Fig. 4
From: Enhancing drilling performance in 3D printed PLA implants application of PIV and ML models

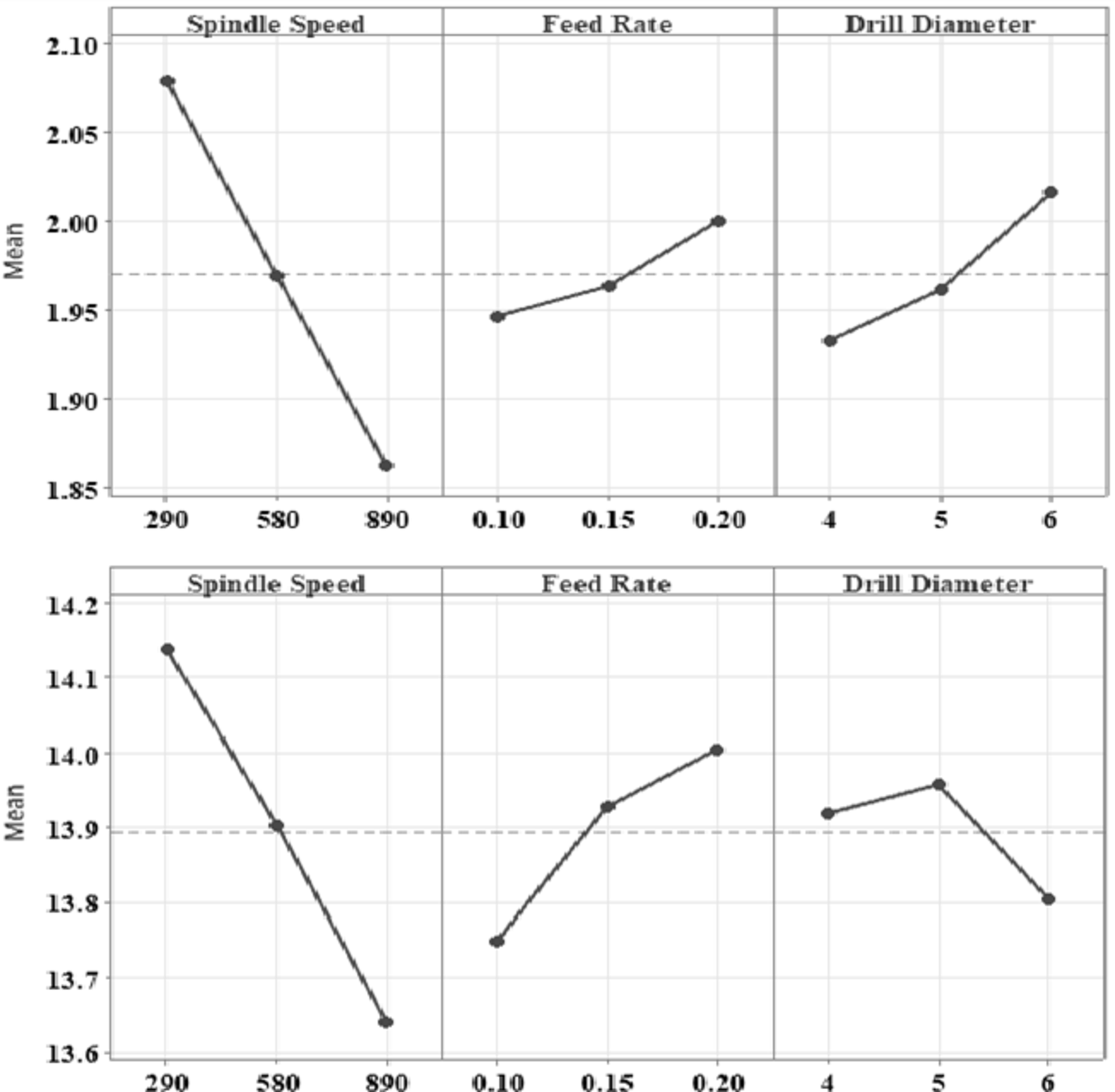
(a) Main effects plot for Ra. (b) Main effects plot for Rz.
From: Enhancing drilling performance in 3D printed PLA implants application of PIV and ML models

(a) Main effects plot for Ra. (b) Main effects plot for Rz.