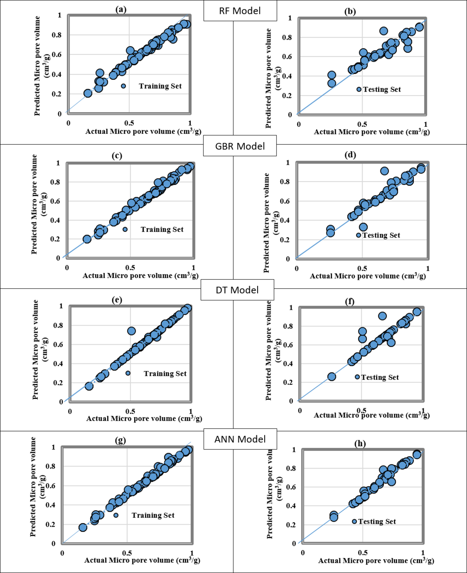
Fig. 10


Cross plots for the actual versus the predicted micropore volume values from the different ML models for training and testing datasets.


Cross plots for the actual versus the predicted micropore volume values from the different ML models for training and testing datasets.