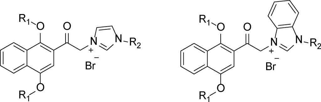
Table 1 Structure–activity relationship (SAR) of NAIMS (3a—3 h).
R1 | R2 | IC50 Viabilitya (µM) | Inhibition of PCNA expressionb (%) | |
|---|---|---|---|---|
3a | Isoamyl | Me | 13.7 ± 2.4 | 30.0 ± 1.9 |
3b | Isoamyl | Isoamyl | 10.1 ± 3.1 | 40.0 ± 2.0 |
3c | Isoamyl | Bn | 15.0 ± 0.8 | 71.7 ± 2.9 |
3d | Isoamyl | Me | 13.9 ± 0.7 | 51.6 ± 1.4 |
3e | Isoamyl | Bn | 14.8 ± 2.1 | 0 ± 3.3 |
3f. | Me | Isoamyl | 17.0 ± 1.9 | 0 ± 2.8 |
3g | i-Pr | Isoamyl | 12.9 ± 1.8 | 29.3 ± 4.3 |
3h | n-Octyl | Isoamyl | 14.3 ± 1.1 | 51.7 ± 5.4 |
