Abstract
Expansive soil due to wet expansion and dry contraction of engineering properties, resulting in the stability of the riffle slope, has been one of the key issues in the expansion of soil area earthworks; this paper, through the three representative riffle slope site field visits and indoor tests, respectively, from the dry bulk weight, unconfined compressive strength, three-way expansion force and expansion with the change rule of the depth of the law to be explored. The three-way expansion force test shows that the extension and proximity direction of the horizontal expansion force are the same. The vertical direction is greater than the horizontal direction, and its ratio is about 0.5. Further analysis of the relationship between the characteristics of the parameters with the depth can be seen: the surface soil indicators are more varied, between 0.5 and 1.0 m, the soil layer dry density is small, the expansion of the soil wet expansion and drying shrinkage is significant, and the unconfined compressive strength is close to or has reached the lowest value; expansion force and expansion volume test indicators along the depth of the graben slope, the expansion force and expansion volume test indicators are more varied. Expansion force and expansion amount test indexes change along the depth of the riffle slope but remain unchanged after 2.0 m. Therefore, the damage of the expansion soil riffle slope mainly occurs in the soil layer near the depth of 1.0 m, which is manifested explicitly as a failure to adapt to the change of stress in the soil and the inability to adjust to the atmospheric natural camping force.
Similar content being viewed by others
Introduction
As China’s rail transportation sector continues to evolve, the incidence of projects within expansive soil regions rises annually. Given the subpar engineering characteristics of expansive soil, newly excavated riffle slopes may undergo rapid deformation if timely slope stabilization measures are not implemented. The instability of these riffle slopes poses significant risks to the safe operation of the infrastructure, potentially resulting in substantial economic repercussions1,2.
Due to its unique expansion, contraction, and fracture, expansive soil often causes slope instability and structural damage in engineering practice, which has become an important research topic in geotechnical engineering. In recent years, scholars at home and abroad have conducted extensive research on the stability, destabilization mechanism, and management technology of expansive soil slopes, and significant progress has been made. However, there are still some deficiencies that need to be further explored.
In studying the stability of expansive soil slopes, Ning et al.3 constructed a prediction model based on the statistical law of crack distribution, which provided theoretical support for slope stability analysis. On the other hand, Chen et al.4 analyzed the destructive modes of expansive soil slopes in detail from the destabilization mechanism and characteristics and proposed corresponding management measures, which achieved good engineering results. These studies provide essential references for the stability assessment and management of expansive soil slopes. Still, they mainly focus on the analysis at the macro level and lack a systematic study of the internal characteristic parameters of the soil body and its depth of influence.
In protecting and managing expansive soil slopes, Xu et al.5,6,7 used geo-bagging slope protection technology, which effectively prevented crack development and improved the mechanical properties of slopes by isolating the external environmental influencing factors and blocking the internal moisture variation of the soil body. Guo et al.8 explored the application effect of new geomaterials in expansive soil slopes through experimental research, providing new ideas for protecting expansive soil slopes. Zhang9 and others studied the construction technology and quality control points of the “quicklime + curing agent” combination of reinforced expansive soil slopes, which provides a reference for similar projects. In addition, Katti et al.10 and Clayton et al.11 proposed a new design method for expansive soil retaining walls, which further enriched the protection technology system of expansive soil slope. Ning et al.12 proposed a new flexible integrated protection technology based on “pressure fast drainage”, which can effectively control slope seepage and improve slope stability. Gong13 and Zhu et al.14 explored the performance of EPS drag-reducing expansive soil retaining walls through indoor modelling tests and theoretical analysis. They proposed a new form of double-layer protection structure. These studies demonstrated the diversity of expansion soil slope protection techniques. Still, they mainly focused on engineering applications and lacked an in-depth evaluation of the applicability and long-term effects of the methods.
Although the existing research in the stability analysis of expansive soil slopes, destabilization mechanism, and protection technology has achieved significant results, the lack of in-depth study of the soil body parameters’ internal characteristics mainly focused on the macro level of slope stability analysis. In contrast, the internal factors of the soil body parameters (such as dry weight, three-way expansion force, expansion, etc.) and their impact on the depth of the study are more scarce. Secondly, there is insufficient attention to the long-term stability of the riffle slope. Expanded soil riffle slopes will experience a long-term evolution process from the “unadaptive stage” to the “adaptive stage” after excavation. At the same time, the existing studies are primarily focused on the analysis of short-term stability, and there is a lack of analysis of the long-term slope that has been stabilized. Analysis. Based on the above shortcomings, this paper selects different working points of the expanded soil graben slope, systematic research on the internal characteristics of the soil body parameters of the law of change and the depth of influence, aimed at providing a more scientific theoretical basis for the design and management of the expanded soil graben slope.
Overview of the excavation slope work site
Because the Graben Valley slope is directly affected by the natural camping force and human factors, the indicators change with the depth. To study the depth of its influence, through the field investigation of Ankang Xiangyu line K312+650 section, Xixiang Yangan line K211+320 section, and Mianxi Yangan line K72+200 section of the railroad graben valley slopes, the field test map as shown in Figs. 1, 2 and 3. Soil samples were taken for an indoor characteristic parameter test to seek the change rule with depth; the specific workplace profile is shown in Table 1.
Soil Sample collection and testing program
Soil sample collection
The sampling is done by a thin-walled in-situ soil sampler, which takes in-situ soil samples vertically on the riffle slope to different depths within the riffle slope. All three work sites are carried out in March of the dry season to facilitate the sampling and field test.
According to the Standard for Geotechnical Test Methods (GBT 50123-2019)15, the fundamental physical and mechanical property tests are conducted on expanded soil samples collected from various working points. The parameters of the physical and mechanical properties of the assessed working points are presented in Table 2. Subsequently, in line with the Special Geotechnical Investigation Procedures for Railway Engineering (TB 10038-2022)16, the free expansion rate index is employed to categorize the soil samples from the three working points into expansive soil classifications. The Ankang expansive soil exhibits a free expansion rate of 67%, which falls within the 60–90% range, thus classifying it as moderately expansive. In contrast, the free expansion rates of the Xixiang and Mianxi expansive soils are approximately 60%, positioned within the 40–60% range, thereby categorizing them as weakly expansive soils.
Research protocol
Sample preparation
The in-situ soil samples underwent complete crushing and were sieved through a 2 mm mesh to determine the wet bulk density. Subsequently, the dry bulk densities at three distinct working points were derived from the samples’ natural moisture content. A remoulded ring cutter sample with a height of 20 mm and a diameter of 61.8 mm was created using a hydraulic press (refer to Fig. 4) and subsequently placed in a humidor for over 24 h for preservation.
Test methods
In this experiment, dry bulk weight, unconfined compressive strength, three-way expansion force, and unloaded expansion rate tests were conducted, and the matrix of the tests is shown in Table 3.
-
(1)
Unconfined compressive strength test
The unconfined compressive strength is used to investigate the deformation and damage exhibited by the in-situ soil samples when subjected to pressure without lateral constraints to determine their strength and mechanical properties. The strength of expansive soils is mainly controlled by the distribution of fissure surfaces, density, shape, water content status on the fissure surfaces, and filling materials, so the field unconfined compressive strength test was used. The test was chosen for the dry season to minimize the influence of the difference in water content at different depths on the strength. The test apparatus was a YYW-2 type unconfined compression apparatus (refer to Fig. 5a); its main parameters are shown in Table 4.
-
(2)
Three-way expansion force test
In expansive soil slope within a unit, when the water content changes, the unit soil body in the surrounding soil body constraints under the expansion of the force state is three-dimensional nature, and the stability of the slope plays a role in addition to the vertical expansion force, but also includes the horizontal expansion force pointing to the side of the slope face as well as due to the repeated drying and wetting and expansion of some of the cracks caused by the three-way expansion force. Hence, the study of the three-way expansion force is essential. In this test, a square specimen was cut by a square ring cutter according to the sampling orientation (vertical direction Z, graben slope extension horizontal direction X, and airside horizontal direction Y) and put into the three-way expansion meter (refer to Fig. 5b) according to the orientation. Under the condition of controlling the deformation amount to be zero, the specimen’s top and bottom were immersed in water simultaneously to get the specimen’s expansion force in the three directions.
-
(3)
Loadless expansion rate test
The unloaded expansion rate test is designed to simulate the loading state of foundation soil to understand its expansion process. The test adopts an expansion meter (Fig. 5c). The deformation of the specimen in contact with water does not exceed 0.01 mm within 6 h, which is considered stable. The test is generally stabilized after 24–36 h.
The change rule of different characteristic parameters with depth
Variation of natural dry weight with depth
Figure 6 plots the variation of natural dry bulk weight with depth. The Figure shows that the riffle slopes of the three work sites all significantly change surface dry bulk weight in the depth range of 1.0 m, especially at 0.5 m, followed by a gradual stabilization. Numerically, the surface riffle slopes in Xixiang showed the most significant change, increasing from 1.43 g/cm3 at 0.2 m to 1.63 g/cm3 at 0.5 m, i.e., the dry bulk density increased by 14%. Ankang, due to the lattice berm protection, had a more minor change than the Xixiang riffle slope, which was only protected by the supporting seepage trench.
Some of the data nodes were taken for further analysis, and if the dry weight value at 3.0 m is used as unit 1, the calculation of the dry weight ratio at different depths is included in Table 5.
It is clear from Table 5 that the dry capacity of the Ankang and Xixiang riffle slopes at 1.0 m is 0.99 of the dry capacity at 3.0 m, and it remains the same when it reaches 2.0 m. The dry capacity of the riffle slopes at 1.0 m is 0.99 of the dry capacity at 3.0 m. Therefore, it can be assumed that for the general turf and Sophora japonica-protected Graben Valley slope, the dry weight corresponds to a depth of about 2.0 m when keeping the original soil. The Mianxi Graben Valley slope depth of 2.0 m below the dry weight remains unchanged; the reason is that the Mianxi slope is a natural slope of farmland, planting crops twice a year, farmers frequently cultivate, the application of organic fertilizers to make the soil loose, destroying the continuous growth of the plant root system, it is difficult to form the surface of the protective role of the root layer of the plant.
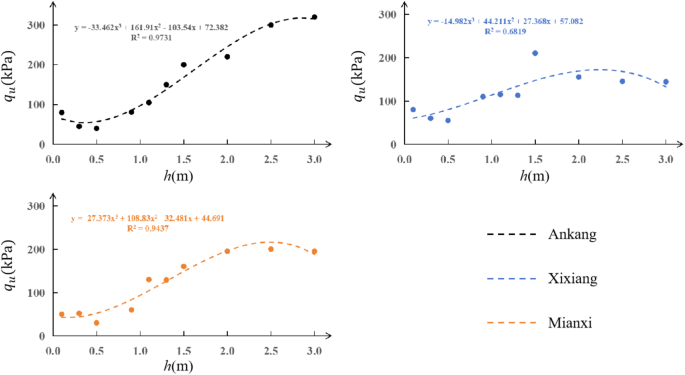
Variation of unconfined compressive strength with depth
The Fig. 7 shows that the graphs of unconfined compressive strength with depth for the three work sites are incredibly similar. These curves can be divided into a 4-stage change process by depth: firstly, the depth range of 0–0.5 m; the curve begins to decline slowly and reaches a minimum value when the depth is 0.5 m; 0.5–1.0 m; the unconfined compressive strength at this stage starts to increase gradually from the minimum value; 1.0–2.0 m. continue to grow, but the growth rate is reduced compared to the previous stage; when the depth range reaches 2.0 m or less, at this time, the curve change amplitude tends to flatten, the unconfined compressive strength slightly up and down, and finally stabilized.
Specific causes can be analyzed in each section, showing different strength characteristics and forms of damage: ① Depth range 0–0.5 m, the surface soil after repeated dry and wet cycles and achieving a certain degree of remodelling. There are plant roots intertwined, the strength of a large extent by the influence of the root system, with the depth of the large to small, the specimen was bulging type broken cup, in the damage can be seen in several pulled plant root system. ② Depth range of 0.5–1.0 m, the layer of soil dry weight analyzed in the previous section also gradually increased from small to large values due to the influence of wet and dry cycles, cracks are highly developed, the specimen was bulging type damage and the appearance of many open fissures as the primary form of damage, the strength of the minimum value in this layer. ③ The depth range of 1.0–2.0 m, the fissures gradually become smaller in this layer due to a slight increase in dry bulk weight. Specimen damage has a clear rupture surface, and part of the fissure surface overlaps or is close to the fissure surface; when the fissure surface and the angle are close to 45° + φ/2, the intensity is low, and vice versa is high. ④ Depth range below 2.0 m, the analysis within the layer is known to be dry bulk weight remains unchanged, the fissures can be considered to belong to the primary fissures and unloading fissures, weathering has been reduced to a lower degree, the destruction of the specimen is the same form as in the upper layer when the strength increases or decreases slightly about the degree of destruction along the fissure surface.
Variation of three-way expansion force with depth
From the test data results, the riffle slope extension direction horizontal expansion force \({\text{P}}_{{{\text{ox}}}}\) compared to the proximity direction horizontal riffle force \({\text{P}}_{{{\text{oy}}}}\). However, along the depth direction of the riffle, the slope is from small to large, but with the same depth \({\text{P}}_{{{\text{ox}}}}\) and \({\text{P}}_{{{\text{oy}}}}\) equal, there is no excavation of the riffle slope due to the proximity of the direction of the \({\text{P}}_{{{\text{oy}}}}\) trend to reduce. Therefore, in Fig. 8, for the sake of eye-catching, only draw a horizontal direction of the expansion force \({\text{P}}_{{{\text{ox}}}}\) and a vertical direction \({\text{P}}_{{{\text{oz}}}}\). As can be seen from Fig. 8, close to the surface, the dry weight of the specimen is minimal, so the expansion force is also minimal; with the increase in depth, the dry weight increases, and the expansion force also increases, to reach a depth of 2.0 m below, the expansion force is unchanged.
Further analysis shows that: ① There is a difference between the expansion force in the horizontal direction and the expansion force in the vertical direction of the original soil specimens of the expansion soil graben slope. It shows that the expansion force is anisotropic when the water content changes in three directions. The horizontal expansion force is smaller than the vertical expansion force, and the ratio is around 0.5. ② Numerically, the three selected work points show similar expansion force after stabilization due to the relatively close soil property index; specifically, the vertical direction expansion force is generally around 20–30 kPa, and the horizontal direction expansion force is generally around 5–15 kPa. ③ Three kinds of natural moisture content state of the original soil, expansion force test of the post-test moisture content are minimal change, \(\Delta {\text{W}}\) = 1–2%. It shows that most of the natural state of the expansion of the soil, in the case of volume unchanged after the water expansion of the water content change, is relatively small.
Variation of expansion with depth
Figure 9 plots the curves of expansion with depth. These curves can be equally divided into four segments according to depth: first depth range 0–0.5 m, the curve decreases rapidly; when the depth of 0.5 m, close to the minimum; 0.5–1.0 m, the curve continues to decrease in this stage, but the rate of decline slows down, reaching 1.0 m, the minimum occurs; 1.0–2.0 m, the amount of expansion with the depth of the increase in the amount of expansion slightly increased; when the depth range reaches 2.0 m below when the magnitude of the curve change tends to flatten out, and the amount of expansion rises and falls slightly, remaining essentially constant.
Specific analysis can be seen: ① Depth range 0–0.5 m, because the closer to the surface, the initial dry weight of the specimen is smaller, the dry shrinkage and wet expansion is more prominent, so the soil curing cohesion is closer to the complete loss of the soil, thus showing remodelling of the expansion characteristics of the soil, i.e., the expansion of a large amount of the expansion limit of the soil layer is enormous. Hence, the expansion of the depth of the decreasing rate is swift. The depth of 0.5 m is close to the minimum expansion amount. ② Depth range of 0.5–1.0 m, with the depth increase, the expansion continues to decrease, to a depth of 1.0 m has had the characteristics of the original state of the soil is not close to the minimum amount of expansion; ③ Depth range of 1.0–2.0 m, the expansion of the amount of depth with the depth increase and a slight increase in the reason is that with the depth of change in the dry bulk weight of the slight increase due to the depth change; ④ Depth range of 2.0 m below the measured expansion of the water content is only slightly increased 23% more than the natural moisture content; ④ The depth range is below 2.0 m, and the water content after swelling was measured to be only slightly increased by 2–3% compared to the natural water content, so the amount of swelling remains unchanged.
Discussion of test results
Discussion of the law between the characteristic parameters
Analyzing Figs. 6, 7, 8, 9, and Table 5, it is found that the characteristic parameters roughly coincide with the deformation stratification of the graben slope. The indicators change most significantly when the depth is near 0–1.0 m. Among them, the lowest value of unconfined compressive strength occurs due to the expansion limit of the surface specimen water content being very high; after rainfall can be fully absorbed, the expansion of a more significant amount, so the surface layer of sliding slump mainly occurs here, that is, in the expansion of the soil in the strong activity layer17. 2.0 m near the indicators and the depth of the in situ soil is not much difference, are tending to stabilize. The specific change rule of each characteristic parameter with depth is shown in Table 6.
Analysis of the damage mechanism of the surface layer of the riffle slope
Through the analysis of experimental data, it is evident that the failures of these slopes predominantly originate from the surface layer. This indicates that when excavating slopes in expansive soil areas, the surface soil layers are the first to be unacclimatized to the new environment. The main aspects of their maladaptation to the environment are as follows:
-
1.
The soil is not well-suited to changes in stress levels. When expansive soil is in its original super-consolidated state, inherent internal stress exists within the soil. Following the excavation of the riffle slope, the stress acting on the surface soil rapidly diminishes to zero. This results in a re-adjustment process of soil stress that gradually occurs from the surface of the riffle slope to the interior soil layer. The transition of the soil body’s stress from a state of non-adaptation to one of adaptation is critical. Once the adaptation phase is attained, the riffle slope can be generally stable over the long term. However, if this stage concludes without achieving adaptability, the condition of the riffle slope will inevitably worsen, potentially leading to its failure.
-
2.
Inadequate adaptation to natural atmospheric forces may occur following the excavation of the graben slope, where the newly exposed surface becomes directly subjected to the effects of atmospheric conditions. Consequently, this surface layer quickly encounters erosion and infiltration from wind, sunlight, and rainfall. As a result, the soil undergoes repeated cycles of drying and shrinking, followed by wetting and expanding annually, ultimately forming a weathering layer that has adapted to atmospheric conditions. If this cyclical process fails to establish a proper adaptation, it could result in detrimental geological phenomena such as erosion, slope failure, and sliding.
Conclusions
Unlike Ning et al.3, who focused on macro-stability analysis, this paper goes deep into the soil body. It reveals the differences in the characteristics at different depths, especially the significant changes in the depth indexes of 0–1.0 m. Compared with Chen et al.4, who mainly analyzed the damage patterns of expansive soil slopes and proposed measures to manage them, this paper reveals the variation rules of the characteristic parameters with the depth through the experimental data and finds that the expansion force of expansive soils in three directions is more significant than that in the horizontal direction, and fills the gap of its failure to analyze the anisotropy of expansion force. This paper fills the gap of not investigating the anisotropy of expansion force; Xu et al.5,6,7 focus on geotechnical bag type slope protection technology engineering applications, not in-depth analysis of the internal characteristics of the soil body parameter changes, while this paper through the different sites of expansion of the soil riffle slope of the field and indoor testing, systematic study of the dry bulk weight, unconfined compressive strength, three-way expansion force and expansion with the change rule of the depth of the expansion of the soil riffle slope surface damage mechanism.
The main research conclusions developed in this paper are as follows.
-
1.
The wet expansion and dry contraction characteristics of expansive soils lead to the loosening of the surface layer of the riffle slope in the range of 0–1.0 m, and the dry weight and strength are significantly reduced while the changes in various indexes in the range of 1.0–2.0 m are relatively small.
-
2.
The Expansive soil rift slope original soil is anisotropic; the vertical expansion force is greater than the horizontal expansion force, and the ratio is about 0.5.
-
3.
The expansion of in-situ soil under natural water content conditions is minimal, and the water content increases by only 2–3% after expansion, indicating that the water in the expanded soil can seep through the cracks to the deeper soil layers.
-
4.
Expansive soil riffle slope damage begins at the surface. A lack of adaptation to changes in soil stresses and the natural camping forces of the atmosphere primarily characterizes it.
Regarding the research on expansive soil graben slopes and slopes, long-term monitoring studies should be carried out in the future to monitor expansive soil graben slopes in the long term and assess their stability changes under different seasons and climatic conditions to validate the conclusions of the existing studies further; moreover, multidisciplinary knowledge such as geology, hydrology, and ecology should be combined to explore the stability mechanism of expansive soil slopes in-depth and to probe for more effective protection techniques; further exploration is needed for the It is necessary to examine further the application of new geomaterials and reinforcement techniques in expansive soil slopes to improve the long-term stability of slopes.
Data availability
Data is provided within the manuscript or supplementary information files.
References
Liao, S. Expansive Soil and Railway Engineering (China Railway Publishing House, 1984).
Xiao, S. Stability analysis of expansive soil cutting slope. Rock Soil Mech. 02, 152–155 (2001).
Ning, X., Zeng, J. & Lv, G. Stability analysis and reinforcement design of expansive soil slope considering fracture statistical distribution. Water Resour. Hydropower Eng. 53(S1), 436–441 (2022).
Chen, D. Comprehensive treatment of expansive soil slope collapse. China High New Technol. 10, 118–120 (2022).
Xu, Y. F. et al. Earth reinforcement using soilbags. Geotext. Geomembr. 26(3), 279–289 (2008).
Xu, Y. F. & Huang, J. Case study on earth reinforcement using soilbags. In Proceedings of the 4th Asian Regional Conference on Geosynthetics. Shanghai (2008).
Matsuoka, H. & Liu, S. H. New earth reinforcement method by soil bags (“do now”). Soils Found. 43(6), 173–188 (2003).
Guo, Y., Nie, R., Zhang, X., Zhang, Y., Chen, J. & Zou, Q. Experimental study on water migration of expansive soil treated by new geotextiles. J. Railw. Sci. Eng., pp. 1–10.
Zhang, Y. “Lime + curing agent” composite improved expansive soil slope backfill construction technology. Sci. Technol. Innov. 18, 137–140 (2022).
Katti, R. K., Bhangale, E. S. & Moza, K. K. Lateral Pressure in Expansive Soil with and Without a Cohesive Non-swelling Soil Layer-Application to Earth Pressures on Cross Drainage Structures in Canals and Key Walls in Dams (Studies on K0 Condition) (Central Board of Irrigation and Power, 1983).
Clayton, C. R. I., Symons, I. F. & Hiedra-Cobo, J. C. The pressure of clay backfill against retaining structures. Can. Geotech. J. 28(2), 282–297 (1991).
Ning, X., Zeng, J. & Zeng, L. Research on flexible, comprehensive protection scheme of expansive soil slope based on “pressure and fast drainage”. Water Resour. Hydropower Express 43(02), 52–56+62 (2022).
Gong, B. Fractures, strength, and relationship between expansive soil and slope stability. J. Yangtze River Res. Inst. 39(10), 1–7 (2022).
Zhu, W. et al. Analysis of deformation characteristics of expansive soil slope based on combined InSAR and SSA: A case study of south-to-north water diversion project. J. Surv. Map. 51(10), 2083–2092 (2022).
GB/T 50123-2019. Standard for Geotechnical Test Methods.
State Railway Administration. TB 10038-2022, Regulations for Special Geotechnical Investigation of Railway Engineering (China Railway Press, 2022).
Zhang, D., Miao, X. & Shen, C. Study the mechanism of expansive ripping soil disease and comprehensive control measures. Shanxi Archit. 50(03), 82–85+89 (2024).
Funding
Funding was provided by China Railway Group Limited Science and Technology Research and Development Plan (Grant No. Research Institute 2023-Major-01), Research and Development Program of China Railway Qinghai-Tibet Group Co., Ltd. (Grant No. QZ2023G01) and Independent Innovation Project of China Railway Northwest Scientific Research Institute Co., Ltd. (Grant Nos. 2022XBK03 and 2023XBK03).
Author information
Authors and Affiliations
Contributions
Chaozheng Shen (First Author): Conceptualization, data curation, formal analysis, investigation, methodology, writing-original draft, writing-review and editing; Xueyun Miao (Corresponding Author): Funding acquisition, resources, supervision, writing-original draft, writing-review and editing; Yongqiang Li (Third Author): Methodology, supervision. All authors participated in the manuscript review.
Corresponding author
Ethics declarations
Competing interests
The authors declare no competing interests.
Additional information
Publisher’s note
Springer Nature remains neutral with regard to jurisdictional claims in published maps and institutional affiliations.
Electronic supplementary material
Below is the link to the electronic supplementary material.
Rights and permissions
Open Access This article is licensed under a Creative Commons Attribution-NonCommercial-NoDerivatives 4.0 International License, which permits any non-commercial use, sharing, distribution and reproduction in any medium or format, as long as you give appropriate credit to the original author(s) and the source, provide a link to the Creative Commons licence, and indicate if you modified the licensed material. You do not have permission under this licence to share adapted material derived from this article or parts of it. The images or other third party material in this article are included in the article’s Creative Commons licence, unless indicated otherwise in a credit line to the material. If material is not included in the article’s Creative Commons licence and your intended use is not permitted by statutory regulation or exceeds the permitted use, you will need to obtain permission directly from the copyright holder. To view a copy of this licence, visit http://creativecommons.org/licenses/by-nc-nd/4.0/.
About this article
Cite this article
Shen, C., Miao, X. & Li, Y. Discussion on the change rule of different characteristic parameters with depth in expansion soil graben slopes. Sci Rep 15, 10978 (2025). https://doi.org/10.1038/s41598-025-96062-y
Received:
Accepted:
Published:
Version of record:
DOI: https://doi.org/10.1038/s41598-025-96062-y











