Generally, weeds emerging either before or with crop have greater competitive advantage20. Weed density showed a temporal rise till 60 DAS of chickpea. However, weed density declined afterwards. This was presumably because of completion of life cycle of annual sweet clover and wild oat till 80 DAS. Interspecific competition among weeds and canopy closure by crop may also affect density of less competitive weeds resulting in decreased weed density at later stages in growing season. Extending weed competition resulted in increased biomass of weeds.
Chickpea is a poor weed competitor and uncontrolled weeds had a greater opportunity to avail growth resources especially in plots kept weedy for longer period or for the whole season26,29. Moreover, a 16 mm rain shower on December 11, 2017 favored weed emergence and subsequent growth in plots where weeds competed with chickpea crop till 40 DAS and even beyond. However, this rainfall had little effect on weed growth in plots kept weedy for 20 DAS as these plots were kept free of weed afterwards for whole the growing season. Weed density was always higher regardless of chickpea genotype and both genotypes were overwhelmed by weed infestation. Although, the weed flora comprised of two grassy and six broad-leaved weeds, and floristic diversity was less; yet weed density and biomass were quite higher. As the duration of weed presence was increased, weed biomass also increased. Profuse growth of weeds in season-long weedy plots could be attributed to congenial conditions for vigorous growth of weeds and poor competition offered by both chickpea genotypes. The weed density (179 plants m−2) recorded in this study under season-long weed competition is far higher than that 136 plants m−2 reported by Abbas et al.44who conducted their study at Adaptive Research Farm Karor Lal Eason, and farmers’ fields at Mouza Nawan Kot, Tehsil Choubara, District Layyah, Punjab-Pakistan. The results correspond to the notion of Rana and Rana45who postulated that weed competition is severe in irrigated chickpea than rainfed crop. The CPWC in our study occurred early and ended late as compared to previous studies29,30. The fact that CPWC commenced earlier and lasted longer was presumably because of variations in floristic competition of weeds, their relative densities, timing of emergence and subsequent flushes, and prevailing agro-climatic conditions between the experimental sites.
Growth analysis reflects the contribution of various eco-physiological processes in the overall plant development and denotes success in resource capture46,47. The dry matter accumulation by chickpea crop increased with the advancement of crop growth stage. Pattern of dry matter accumulation under various weed competition durations indicated a typical sigmoidal curve with an initial slow vegetative phase, a log phase after flowering, and either leveling off/declining trend towards seed filling/pod development. Significantly better dry matter accumulation by chickpea in weed free plots compared to plots subjected to weed competition was because of the absence of weed interference. Overall results revealed a negative implication of weed competition on dry matter accumulation by chickpea. Both genotypes depicted a substantial decrease in dry matter accumulation owing to less crop growth rate. Difference for dry matter accumulation and crop growth rate were evident among weedy and weed free plots at each sampling interval. However, differences in amount of dry matter accumulation at any sampling time were not due to differences in maturity duration between genotypes, but merely due to the presence or absence of weeds. Hence, diminished growth and minimal dry matter accumulated by crop in season-long weedy plots was due to the lack of adequate supply of growth resources under prolonged weed competition. The CGR manifested temporal and spatial increments in dry matter; however, the rate of such increase was decreased following flowering and initiation of podding. This can be explained due to the senescence of leaves towards maturity especially when emergence of new leaves is ceased, and partitioning of dry matter occurs from source towards sinks. Starting from lower value, CGR reached a certain peak before declining at the later growth stages48. Nevertheless, both genotypes exhibited variable dry matter accumulation following flowering. Genetic differences for dry matter accumulation have been suggested as more important source of yield variation in chickpea than maturity duration49.
Agronomic and yield components for both chickpea genotypes were negatively influenced by increasing weed density and dry biomass. Reduction in chickpea growth and yield attributes in plots subjected to weed competition was presumably because of weed interference (competition for growth resources and allelopathy). This notion is supported by the negative correlation of chickpea dry matter and seed yield with weed density and dry biomass. Chickpea yields were reduced as the duration of weed competition was increased. This can be attributed to competition offered by major weeds present at that time and greater biomass accumulation26. Variable reductions in seed yield and contributing attributes noticed among experimental treatments was due to variable levels of weed infestation comprising different densities of weed species. Higher seed yield in plots kept free of weeds for the whole season, or those kept weedy for just 20 DAS and weed free afterwards, was due to maintenance of weed free environment in these treatments especially during initial stages of growth which are often susceptible to weed competition. A non-significant response of tested chickpea genotypes towards weed competition suggested that the both genotypes were equally susceptible to weed competition. Higher values of HI recorded in plots subjected to weed competition were due to lower biological yield. The chickpea plants that survived weed competition in these plants were able to set few seeds. This might be also due to increased availability and better translocation of photo-assimilates to the limited number of sinks once weed competition was over and plots were kept weed free later on. These results also indicate that higher yield losses are likely to occur in irrigated chickpea especially when weed control is not practiced.
Conclusion
The best yield performance of both chickpea genotypes was observed in plots kept weed free throughout the season, and weed free until 80 DAS. Least yield was produced in weedy plots and plots kept weed free only for 20 DAS. The season-long weed competition resulted in 60% reduction in crop dry matter. Weed competition reduced chickpea yield and yield attributes regardless of the genotype. Weed competition even for 20 DAS was detrimental to chickpea crop, and weed competition up to 80 DAS caused 56 and 60% reduction in chickpea dry biomass and seed yield regardless of genotype. Our data showed that if weeds are not controlled during first 20 DAS, yield loss to the tune of 15–20% is inflicted irrespective of chickpea genotype. The CPWC estimates for 5 and 10% yield loss levels warrant the need of pre-emergence herbicide application to avoid weed related yield losses early in the season especially under irrigated conditions followed by one hoeing/manual weeding later in the season subject to presence of weeds. Moreover, commencement and end of CPWC did not differ much between two chickpea genotypes belonging to distinct groups. Timing of weed emergence relative to chickpea seems crucial and delaying weed establishment should be incorporated as an integral component of integrated weed management program in irrigated chickpea. Chickpea cultivation also improves soil health. Future studies should consider the integrated weed management approaches to combat weed menace in irrigated chickpea. Moreover, variations in CPWC in response to agro-climatic conditions also need attention.
Declarations and statements
Data availability
The data shall be made available on reasonable request with the corresponding author.
References
Rani, S., Shah, H., Farooq, U. & Rehman, B. Supply, demand, and policy environment for pulses in Pakistan. Pakistan J. Agric. Res. 27, 149–159 (2014).
Muehlbauer, F. J. & Sarker, A. Economic importance of Chickpea: production, value, and world trade. In: The Chickpea Genome. Compendium of Plant Genomes (eds Varshney, R. K., Thudi, M. & Muehlbauer, F. J.) Springer, Cham, Switzerland, 5–12 (2017).
Anonymous. Pakistan Economic Survey 2023–24. Economic Adviser’s Wingp25 (Finance Division, 2024).
Anonymous. Province wise production and area of gram from 1947-48 to 2022-23 (2023). http://amis.pk/Agristatistics/Data/HTML%20Final/Gram/Area.html & http://amis.pk/Agristatistics/Data/HTML%20Final/Gram/Production.html
FAO (Food and Agriculture Organization). International year of pulses 2016: Nutritious seeds for a sustainable future. (2016). http://www.fao.org/pulses-2016/faq/en/).
Pulses Outlook. United States Department of Agriculture, Foreign Agricultural Service, Global Agriculture Information Network. Islamabad-Pakistan. Report Number: PK2023–0015. (2023).
Anonymous. Pulses import set to increase on bad crop. The News. February 16. (2018). https://www.thenews.com.pk/print/281517-pulses-import-set-to-increase-on-bad-crop (2018).
Yadav, S. S., Redden, R., Chen, W. & Sharma, B. (eds). Chickpea Breeding and Management. CAB Intl. Wallingford, CT, USA. 638p (2007).
Lyon, D. J. & Wilson, R. G. Chemical weed control in dryland and irrigated Chickpea. Weed Technol. 19, 959–965 (2005).
Gaur, P. M. et al. Large genetic variability in Chickpea for tolerance to herbicides Imazethapyr and Metribuzin. Agron. J. 3, 524–536 (2013).
Khan, I. et al. Managing Weed–Crop Interactions Enhances Chickpea (Cicer arietinum L.) Chemical Components. Plants 12, 3073 (2023).
Datta, A., Sindel, B. M., Kristiansen, P., Jessop, R. S. & Felton, W. L. Effect of isoxaflutole on the growth, nodulation, and nitrogen fixation of Chickpea (Cicer arietinum L). Crop Prot. 28, 923–927 (2009).
Radicetti, E., Mancinelli, R. & Campiglia, E. Combined effect of genotype and inter-row tillage on yield and weed control of Chickpea (Cicer arietinum L.) in a rainfed mediterranean environment. Field Crops Res. 127, 161–169 (2012).
Radicetti, E., Mancinelli, R. & Campiglia, E. The competitive ability of different Chickpea (Cicer arietinum) genotypes against Polygonum aviculare under field conditions. Crop Prot. 42, 312–319 (2012).
Whish, J. P. M., Sindel, B. M., Jessop, R. S. & Felton, W. L. The effect of row spacing and density on yield loss of Chickpea. Aust J. Agric. Res. 53, 1335–1340 (2002).
Tanveer, A., Malik, M. A., Cheema, Z. A., Ali, A. & Tahir, M. Effect of different levels of weed management on weed growth and grain yield of gram (Cicer arietinum L). Pak J. Sci. 50, 60–62 (1998).
Tewari, A. N., Tiwari, S. N., Rathi, J. P. S., Verma, R. N. & Tripathi, A. K. Crop weed competition studies having Asphodelus tenuifolius dominated weed community condition under rainfed condition. Ind. J. Weed Sci. 33, 198–199 (2001).
Mukherjee, D. Techniques of weed management in Chickpea. Agric. Rev. 28, 34–41 (2007).
Sibtain, M., Tanveer, A., Javaid, M. M. & Ali, H. H. Wild onion (Asphodelus tenuifolius) competition in rainfed chickpea-chickpea cropping system. Planta Daninha. 33, 67–75 (2015).
Yenish, J. P. Weed management in chickpea. In: Chickpea Breeding and Management. (eds. Yadav, S.S., Redden, R., Chen, W. & Sharma, B.). CAB Int’l. Wallingford, CT, USA. 233–245 (2007).
Moes, J. & Domitruk, D. Relative competitiveness of no-till sown crops. In: Bringing conservation technology to the farm. Prairie Agricultural Research Initiative – Agriculture and Agri-Food Canada. (eds. Lafond, G.P., Plas, H.M. & Smith, E.G.). (1995). Available at: http://paridss.usask.ca/factbook/cfarms/moes.html
Kropff, M. J., Weaver, S. E. & Smits, M. A. Use of eco-physiological models for crop weed interference: relations amongst weed density, relative time of weed emergence, relative leaf area, and yield loss. Weed Sci. 40, 296–301 (1992).
Hock, S. M., Knezevic, S. Z., Martin, A. R. & Lindquist, J. L. Soybean row spacing and weed emergence time influence weed competitiveness and competitive indices. Weed Sci. 54, 38–46 (2006).
Jeschke, M. R., Stoltenberg, D. E., Kegode, G. O., Dille, J. A. & Johnson, G. A. Weed community emergence time affects accuracy of predicted corn yields by weed SOFT. Weed Technol. 23, 477–485 (2009).
Knezevic, S. Z., Evans, S. P., Blankenship, E. E., Van Acker, R. C. & Lindquist, J. L. Critical period for weed control: the concept and data analysis. Weed Sci. 50, 773–786 (2002).
Tepe, I., Erman, M., Yergin, R. & Bukun, B. Critical period of weed control in Chickpea under non-irrigated conditions. Turk. J. Agric. For. 35, 525–534 (2010).
Amaral, C. L., Pavan, G. B. & Pereira, F. C. M. P.L.C.A. Alves. Periods of weed interference in Chickpea grown under different doses of nitrogen fertilizer topdressing. Acta Scient Agron. V. 40, e35666 (2018).
Hirani, A. K., Korav, S., Rajanna, G. A., Elansary, H. O. & Mahmoud, E. A. Determination of critical crop-weed competition period: impact on growth, nutrient dynamics and productivity of green gram (Vigna radiata). Heliyon 10, e36855 (2024).
Mohammadi, G., Javanshir, A., Khooie, F. R., Mohammadi, S. A. & Salmasi, S. Z. Critical period of weed interference in Chickpea. Weed Res. 45, 57–63 (2005).
Frenda, A. S. et al. The critical period of weed control in Faba bean and Chickpea in mediterranean areas. Weed Sci. 61, 452–459 (2013).
Van Acker, R. C., Swanton, C. J. & Weise, S. F. The critical period of weed control in soybean [Glycine max (L.) Merr]. Weed Sci. 41, 194–200 (1993).
Khaliq, A. & Matloob, A. Weed crop competition period in three fine rice cultivars under direct seeded rice culture. Pak J. Weed Sci. Res. 17, 229–243 (2011).
Matloob, A., Khaliq, A. & Chauhan, B. S. Weeds of rice in Asia: problems and opportunities. Advan Agron. 130, 291–336 (2015).
Hunt, R. Plant Growth Analysis. Edward Arnold, U.K. 26–38 (1978).
Tursun, T. et al. The critical period for weed control in three corn (Zea Mays L.) types. Crop Prot. 90, 59–65 (2016).
Beadle, C. L. Plant growth analysis. In: Techniques in Bioproductivity and Photosynthesis. 2nd ed. (eds Coombs, J., Hall, D. O., Long, S. P. & Scurlock, J. M. O.) Pergamon, Oxford, New York. 21–23 (1987).
Tripathi, P., Singh, A. K. & Shabd, A. Growth and thermal unit of Chickpea (Cicer arietinum L.) genotypes under variable weather conditions of Eastern Uttar Pradesh. Asian J. Environ. Sci. 2, 164–168 (2009).
Knezevic, S. Z. & Datta, A. The critical period for weed control: revisiting data analysis. Weed Sci. Special Issue, 188–202 (2015).
Anwar, M. P., Juraimi, A. S., Samedani, B., Puteh, A. & Man, A. Critical period of weed control in aerobic rice. Scient World J. Article ID 603043 (2012).
Steel, R. G. D., Torrie, J. H. & Dickey, D. A. Principles and Procedures of Statistics: A Biometrical Approach 3rd Edn (McGraw Hill Book Co., 1997).
Ashiq, M. & Aslam, Z. Chemical control of weeds. In: Weeds and Weedicides. Department of Agronomy, Ayub Agricultural Research Institute, Faisalabad and University of Agriculture, Faisalabad, Pakistan. 235–256 (2014).
Ashiq, M. Weed Problems in Crops and their Solutions. Directorate of Agronomy28 (Ayub Agriculture Research Institute, 2012). (In Urdu).
Paolini, R., Faustini, F., Saccardo, F. & Crino, P. Competitive interactions between chick-pea genotypes and weeds. Weed Res. 46, 335–344 (2006).
Abbas, G. et al. Impact of pre-emergence herbicides for the control of weeds in Chickpea (Cicer arietinum L.) under hot arid climate. J. Bioresource Manage. 3, 54–60 (2016).
Rana, S. S. & Rana, M. C. Principles and Practices of Weed Managementp.138 (Department of Agronomy, College of Agriculture, CSK Himachal Pradesh Krishi Vishvavidyalaya, 2016).
Alam, M. Z. & Haider, S. A. Growth attributes of barley (Hordeum vulgare L.) cultivars in relation to different doses of nitrogen fertilizer. J. Life Earth Sci. 1, 77–82 (2006).
Namvar, A., Sharif, R. S. & Khandan, T. Growth analysis and yield of Chickpea (Cicer arietinum L.) in relation to organic and inorganic nitrogen fertilization. Ekologija 57, 97–108 (2011).
Gupta, N. K. & Gupta, S. Plant Physiologypp. 580 (Oxford and IBH Publishing, 2005).
Williams, J. H. & Saxena, N. P. The use of non-destructive measurement and physiological models of yield determination to investigate factors determining differences in seed yield between genotypes of desi Chickpeas (Cicer arietum). Annals Appl. Biol. 119, 105–112 (1991).
Acknowledgements
The authors extend their appreciation to the Researchers Supporting Project Number (RSPD2024R954), King Saud University, Riyadh, Saudi Arabia.
Funding
The authors extend their appreciation to the Researchers Supporting Project Number (RSPD2025R954), King Saud University, Riyadh, Saudi Arabia.
Author information
Authors and Affiliations
Contributions
Syed Abdul Hakeem and Amar Matloob conceptualized the research. Syed Abdul Hakeem conducted research, Muqarrab Ali, Tanveer Ul Haq, Tahir Hussain Awan helped for data curation, formal analysis, data interpretation and results compilation. Niaz Hussain, Muhammad Zia Ul Haq helped for literature review, data analysis and drafting of the manuscript. Syed Abdul Hakeem, Amar Matloob, Muqarrab Ali, Tanveer Ul Haq and Tahir Hussain Awan helped for writing the original draft. Abdel‑Halim Ghazy, Sajid Fiaz, Abdullah A. Al-Doss and Kotb A. Attia provided technical expertise, funding acquisition, review, editing and proof-reading of the article. Amar Matloob supervised the research. All author agreed to maked the submission of the article.
Corresponding authors
Ethics declarations
Compliance with ethical standards
The authors declare no conflict of interest.
Competing interests
The authors declare no competing interests.
Ethical statement
Not applicable.
Consent to participate
Not applicable.
Additional information
Publisher’s note
Springer Nature remains neutral with regard to jurisdictional claims in published maps and institutional affiliations.
Rights and permissions
Open Access This article is licensed under a Creative Commons Attribution-NonCommercial-NoDerivatives 4.0 International License, which permits any non-commercial use, sharing, distribution and reproduction in any medium or format, as long as you give appropriate credit to the original author(s) and the source, provide a link to the Creative Commons licence, and indicate if you modified the licensed material. You do not have permission under this licence to share adapted material derived from this article or parts of it. The images or other third party material in this article are included in the article’s Creative Commons licence, unless indicated otherwise in a credit line to the material. If material is not included in the article’s Creative Commons licence and your intended use is not permitted by statutory regulation or exceeds the permitted use, you will need to obtain permission directly from the copyright holder. To view a copy of this licence, visit http://creativecommons.org/licenses/by-nc-nd/4.0/.
About this article
Cite this article
Hakeem, S.A., Matloob, A., Ghazy, AH. et al. Critical period of weed-crop competition in irrigated chickpea as a tool for judicious weed control. Sci Rep 15, 32116 (2025). https://doi.org/10.1038/s41598-025-95013-x
Received:
Accepted:
Published:
Version of record:
DOI: https://doi.org/10.1038/s41598-025-95013-x








