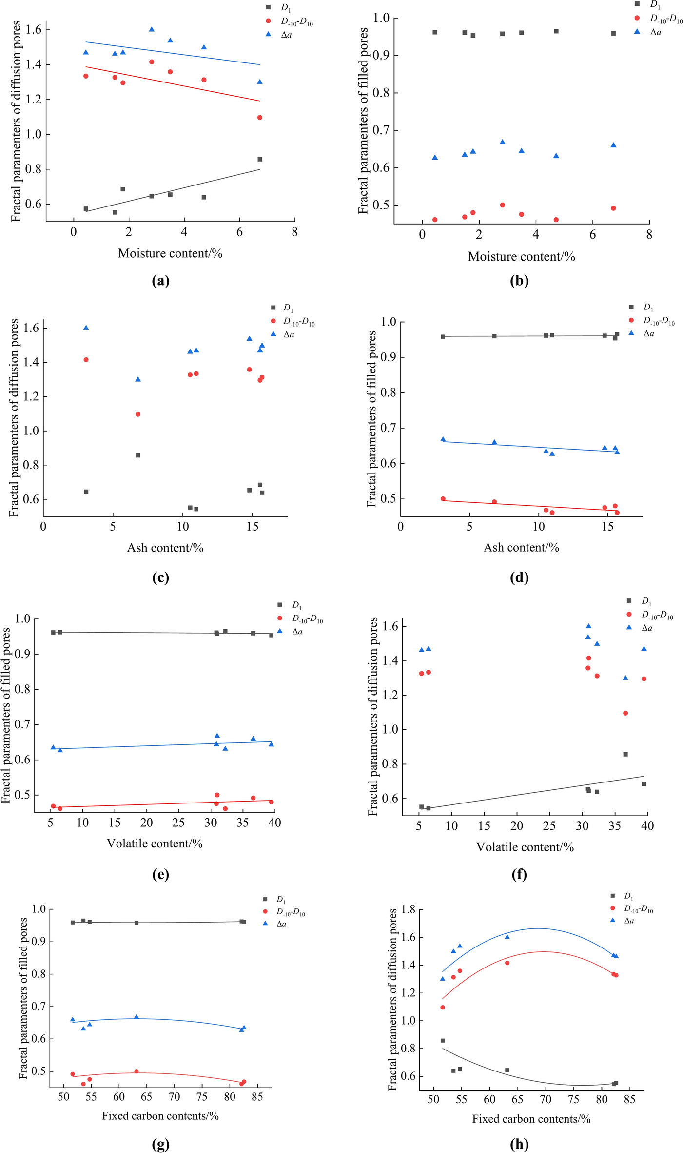
Fig. 12 | Scientific Reports