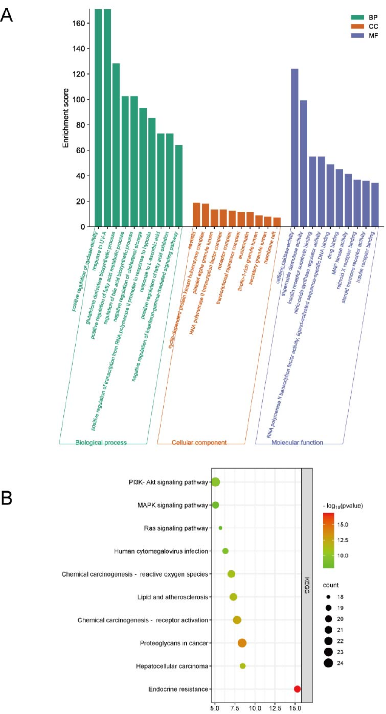
Fig. 5

GO and KEGG enrichment analyses of the overlapping targets of diosgenin in patients with NASH. (A) GO analysis revealed three aspects: biological process (BP), cellular component (CC), and molecular function (MF). The enriched targets were sorted in descending order according to Fold enrichment. (B) KEGG analysis was performed in descending order according to the number of potential targets enriched in the pathway.