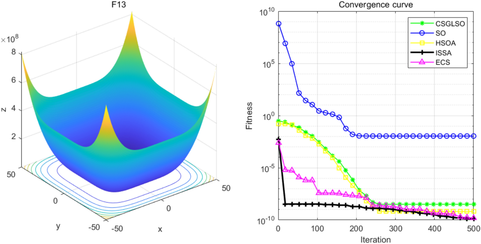
Fig. 7
From: A UAV path planning algorithm for bridge construction safety inspection in complex terrain




Convergence curve of the function.
From: A UAV path planning algorithm for bridge construction safety inspection in complex terrain




Convergence curve of the function.