Fig. 9
From: Assessment of hydrogen vehicle fuel economy using MRAC based on deep learning

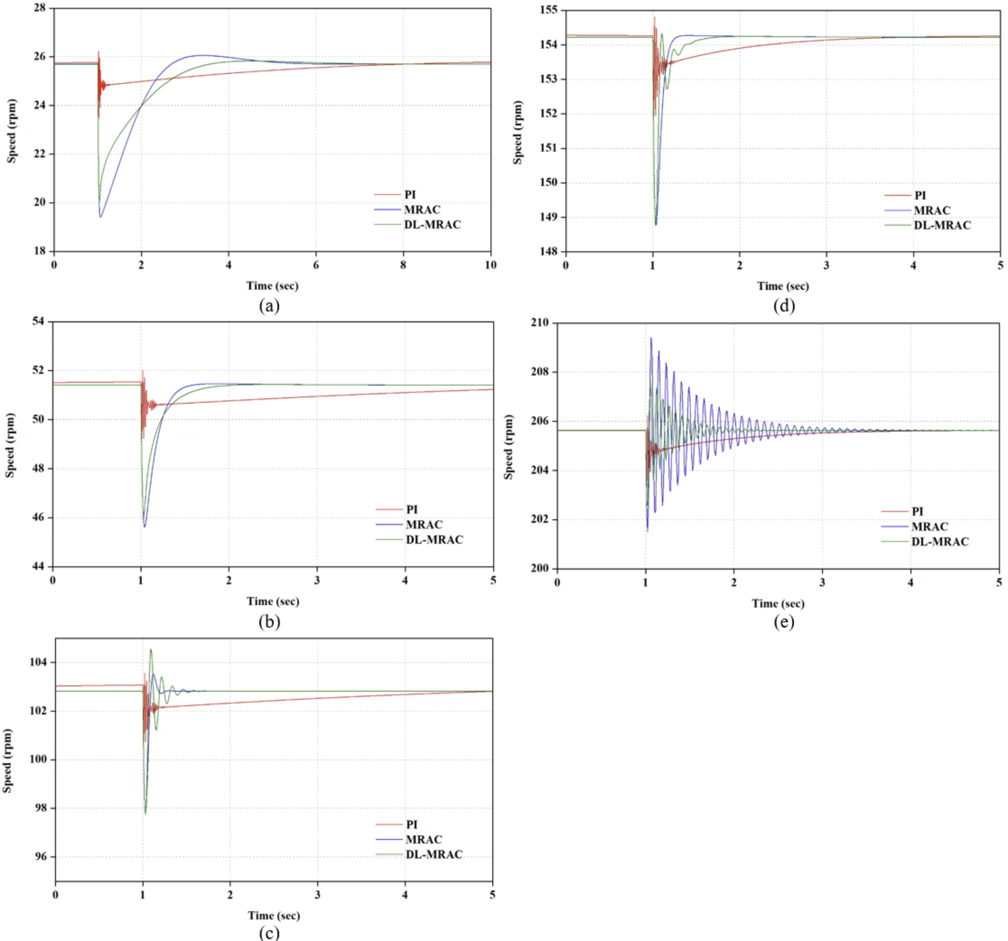
Disturbance response of motor by reference speed ((a)—5 km/h, (b)—10 km/h, (c)—20 km/h, (d)—30 km/h, (e)—40 km/h).
From: Assessment of hydrogen vehicle fuel economy using MRAC based on deep learning

Disturbance response of motor by reference speed ((a)—5 km/h, (b)—10 km/h, (c)—20 km/h, (d)—30 km/h, (e)—40 km/h).