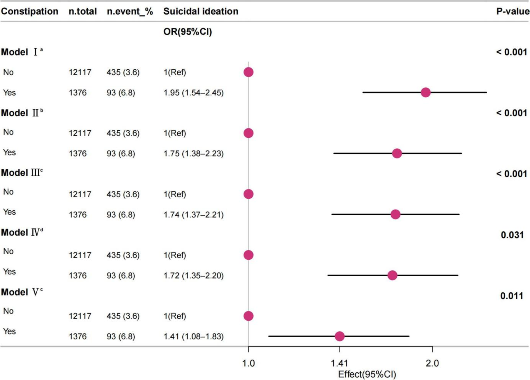
Fig. 3

Multivariate regression analysis of the association between constipation and suicidal ideation. Notes aModel I: no adjusted. bModel II: adjusted for age + sex + race/ethnicity + marital status + education level + BMI + physical activity + smoking status + alcohol consumption. cModel III: Model II+ dietary fiber + moisture + total fat + caffeine. dModel IV: Model III + diabetes + hypertension + arthritis + heart disease + pulmonary disease + liver disease + cancer + SSRI use. eModel V: Model IV + depression(assessed by PHQ-8 score).