Figure 4

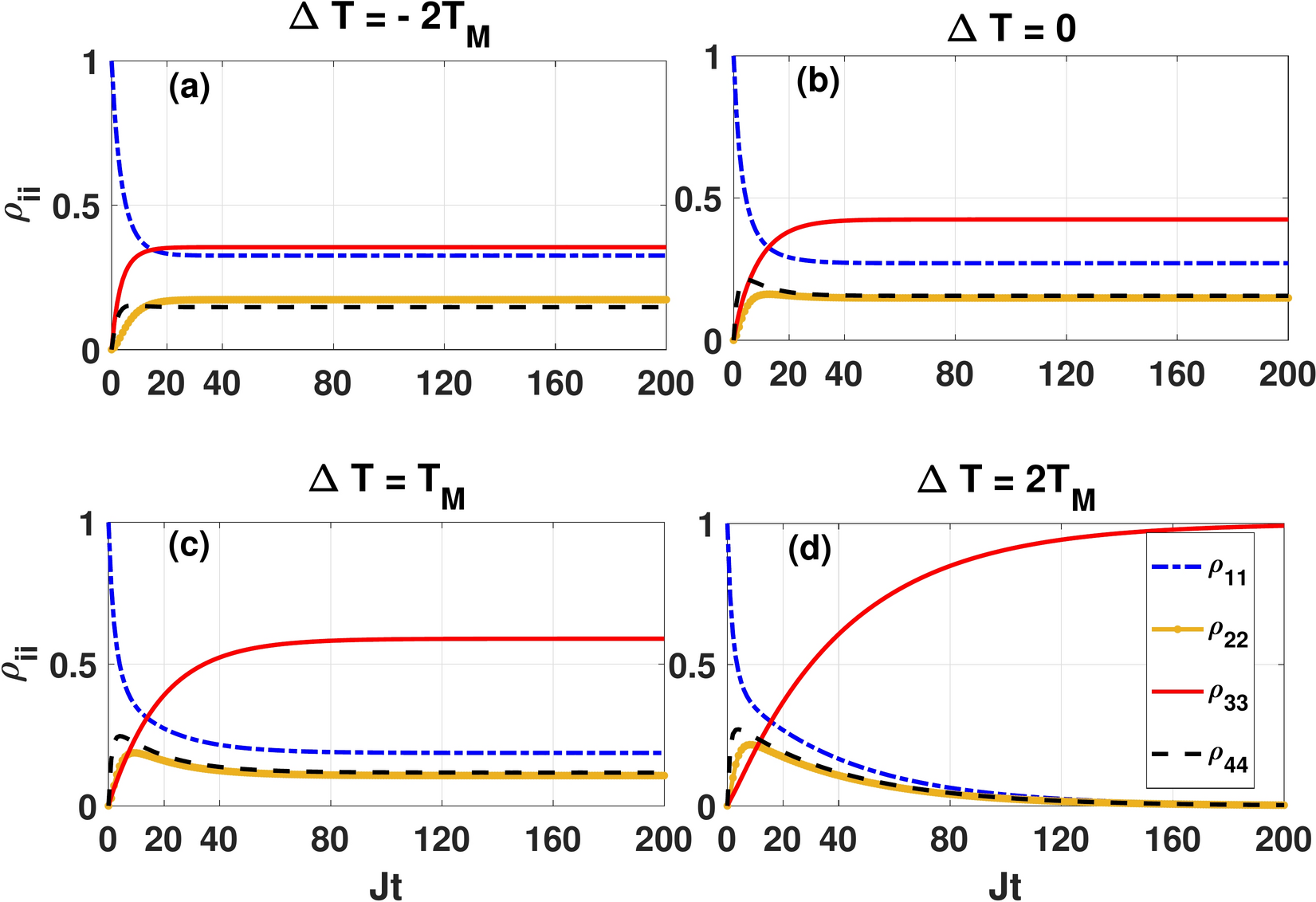
Dynamics of the eigenstates populations as a functions of the dimensionless quantity Jt for different values of \(\Delta T\) by setting \(\kappa =0.05J\), \(B_0=0.6 J\), \(\Delta =0.5 J\) and \(T_M=2J\). The plots correspond to the asymmetric coupling configuration (\(\varepsilon =1\)), and the initial state is \(|\Phi _1\rangle =|00\rangle\).