Fig. 3
From: Assessment of hydrogen vehicle fuel economy using MRAC based on deep learning

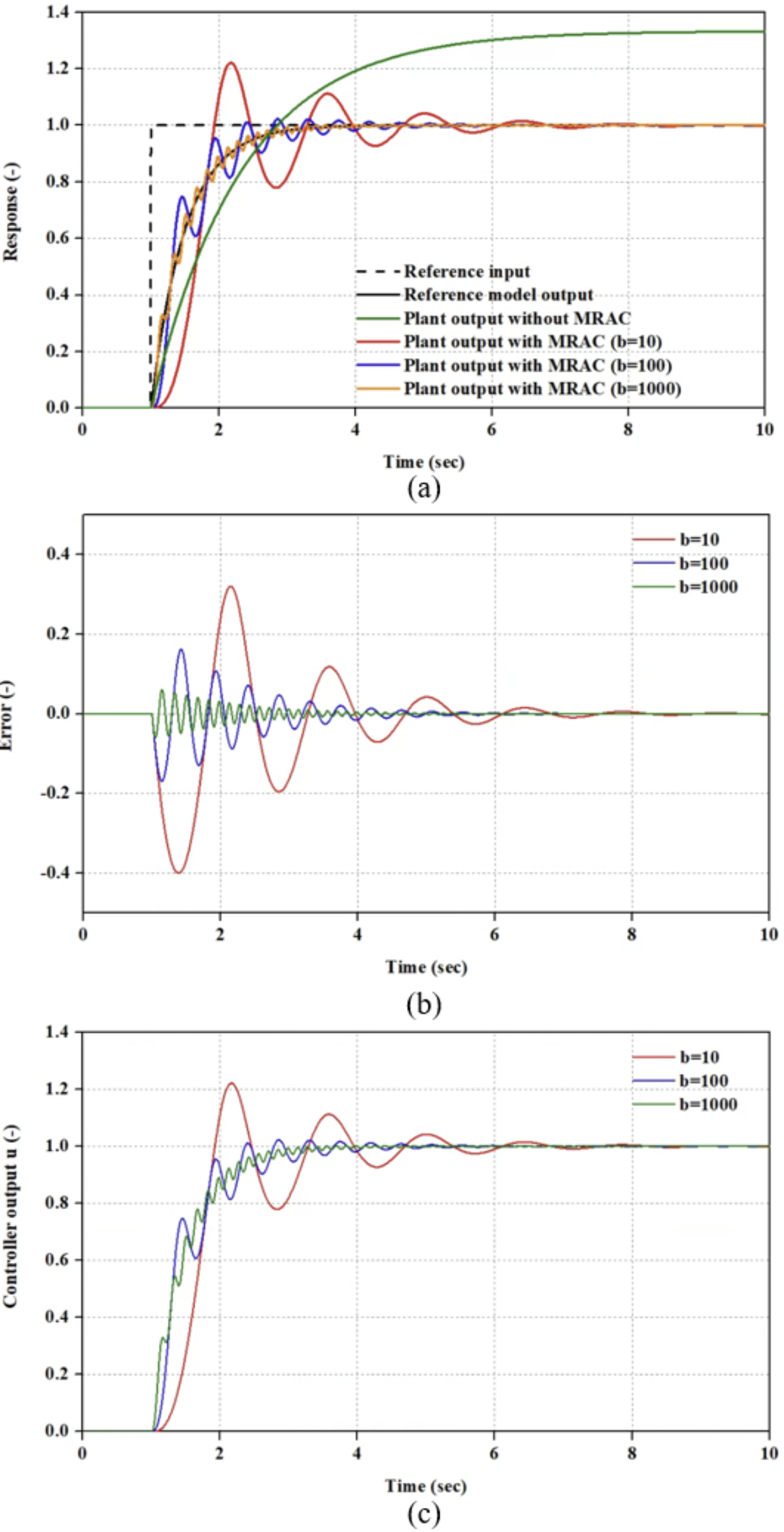
MRAC basic test ((a)—Overall output, (b)—Error, (c)—Controller output).
From: Assessment of hydrogen vehicle fuel economy using MRAC based on deep learning

MRAC basic test ((a)—Overall output, (b)—Error, (c)—Controller output).