Fig. 3
From: Modeling the capacitance–voltage characteristics of AlGaN-based UV-C LEDs

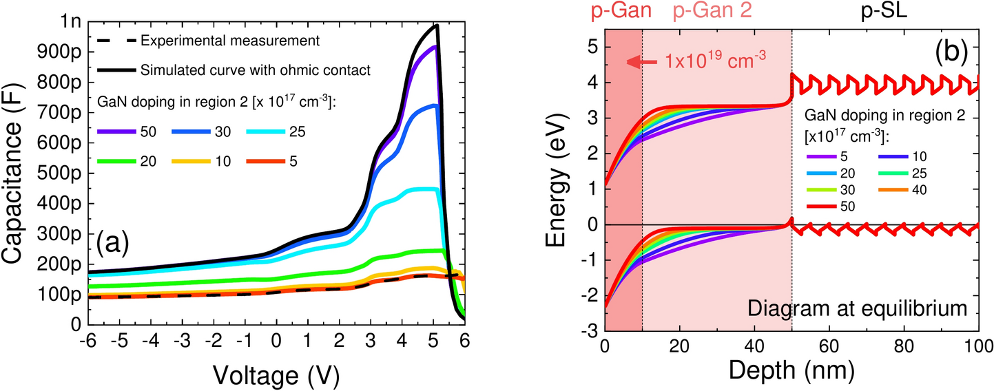
Parametric simulation varying the doping concentration of the GaN layer adjacent to the SLSP (a) and the relative band diagram variations (b).
From: Modeling the capacitance–voltage characteristics of AlGaN-based UV-C LEDs

Parametric simulation varying the doping concentration of the GaN layer adjacent to the SLSP (a) and the relative band diagram variations (b).