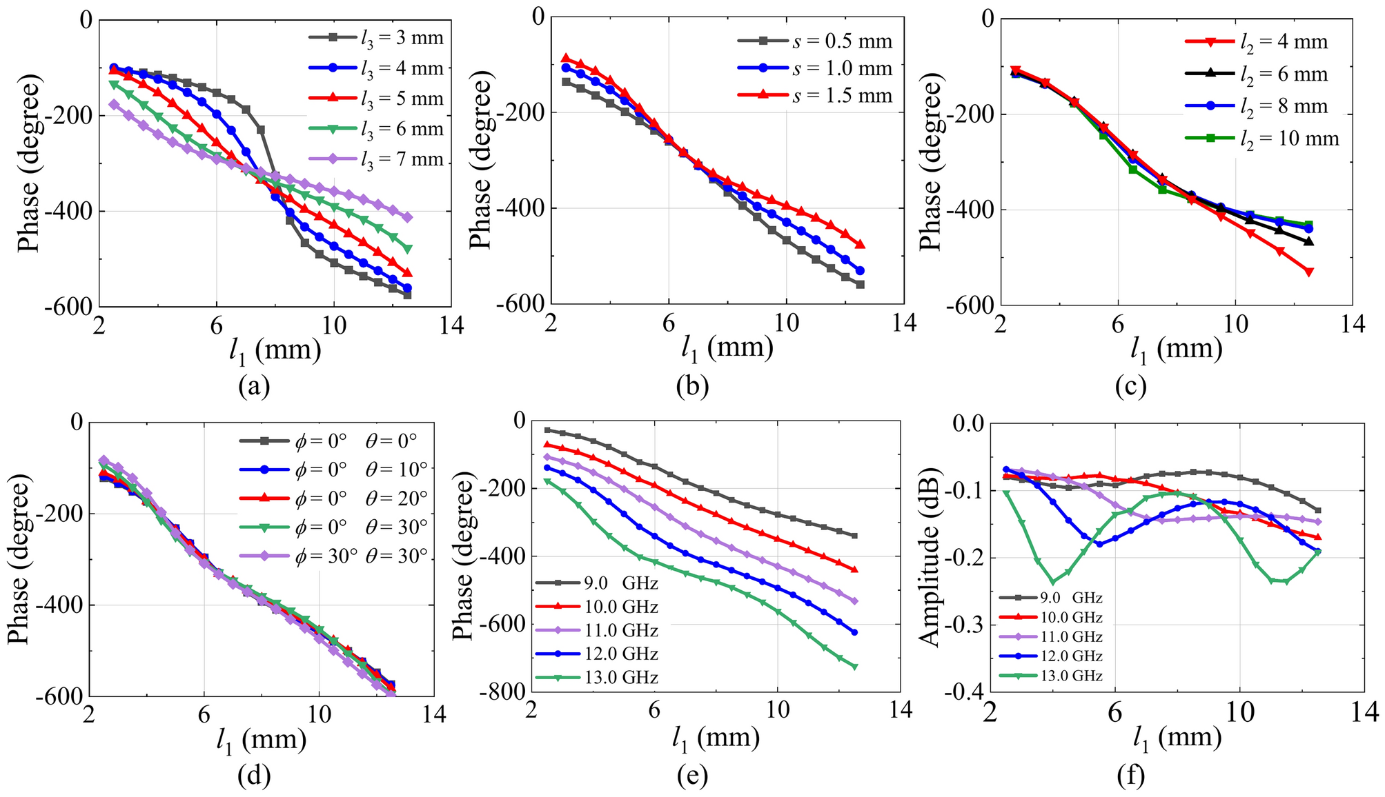
Fig. 4
From: A novel broadband reflectarray antenna employing equivalent magnetic dipole elements

Reflected phases for different (a) l3, (b) s, and (c) w3 and w4 at 11 GHz. (d) Reflected phases for different incident angles at 11 GHz. The reflection response of the element with different frequency. (e) Reflection phase. (f) Reflection amplitude.