Abstract
Fused Deposition Modeling (FDM) is a common additive manufacturing technique known for its ability to quickly produce complex geometries and features according to customer requirements in a short timeframe. Parts produced by FDM technique with (Polylactic Acid) PLA can be used extensively as it is biocompatible in nature. The present investigation involves drilling the fabricated circular discs to assess the material removal rate (MRR) and hole profile. The inputs considered are spindle speed (SS), feed rate (fr), and drill diameter (dia), in relation to the output characteristics such as MRR, surface roughness (Ra and Rz), circularity, and cylindricity. This work employs the Proximity Indexed Value (PIV) tool to predict the near-optimal value for improving hole quality and enhancing the drilling process. In addition, Artificial neural network (ANN), Support vector machine (SVM), and Random Forest (RF) models were employed to predict the optimized results by PIV method. The tests show that the RF model, which has a R² value of 99.16%, does a better job of describing the desired outcome than the ANN model (89.45%) and the SVM model (89.08%). This also proves that the machine learning (ML) models offer better prediction to the optimization of drilling parameters with reference to the quality of the workpiece machined.
Similar content being viewed by others
Introduction
Additive Manufacturing (AM) is an evolving technique for the manufacturing of various products through material building principles. Given its numerous capabilities and potential, this technique holds the key to the industrial revolution in the near future1,2,3. Some of the notable advantages of the AM techniques include rapid processing, freeform design, low cost of manufacturing and building complex structures with ease. Some of the limitations of the technique include warpage, poor surface quality, shrinkage and least adaptable to mass production. However, customized design is the standalone advantage of AM techniques through which the structures can be easily built, which is not possible through any of the conventional mass production techniques4,5,6. The application prospects of the AM techniques include manufacturing, biomedical, aerospace, and construction owing to their diverse adaptability for materials ranging from polymers to metals and their potential capability to print all such materials7,8. Fused Deposition Modelling (FDM) is the widely used and low-cost AM technique and has been in the limelight for quite a good period lately9,10. The FDM technique prioritizes thermoplastic polymers due to their superior mechanical properties. Some of the commonly used thermoplastic polymers include Polylactic Acid (PLA), Acryl Butadiene Styrene (ABS), Polycarbonate (PC), Polyolefins (PO), and Polypropylene (PP), all of which are derived from natural sources. These materials are not only compatible with AM techniques but also cater to sustainable materials development and applications. PLA is the commonly used filament material for FDM technique, which is a plant-based thermoplastic polymeric material. PLA is a renewable raw material that is completely biodegradable and recyclable that was derived from natural sources. PLA finds its majority of applications in stain-resistant clothing, packaging, UV-resistant cloths for industries, biomedical applications specifically in orthopedic surgery, and covering materials11,12.
Parts that are produced using any 3D printing technique requires postproduction operations like joining and machining. Drilling is an easier machining process that helps in achieving complex design parts and drilling of thermoplastics such as PLA have some limitations like melting of the plastic due to the high temperature generated by the use of metallic drill tools and the generation of cracks due to high pressure during the drilling process13,14,15. Because of low thermal conductivity of the PLA material and its low melting point, the heat generated during drilling process is not transferred to the subsequent layers, which results in unequal melting of the top layer of the 3D-printed part and a non-uniform temperature gradient between the layers16,17. Furthermore, the PLA will clog at the drill helices and lower the quality of the hole because it is brittle, so cracks will start to appear during the drilling of PLA. All these issues concurrently point towards the non-optimized process parameters or interference with the complex parts in the 3D printed parts. During the hole drilling process, surface quality and hole dimensions are adversely affected by the cutting forces, which result in delamination of the PLA material. Such delamination affects the hole tolerance, which results in an improper joining process and decreases the durability of the assembly18,19. To dodge all the above issues, the optimization of process parameters such as fr, SS during drilling is deemed very important. Analyzing the delamination formation during hole drilling is crucial for producing various lattice structures of PLA using FDM techniques. Most studies stated that the impact of SS and frof the drill is very high during the drilling of PLA plates20.
The assessment of various process parameter values through their variation and the process benchmarking points towards the repeatability and accuracy of a geometrical feature generated during the AM process. Evaluation of the effect of process parameters on the dimension of the geometrical feature, such as holes helps in understanding the AM process better and increases the diversity of the AM process further21,22,23. Meanwhile, the optimization of machining parameters is a widely adopted technique to reduce the cost of machining and time of machining, which also increases the performance capability of machining. Some of the early research works emphasized the use of optimization techniques like Grey Relational Analysis (GRA), desirability function, and so on, but current optimization techniques are based on Artificial Intelligence (AI) and ML based methods. Some of the AI and ML-based techniques which have the fullest capability to dethrone traditional optimization techniques include Genetic Algorithm (GA), ANN, Harmony Search Algorithm (HSA), Particle Swarm Optimization (PSO), Ant Colony Optimization (ACO), Rabbit Algorithm (RA) and so on24,25,26. Additionally, the ability of the evolutionary multi-objective optimization algorithms to find a set trade-off solution in a single run, traditional and single objective optimization techniques are least used these days. Multi-Criteria Decision Making (MCDM) techniques have found wide applications and the techniques are used to evaluate the best alternative27. It was stated in some literature that more than 70 MCDM techniques are in existence which helps the experimenter to get involved in decision making in various phases of life-cycle analysis and in various streams such as science, engineering, production and business28,29. Entire MCDM techniques can be classified into two categories such as ordinal and cardinal methods. In ordinal methods, the experimenter assigns scores to each qualitative alternative based on its ability to fulfil a specific criterion and come up with the best possible solution, while in cardinal methods the decision can be directly made from the available quantitative alternatives30,31,32. Some of the simplest MCDM techniques work by simply adding the weight scores, which results in a single cumulative score for the alternative, while another family of MCDM techniques involves the approach of outranking, which is based on the pair-wise comparison of the alternatives33,34. A few research works used a new MCDM technique, namely the Proximity Indexed Value (PIV) technique, which is a simple and effective method of choosing the best alternative through rank reversal principles. This method contains only seven simple steps, and the ease of this method is very high when compared with the currently used MCDM techniques35,36 .
Various literature explains that the drilling process of PLA parts determines the hole quality and assembly integrity. However, the limitations retard the employment of drilling operations on PLA materials due to delamination and cracking. Such limitations must be overcome only by the optimization of process parameters of drilling. In order to reduce the delamination and increase the surface integrity of the holes, the use of MCDM techniques becomes inevitable for the drilling of PLA materials. It could also be understood from the available literature that the use of the PIV method, and ML method for the optimization of drilling process parameters has the least literature background. The combination of PIV and ML method is believed to produce good results which is implemented in this work. Accordingly, the current experimental work is an attempt to perform drilling operations in 3D-printed PLA discs and assess the hole quality through the optimization of process parameters such as SS, fr, and dia of the drill tool. FDM technique was used to print the PLA discs, drilling operations were carried out using a conventional drilling machine, and the process parameters during drilling were optimized using ML and PIV methods.
Materials and methods
Fabrication and machining
In this study, a circular disc measuring 20 × 7.5 mm with a full filling ratio was produced using a 3D printer, ensuring it had no holes. The disc was subsequently machined to evaluate both the MRR and the surface finish of the FDM object. A model of the drilling specimen was designed using Creo 2.0 software (www.ptc.com/en/products/creo/parametric) and transferred as an STL file. Figure 1 illustrates the dimensional specifications of the workpiece (W/p) and the experimental layout. The model was then processed with Cura 3.6.0, which performed the slicing operation and generated the necessary G-Codes for the FDM machine. The specimen was fabricated under various process parameter settings using the Ultimaker 2 + FDM printer, as shown in Fig. 1. The characteristics of the PLA polymer used are listed in Table 1(a) and printing parameters are listed in Table 1(b). The PLA components created through 3D printing were drilled using the MAAN Technoplus radial drilling machine, which features a 75 mm capacity and a powerful 7.5 HP motor with two speed settings. This machine’s maximum SS is 2,000 rpm, which offers automatic feeding rates between 0.05 and 0.2 mm per revolution. The process parameters are shown in Table 1(c). Based on trial and error, manufacturers suggestions, and previous literatures, the process parameters were selected. The drilling process was carried out without coolant, emphasizing an environmentally friendly approach through dry machining.
Flow of the work.
Measuring instruments
The assembly and dynamic performance properties of mechanical components are significantly influenced by cylindricity. During machining, real-time monitoring of cylindricity error minimizes waste and guarantees the accuracy of the drilled holes. The Co-ordinate Measuring Machine (CMM) (Make: Hexagon, Model: Global S 3D) was utilized to measure the cylindricity error of the drilled holes. A three-dimensional measurement machine (CMM) equipped with a spherical probe measuring two millimeters in dia was used to examine geometric inside-hole faults. Palpation at 12 places around the hole’s perimeter was used to measure the dia of the entrance and outlet holes as well as the cylindricity error. The roundness error is one of the most significant ovalty damages that needs to be controlled on a cylindrical drilled item37. The standard metrological tool for inspecting roundness error is the Co-ordinate Measuring Machine (CMM), which is typically used in a quality room. The error was measured at six locations throughout the hole entrance, and the average measurement data were assessed and taken for further investigation. An elevated MRR indicates an expedited drilling procedure; nevertheless, it must be reconciled with tool degradation and thermal production.
Drilling process
Drilling on PLA is a challenging task since it is a brittle material, which may lead to cracking and deforming under certain circumstances. During the drilling process, the point angle on the drill tool plays a major role in deciding the hole quality38.The drill tool enters the W/p at a prescribed frto prevent cracking of material at the entry and exit places of the hole. The material is removed due to the shear and pressure exerted by the tool on the W/p39. The temperature evolved during the drilling process must be kept low to keep the material below its softening point. The drilling process also leads to localized mechanical stresses which can make the material to crack easily. Tool is fed in to the material at limited force as shown in Fig. 2and a pilot hole is used for facilitating the drill bit to enter easily into the PLA material. The chips generated during the drilling process will be removed from the machining zone via the flute of the drill tool. Improper chip removal from the machining zone leads sticking of material on the drill tool. When the material reaches the softening temperature, work material gets stuck on the tool40, thus damaging the drilled hole. Drill tools with lower point angles tend to perform better than the tools with higher point angles.
Drilling illustration.
During drilling of PLA, a high frinduces a crack due to compression of material, which occurs perpendicular to the orientation of the ply. Delamination is one of the major problems encountered during the drilling of PLA. Delamination will be seen as a crack between the layers which are mainly due to the compression and fatigue loading due to the drilling11.
Results and discussions
Effect on Ra and Rz
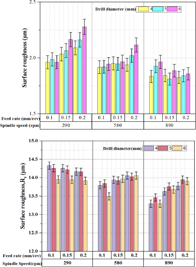
The degree to which a surface deviates from an ideal shape or is irregular is measured by its roughness41,42. Figures 3(a) and 3(b) illustrate the variation in Ra and Rz corresponding to varied frs and SSs. The roughness value is dependent upon the fr and drill dia. Increased frs result in improved material removal, which generates more heat due to friction, hence increasing the roughness of the drilled surface43. The enlarged contact area of the tool at a drill dia of 6 mm generates more heat, thereby resulting in more roughness compared to drill dia of 4 mm and 5 mm. A drill dia of 6 mm generates greater torque during operation, resulting in increased vibration compared to the 4 mm and 5 mm dia.
(a) variation of Ra under different machining parameters. (b) variation of Rz under different machining parameters.
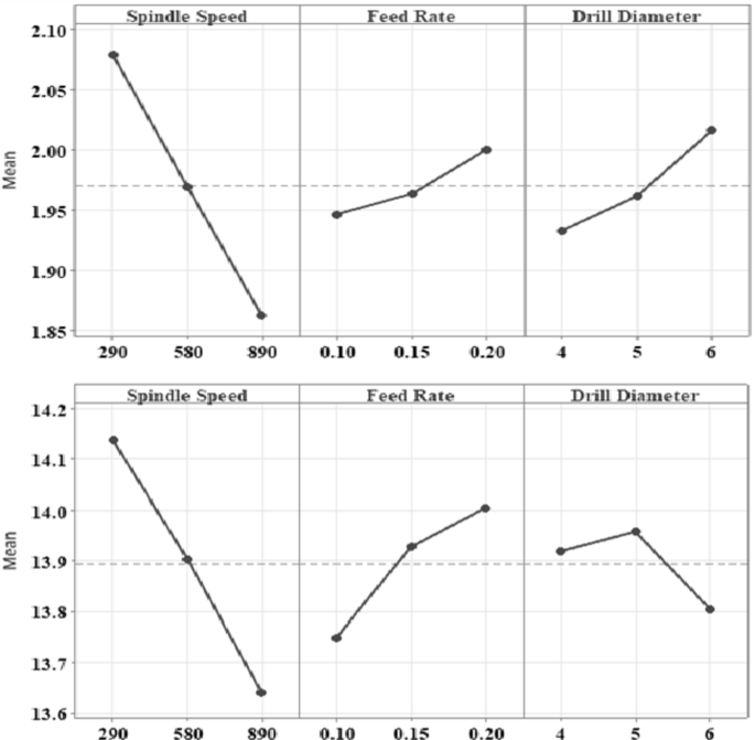
Figure 4(a) and (b) illustrate the correlation among SS, fr, and dia with the Ra and Rz of drilled holes. The value of Ra and Rz ranges from 1.96 to 2.27 μm and 13.91–14.25 μm respectively, for a SS of 290 rpm. Further when the SS is increased to 580 rpm, the value of Ra and Rz ranges from 1.91 to 2.11 μm, and 13.91–14.01 μm respectively. The value of Ra and Rz ranges from 1.83 to 1.91 μm, and 13.29–14.25 μm respectively, for a SS of 890 rpm. At SS of 290 rpm with increase in fr, partial melting or local deformation of polymer is observed resulting in higher roughness values44. It reveals that as SS increases, the Ra and Rz typically drops, with maximum performance occurring around 890 rpm. The value of Ra and Rz is found to be reduced with the increase in SS. Ra and Rz were similarly influenced by the fr. This is likely due to a coarser surface finish resulting from the removal of more material. Moreover, an examination of the fr indicates that elevated frs typically result in increased Ra and Rz values, especially at reduced SS. The drill dia exhibited a minor influence on Ra and Rz. A larger drill dia (6 mm) produced a greater Ra value, whereas a moderate dia (5 mm) yielded a higher Rz value. Figure 5 (a-i) shows the surface of the drilled hole at various speed-feed combinations. Figure 6, shows the 3D topography of the drilled surface: it is observed that drill dia 6 mm produced good finish.
(a) Main effects plot for Ra. (b) Main effects plot for Rz.
Machined Surface at (a) SS = 290 rpm,fr = 0.15 mm/rev, dia = 4 mm (b) SS = 290 rpm, fr = 0.15 mm/rev, dia = 5 mm (c) SS = 290 rpm, fr = 0.15 mm/rev, dia = 6 mm (d) SS = 580 rpm, = 0.15 mm/rev, dia = 4 mm (e) SS = 580 rpm, fr = 0.15 mm/rev, dia = 5 mm (f) SS = 580 rpm, fr = 0.15 mm/rev, dia = 6 mm (g) SS = 890 rpm, fr = 0.1 mm/rev, dia = 4 mm (h) SS = 890 rpm, fr = 0.15 mm/rev, dia = 5 mm (i) SS = 890 rpm, fr = 0.15 mm/rev, dia = 6 mm.
3D surface topography at (a) SS = 890 rpm,fr = 0.15 mm/rev, dia = 4 mm (b) SS = 890 rpm, fr = 0.15 mm/rev, dia = 4 mm (c) SS = 890 rpm, fr = 0.15 mm/rev, dia = 6 mm.
Effect on cylindricity
Figure 7 illustrates the cylindricity assessed for holes under varying machine conditions. The drilling temperature decreases with the increase of fr. The low melting point of PLA also leads to overheating because of the increased contact area between the tool and W/p45. The observation that SS of 890 rpm exhibits the minimal cylindricity error is a significant discovery. The initial reduction in cylindricity error was observed when SS is increased from 290 to 580 rpm. The tool dia significantly influences the cylindricity of the drilled holes, as seen in Fig. 8. The cylindricity error typically varies (increases and reduces) with an increase in tool dia, which is in contrast to the trend of cylindricity associated with SS and an interesting association between SS, fr and the variation in cylindricity error may be observed in Fig. 9. At a SS of 290 rpm and fr of 0.1 mm/rev, the value of cylindricity error ranges from 0.016 to 0.077 mm, and when SS is increased to 580 rpm for the same fr of 0.1 mm/rev, the cylindricity error ranges from 0.01 to 0.067 mm. for a maximum SS of 890 rpm, at the same fr of 0.1 mm/rev, the value ranges from 0.011 to 0.51 mm. Among the different drill tools used, drill dia of 6 mm exhibited less cylindricity error values for a SS of 580 rpm, and 890 rpm except at SS of 290 rpm, the values exceeded the drill dia of 4 mm.The cylindricity error escalates with an increase in fr at all SSs. In addition, it is observed that drill dia of 5 mm produced holes with more cylindricity error in all the combinations of machining parameters.
Variation of cylindricity at different machining parameters.
Main effects plot for cylindricity
Variation of Circularity at different machining parameters.
Effect on circularity
Figure 8 shows the circularity measured for different sped-feed combinations during PLA drilling. It is evident that as SS increases, circularity diminishes, but as frincreases, it also increases. The same phenomenon was observed during the drilling of polymer nano composites38. The drill’s rotational stability improves at higher SS. The reduced circularity errors at high SS (890 rpm) is explained by it. More circularity is produced with a low fr of 0.1 mm/rev. Additionally, at lower fr (0.1 mm/rev), the hole’s quality is smooth and uniform: however, at higher frs (0.2 mm/rev), the hole’s quality is compromised by the formation of a significantly chipped exit edge.
The value of circularity error was 0.016 mm,0.029 mm, and 0.051 mm for a fr of 0.1 mm/rev, 0.15 mm/rev, and 0.2 mm/rev respectively for a SS of 290 rpm. The value of circularity error was 0.013 mm,0.024 mm, and 0.031 mm for a fr of 0.1 mm/rev, 0.15 mm/rev, and 0.2 mm/rev respectively for a SS of 580 rpm. Further when the SS is raised to 890 rpm, the value was found to be 0.014 mm,0.019 mm and 0.026 mm for a fr of 0.1 mm/rev, 0.15 mm/rev, and 0.2 mm/rev respectively. These variations in the circularity value clearly indicates the influence of SS and fr on the circularity error value. Figure 10 shows the main effect plots for Circularity. The tool exerts more pressure on the surface of the hole before exiting, resulting in the fracturing of the hole and generating greater cutting force in the axial direction at elevated fr. It was concluded that the combination between the minimum SS and the maximum fr for the three-drill dia gives a smallest circularity error. Hence, the smallest circularity error is obtained from the combination of the highest SS, the lowest fr, and lowest drill dia.
Main effect plots for Circularity.
Effect on MRR
The MRR generated using PLA material from the drilling research is displayed in Fig. 11. The MRR value grew linearly as the dia, fr, and SS were increased. When drilling 3D printed PLA material, it is observed that the SSinfluences the MRR. Additionally, increasing the dia raises the feed per tooth and the contact area of the tool with the W/p, which raises the MRR. The drill dia has a direct relationship with the rate of material removal46. The amount of material removed was observed to be greater if a larger drill bit was used for the operation. Therefore, there is a direct correlation between the drill dia and MRR. At SS of 290 rpm, the observed MRR was in the range of 0.003–0.013 mm3/min, 0.048–0.063 mm3/min, 0.066–0.078 mm3/min for a dia of 4 mm,5 mm,6 mm respectively. When the SS is increased to 890 rpm, the observed MRR was in the range of 0.006–0.029 mm3/min, 0.012–0.033 mm3/min,0.02–0.047 mm3/min for a dia of 4 mm,5 mm,6 mm respectively. For the same SS and fr when the dia is varied from 4 mm to 6 mm, the dia 6 mm showed higher MRR values. Lower SS of 290 rpm showed less MRR result, the combination of level three drill dia (6 mm), level three fr (0.2 mm/rev), and level three SS (890 rpm) yields the maximum MRR. Figure 12 shows the main effect plot of MRR.
Variation of MRR at different machining parameters.
Main effects plot for MRR.
MCDM with PIV
In the area of MCDM, the PIV method has emerged as a strong tool for assessing and positioning alternatives based on multiple conflicting criteria47. This method is particularly valuable in scenarios where decision-makers must navigate complex trade-offs among various performance metrics, such as cost, quality, and sustainability. The PIV method combines the ideas of proximity analysis and indexed value calculations. This makes it possible to make decisions in a way that is both easy to understand and useful. PIV method starts with building a decision matrix with all the input parameters relating with output parameters. The values are normalized and weights are assigned to each parameter based on the importance. Weighted proximity index Di is calculated for each run and they are ranked based on the values. Highest value among the Di is chosen as the best optimal solution. The steps involved in PIV method is indicated in Fig. 13. The PIV technique choose trial number 19, with its higher SS, lower fr, and lower drill dia, as the optimal condition (Table 2). This optimized result helps industries to drill PLA more efficiently as per the requirement. The achievement of better surface finish and hole quality is determined by selecting proper SS, fr and drill dia.
Steps involved in PIV method.
Prediction approaches
Artificial Neural Network: ANN modelling is an advanced computational method that draws inspiration from the functioning and design of the human brain, intended to provide machines the ability to understand statistics and make wise decisions. Artificial neurons are layered and connected to create ANNs, which use activation functions and weighted sums to process input data and generate outputs48. ANNs are extremely efficient at tasks like pattern recognition, regression, and classification because of their architecture, which enables them to49understand complicated, non-linear connections among the data. The architecture of ANN is depicted in Fig. 14. When training an ANN, the weights and biases of the neurons are adjusted to minimize the error between the expected and actual outputs. Algorithms such as backpropagation and gradient descent are frequently used to achieve this target. The correlation coefficient (R) and mean sum squared error (MSE) between the predicted and target values were used as statistical parameters to create the best neural network architecture. R and MSE calculations were performed using Eqs. (1) and (2) respectively.
Artificial Neural Network Architecture.
where, \(\:{a}_{i}\) and \(\:{\stackrel{-}{a}}_{i}\) are the experimental data and its average value, respectively, \(\:a{d}_{i}\:\)and \(\:\stackrel{-}{a{d}_{i}}\) is the ANN predicted data and its average value, respectively, and n denotes the total datasets.
Support Vector Machines: The SVMs are widely used algorithms in ML, specifically for prediction and classification tasks. Simplifying complex data into a clear decision boundary, SVMs seek to find the best-fitting hyperplane that separates different classes with the maximum margin50.In its basic form, the decision boundary is represented by a linear equation involving weights assigned to input features and a bias term. The algorithm of support vector machine is depicted in Fig. 15. In its simplest form for a linearly separable case, the decision boundary can be represented by the Eq. (3):
Schematic of Support Vector Machine.
Here, \(\:{w}_{1}\)and \(\:{w}_{2}\) are the weights assigned to features \(\:{x}_{1}\) and \(\:{x}_{2}\) respectively, and \(\:b\) is the bias term. The SVM algorithm seeks to find the optimal values for these parameters such that the margin between the closest data points from each class, known as support vectors, is maximized. The goal of SVM is to solve the optimization problem by the following Eq. (4):
Subject to the constraints:
Where \(\:{x}_{i}\) represents the feature vector of the \(\:{i}^{th}\) data point, \(\:{y}_{i}\) is the corresponding class label \(\:(-1\:or\:1)\), and \(\:w\bullet\:{x}_{i}+b\) is the decision function that determines the class of the data point. The parameter \(\:C\) controls the trade-off between maximizing the margin and minimizing the classification error.
Random Forest: RF stands out as a widely utilized ML algorithm, integrating numerous decision trees to formulate predictions51. Within the forest, each decision tree undergoes training on a randomized subset of both data and features. The general architecture of RF is presented in Fig. 16. The ultimate prediction is determined by consolidating the forecasts generated by all trees. The formula for predicting a target variable \(\:Y\) using RF can be simplified as follows:
Schematic of Random Forest.
Prediction with ML models
MATLAB 2021, a high-level programming, and interactive system with a large built-in function set and strong computational capabilities for developing and implementing ANN models was utilized for building the data model51,52. The Ra measured in drilling of additively made PLA was modelled using a multilayer feedforward neural network. The neural network model was trained with the data in the form of two distinct matrices as inputs and targets. For the network, the Levenberg-Marquardt (trainlm) backpropagation algorithm is selected as the training function. Drilling process parameters such as SS, fr, and drill dia were taken as inputs, with the output being optimization grade. The optimal neural network design was determined based on the R and MSE of the training data, testing data, and all datasets. The model was trained, tested, and validated using varying numbers of neurons and layers, and the corresponding error for each neuron was computed. From Fig. 17, it is clear that a neural network has six neurons in one hidden layer. Similarly, R and MSE were also observed to be very low for train data and all data compared to other neural network architectures. Thus, a neural network model with a 3–6-1-1 topology was opted for forecasting the Ra. Later, several iterations were used to avoid overtraining of the developed ANN model. R and MSE at a different number of iterations were calculated to observe the performance of the model. subsequently, the R-value was used for evaluating the effectiveness of the ANN model by comparing the predicted and actual values. Figure 18 presents the correlation graph obtained for the developed ANN model. It is observed that the R-value of training, test, and validation data have been found to be 0.88755, 0.96339, and 0.89596, respectively. The model’s accuracy was concurrently assessed using Mean Squared Error (MSE) and R-value metrics. It has been found that the ANN model has shown an MSE of 9.14E-05 and an overall R-value of 0.89458 for all data, indicating excellent prediction capability of the developed model. A graph plotted between actual values and ANN predicted values are presented in Fig. 19 (a).
Artificial Neural Network Architecture with 3–6-1-1 Topology.
The Correlation Graph for ANN model.
(a) A graph plotted between actual values and ANN predicted values, (b) Correlation graphs comparing the actual values with the predicted values for the SVM model (c) Correlation graphs comparing the actual values with the predicted values for the RF model.
SVM and RF models were utilized in this research; WEKA 3.9.3 the ML software, was employed. Several document formats, such as ARFF, C4.5, CSV, and JSON files, are supported in WEKA. The optimized grade related to drilling parameters were uploaded in CSV format, making it straightforward to import and analyze using the software. WEKA displays the dataset’s association, features, instances, and visualization after import53. The accuracy of the models was evaluated using MSE and R-value. The SVM ML model achieved an MSE of 9.73E-05 and an R-value of 0.8908, demonstrating its strong predictive capability. Similarly, the RF model achieved an MSE of 1.25E-05 and an R-value of 0.9916, indicating even higher predictive accuracy. Correlation graphs between the actual values and predicted values for both the SVM and RF models are represented in Fig. 19 (b) and (c). The SVM model demonstrates strong predictive capability, while the RF model shows even superior accuracy. The RF model outperforms the SVM model in overall performance.
Conclusions
PLA produced by FDM was subjected to drilling operations with different machining parameters like drill dia, SS and fr. In addition, the results were predicted by using ML models like ANN, SVM and RF. The investigation yielded the following results.
-
Surface roughness parameters (Ra and Rz) was found to be increased with a raise in fr due to the accelerated removal of material from the W/p. Drill dia of 6 mm produced a good surface finish when compared with the other drills.
-
Circularity and cylindricity reduce with an increase in SS because of the sticking of small W/p material on the tool, and with respect to fr, low frs provide hole with better quality.
-
Drill dia 6 mm showed higher MRR because of the size of the drill. SS and fr also had an impact on MRR, when both SS and fr are increased, a higher MRR was observed.
-
PIV was employed to perform the MCDM analysis. The results from the method exhibited that a SS of 890 rpm, a fr of 0.1 mm/rev and drill dia of 4 mm produced the optimized output in all the output parameters.
-
The output parameters were predicted using three ML models, such as ANN, RF and SVM, which was compared with the optimized experimental values. In this RF model performed better than other models with less error.
-
Industrial and medical applications are notable from this study. In surgical implants, optimizing PLAdrilling guarantees high-quality hole formation for biocompatibility and structural integrity. Optimizing drilling parameters improves part performance, tool wear, and productivity in AMed components used in automotive, aerospace, and electronics.
Future work
Broader understandings of material behavior could be obtained by extending the investigation to other AMed PETG, ABS, or composite-based polymers. Drilling parameter predictions can also be made more accurate by utilizing deep learning methods like CNN and LSTM models. AI-powered feedback mechanisms combined with real-time monitoring may also be able to dynamically modify drilling conditions for better results.
Data availability
The datasets used and analyzed during the current study are available from the corresponding author on reasonable request.
References
Balaji, D. et al. Additive Manufacturing for Aerospace from Inception to Certification. J. Nanomater. (2022). (2022).
Jiménez, M., Romero, L., Domínguez, I. A., Espinosa, M. D. M. & Domínguez, M. Additive Manufacturing Technologies: An Overview about 3D Printing Methods and Future Prospects. Complexity (2019). (2019).
Ramesh, M., Niranjana, K., Bhoopathi, R. & Rajeshkumar, L. Additive manufacturing (3D printing) technologies for fiber-reinforced polymer composite materials: A review on fabrication methods and process parameters. E-Polymers 24, (2024).
Ngo, T. D., Kashani, A., Imbalzano, G., Nguyen, K. T. Q. & Hui, D. Additive manufacturing (3D printing): A review of materials, methods, applications and challenges. Compos. Part. B Eng. 143, 172–196 (2018).
Bhuvaneswari, V. & Balaji Devarajan, L. R. Additive Manufacturing of Hydrogels:process and properties. in Additive Manufacturing with Novel Materials: Processes, Properties and Applications (ed. R. Rajasekar, C. Moganapriya, P. S. K.)wiley, (2024). https://doi.org/10.1002/9781394198085.ch9
Vaneker, T., Bernard, A., Moroni, G. & Gibson, I. Z. Design for additive manufacturing: framework and methodology. CIRP Ann. 69, 578–599 (2020).
Wazeer, A. et al. Additive manufacturing in biomedical field: a critical review on fabrication method, materials used, applications, challenges, and future prospects. Progress in Additive Manufacturing vol. 8Springer International Publishing, (2023).
Balaji Devarajan, R., LakshmiNarasimhan, B., Venkateswaran, S. M. & Rangappa, S. S. Additive manufacturing of jute fiber reinforced polymer composites: A concise review of material forms and methods. Polym. Compos. 43, (2022).
Rajan, K., Samykano, M., Kadirgama, K., Harun, W. S. W. & Rahman, M. M. Fused deposition modeling: process, materials, parameters, properties, and applications. International Journal of Advanced Manufacturing Technology vol. 120Springer London, (2022).
Kristiawan, R. B., Imaduddin, F., Ariawan, D., Arifin, Z. & Ubaidillah & A review on the fused deposition modeling (FDM) 3D printing: filament processing, materials, and printing parameters. Open. Eng. 11, 639–649 (2021).
Madhan Kumar, A. & Jayakumar, K. Mechanical and drilling characterization of biodegradable PLA particulate green composites. J. Chin. Inst. Eng. Trans. Chin. Inst. Eng. A. 45, 437–452 (2022).
Ebrahimi, F. & Ramezani Dana, H. Poly lactic acid (PLA) polymers: from properties to biomedical applications. Int. J. Polym. Mater. Polym. Biomater. 71, 1117–1130 (2022).
Baraheni, M., Shabgard, M. R. & Amini, S. Experimental evaluation and optimization of parameters affecting delamination, geometrical tolerance and surface roughness in ultrasonic drilling of 3D-Printed PLA thermoplastic. J. Thermoplast Compos. Mater. https://doi.org/10.1177/08927057241264803 (2024).
Mohammadreza Lalegani Dezaki, M. K. A. M. A. & B. T. H. T. B. Experimental Study of Drilling 3D Printed Polylactic Acid (PLA) in FDM Process. in Fused Deposition modeling based 3D printing (2021).
Borysiuk, P. et al. A study on the susceptibility of PLA biocomposites to drilling. Forests 13, 1–10 (2022).
Wang, J., Zhu, R., Liu, Y. & Zhang, L. Understanding melt pool characteristics in laser powder bed fusion: an overview of single- and multi-track melt pools for process optimization. Adv. Powder Mater. 2, (2023).
Shanmugam, V. et al. The mechanical testing and performance analysis of polymer-fibre composites prepared through the additive manufacturing. Polym. Test. 93, 106925 (2021).
Franz, G., Vantomme, P. & Hassan, M. H. A Review on Drilling of Multilayer Fiber-Reinforced Polymer Composites and Aluminum Stacks: Optimization of Strategies for Improving the Drilling Performance of Aerospace Assemblies. Fibers 10, (2022).
Sivaprasath, V. & Senthilkumar, N. Maximizing MRR during drilling PLA + CF biocomposite with Spade drill and comparing the results with twist drill using statistical approach. Mater. Today Proc. 69, 1242–1246 (2022).
Popescu, D., Gheorghe Amza, C., Marinescu, R. & Cristiana Iacob, M. & Luminiţa Căruţaşu, N. Investigations on factors affecting 3D-Printed holes dimensional accuracy and repeatability. Appl. Sci. 13, (2023).
Ross, N. S., Ananth, M. B. J., Jafferson, J. M., Rajeshkumar, L. & Kumar, M. S. Performance assessment of vegetable oil–based MQL in milling of additively manufactured AlSi10Mg for sustainable production. Biomass Convers. Biorefinery. https://doi.org/10.1007/s13399-022-02967-3 (2022).
Spitaels, L., Nieto Fuentes, E., Rivière-Lorphèvre, E., Arrazola, P. J. & Ducobu, F. A systematic method for assessing the machine performance of material extrusion printers. J. Manuf. Mater. Process. 8, (2024).
Stavropoulos, P., Tzimanis, K., Souflas, T. & Bikas, H. Knowledge-based manufacturability assessment for optimization of additive manufacturing processes based on automated feature recognition from CAD models. Int. J. Adv. Manuf. Technol. 122, 993–1007 (2022).
Huang, D. J. & Li, H. A machine learning guided investigation of quality repeatability in metal laser powder bed fusion additive manufacturing. Mater. Des. 203, 109606 (2021).
Pimenov, D. Y. et al. Resource saving by optimization and machining environments for sustainable manufacturing: A review and future prospects. Renew. Sustain. Energy Rev. 166, 112660 (2022).
Krishnakumar, P., Rameshkumar, K. & Ramachandran, K. I. Tool wear condition prediction using vibration signals in high speed machining (HSM) of titanium (Ti-6Al-4V) alloy. Procedia Comput. Sci. 50, 270–275 (2015).
Ross, N. S., Sivaraman, V., Ananth, M. B. J. & Jebaraj, M. Multi response optimization of dual jet CO2 + SQL in milling inconel 718. Mater. Manuf. Process. 38, 722–734 (2023).
Sahoo, S. K. & Goswami, S. S. A comprehensive review of multiple criteria Decision-Making (MCDM) methods: advancements, applications, and future directions. Decis. Mak. Adv. 1, 25–48 (2023).
Tamilselvan, S., Dhanalakshmi, G. & Balaji, D. Application-Based review of soft computational methods to enhance industrial practices abetted by the patent landscape analysis. Wiley Interdiscip Rev. Data Min. Knowl. Discov. https://doi.org/10.1002/widm.1564 (2024).
Danielson, M. & Ekenberg, L. Comparing Cardinal and Ordinal Ranking in MCDM Methods. in Multicriteria and Optimization Models for Risk, Reliability, and Maintenance Decision Analysis. (ed. de Almeida, A.T., Ekenberg, L., Scarf, P., Zio, E., & Zuo, M. J.) (Springer).
Danielson, M. & Ekenberg, L. Innovation for Systems Information and Decision. In Innovation for Systems Information and Decision (Springer Nature Singapore, 2021).
Chergui, Z. & Jiménez-Martín, A. On ordinal Information-Based weighting methods and comparison analyses. Information 15, 527 (2024).
Chakraborty, S. & Chakraborty, S. A scoping review on the applications of MCDM techniques for parametric optimization of machining processes. Arch. Comput. Methods Eng. 29, 4165–4186 (2022).
Priyadharshini, M. et al. Fiber reinforced composite manufacturing with the aid of artificial Intelligence – A State-of-the-Art review. Arch. Comput. Methods Eng. 29, 5511–5524 (2022).
Saluja, R. S., Mathew, M. & Singh, V. Improved proximity indexed value MCDM method for solving the rank reversal problem: A Simulation-Based approach. Arab. J. Sci. Eng. 48, 11679–11694 (2023).
Mufazzal, S., Khan, N. Z., Muzakkir, S. M., Siddiquee, A. N. & Khan, Z. A. A new fuzzy multi-criteria decision-making method based on proximity index value. J. Ind. Prod. Eng. 39, 42–58 (2021).
Zhang, X., Tnay, G. L., Liu, K. & Kumar, A. S. Effect of apex offset inconsistency on hole straightness deviation in deep hole gun drilling of inconel 718. Int. J. Mach. Tools Manuf. 125, 123–132 (2018).
Verma, R. K., Singh, V. K., Singh, D. K. & Kharwar, P. K. Experimental investigation on surface roughness and circularity error during drilling of polymer nanocomposites. Mater. Today Proc. 44, 2501–2506 (2021).
Fernandez-Vidal, S. R., Fernandez-Vidal, S., Batista, M. & Salguero, J. Tool wear mechanism in cutting of stack CFRP/UNS A97075. Mater. (Basel) 11, (2018).
KARTAL, F. & KAPTAN, A. Influence of abrasive water jet turning operating parameters on surface roughness of abs and Pla 3D printed parts materials. Int. J. 3D Print. Technol. Digit. Ind. 7, 184–190 (2023).
Gupta, M. K. et al. Tribological and surface morphological characteristics of titanium alloys: a review. Arch. Civ. Mech. Eng. 22, (2022).
Sivalingam, V. et al. Identification of tool wear and surface morphology measurements in sustainable milling of al 6082 hybrid metal matrix composite. J. Mater. Res. Technol. 27, 7570–7581 (2023).
El Mehtedi, M., Buonadonna, P., El Mohtadi, R., Aymerich, F. & Carta, M. Surface quality related to machining parameters in 3D-printed PETG components. Procedia Comput. Sci. 232, 1212–1221 (2024).
Cloëz, L. et al. Machinabilty of PLA obtained by injection molding under a dry milling process. (2024).
Shekhar, N. & Mondal, A. Synthesis, properties, environmental degradation, processing, and applications of polylactic acid (PLA): an overview. Polym. Bull. 81, 11421–11457 (2024).
Lotfi, A., Li, H. & Dao, D. V. Analytical and experimental investigation of the parameters in drilling flax/poly(lactic acid) bio-composite laminates. Int. J. Adv. Manuf. Technol. 109, 503–521 (2020).
Duc Trung, D. A combination method for multi-criteria decision making problem in turning process. Manuf. Rev. 8, (2021).
Jurkovic, Z., Cukor, G., Brezocnik, M. & Brajkovic, T. A comparison of machine learning methods for cutting parameters prediction in high speed turning process. J. Intell. Manuf. 29, 1683–1693 (2018).
Ross, N. S. et al. Carbon emissions and overall sustainability assessment in eco-friendly machining of Monel-400 alloy. Sustain. Mater. Technol. 37, (2023).
Mia, M. et al. Prediction and optimization of surface roughness in minimum quantity coolant lubrication applied turning of high hardness steel. 118, 43–51 (2018).
Ross, N. S. et al. Enhancing surface quality and tool life in SLM-machined components with Dual-MQL approach. J. Mater. Res. Technol. 31, 1837–1852 (2024).
Ross, N. S., Sheeba, P. T., Jebaraj, M. & Stephen, H. Milling performance assessment of Ti-6Al-4V under CO2 cooling utilizing coated AlCrN/TiAlN insert. Mater. Manuf. Process. 37, 327–341 (2022).
Danish, M. et al. Machine learning models for prediction and classification of tool wear in sustainable milling of additively manufactured 316 stainless steel. Results Eng. 22, 102015 (2024).
Acknowledgements
This article was co-funded by the European Union under the REFRESH – Research Excellence For Region Sustainability and High-tech Industries project number CZ.10.03.01/00/22_003/0000048 via the Operational Programme Just Transition.
Author information
Authors and Affiliations
Contributions
K.S., M.G., R.B. and R.J.H.N wrote the main manuscript. M.A.K., M.S.K., and L.R. performed the analysis of results. J.A.J.S. and P.M. revised and edited the manuscript. J.P. and C.R. reviewed the manuscript and were involved in fund acquisition.
Corresponding author
Ethics declarations
Competing interests
The authors declare no competing interests.
Conflict of interest
The authors declare that there is no conflict of interest.
Additional information
Publisher’s note
Springer Nature remains neutral with regard to jurisdictional claims in published maps and institutional affiliations.
Rights and permissions
Open Access This article is licensed under a Creative Commons Attribution-NonCommercial-NoDerivatives 4.0 International License, which permits any non-commercial use, sharing, distribution and reproduction in any medium or format, as long as you give appropriate credit to the original author(s) and the source, provide a link to the Creative Commons licence, and indicate if you modified the licensed material. You do not have permission under this licence to share adapted material derived from this article or parts of it. The images or other third party material in this article are included in the article’s Creative Commons licence, unless indicated otherwise in a credit line to the material. If material is not included in the article’s Creative Commons licence and your intended use is not permitted by statutory regulation or exceeds the permitted use, you will need to obtain permission directly from the copyright holder. To view a copy of this licence, visit http://creativecommons.org/licenses/by-nc-nd/4.0/.
About this article
Cite this article
Shunmugesh, K., Ganesh, M., Bhavani, R. et al. Enhancing drilling performance in 3D printed PLA implants application of PIV and ML models. Sci Rep 15, 13314 (2025). https://doi.org/10.1038/s41598-025-96126-z
Received:
Accepted:
Published:
Version of record:
DOI: https://doi.org/10.1038/s41598-025-96126-z
Keywords
This article is cited by
-
Maximizing material removal rate and surface smoothness in MEX parts through turning process optimization using BBD
Progress in Additive Manufacturing (2025)





















