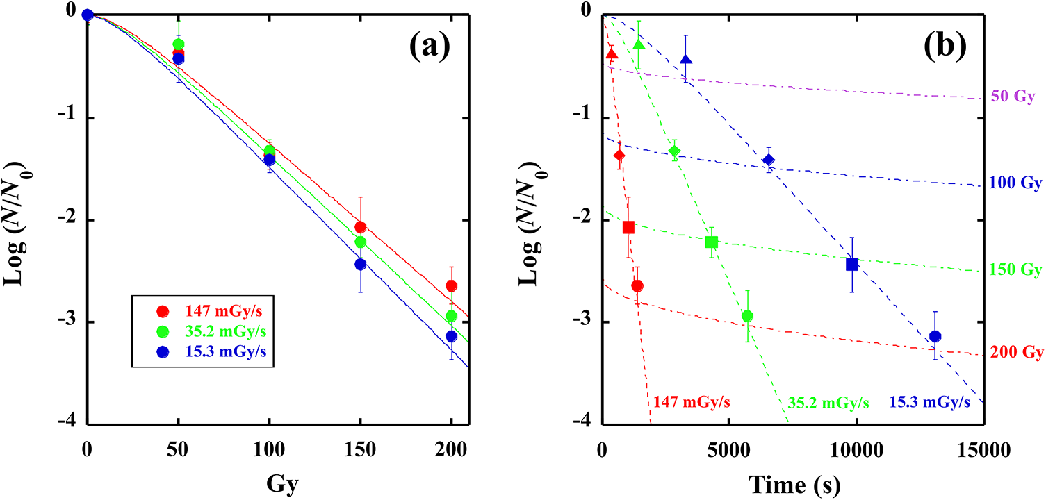
Fig. 1
From: Time-dose reciprocity mechanism for the inactivation of Escherichia coli using X-ray irradiation

(a) Inactivation ratio of E. coli O1 in the stationary phase as a function of dose for dose rates of 147 mGy/s (red circles), 35.2 mGy/s (green circles), and 15.3 mGy/s (blue circles). Solid lines represent theoretical fits obtained using the stochastic model with parameters: \(\small {{\Gamma }}_{0}=3.3\times {10}^{-2}\)(Gy−1), \(\small {{\Gamma }}_{1}=1.0\times {10}^{-3}\) (Gy−1/2s−1/2), and \(\small {{\Gamma }}_{2}=0\) (s−1). (b) Inactivation ratio as a function of irradiation duration. Red, green, and blue markers indicate inactivation ratios for dose rates of 147 mGy/s, 35.2 mGy/s, and 15.3 mGy/s, respectively. Solid triangles, rhombuses, squares, and circles denote results for doses of 50 Gy, 100 Gy, 150 Gy, and 200 Gy, respectively. Broken lines represent theoretical curves as a function of irradiation duration derived from Eq. (11) for P = 147 mGy/s (red), 35.2 mGy/s (green), and 15.3 mGy/s (blue). Dotted-dash lines represent theoretical curves for D = 50 Gy (purple), 100 Gy (blue), 150 Gy (green), and 200 Gy (red). Intersections between broken lines and dotted-dash lines correspond to the theoretically evaluated inactivation ratios.