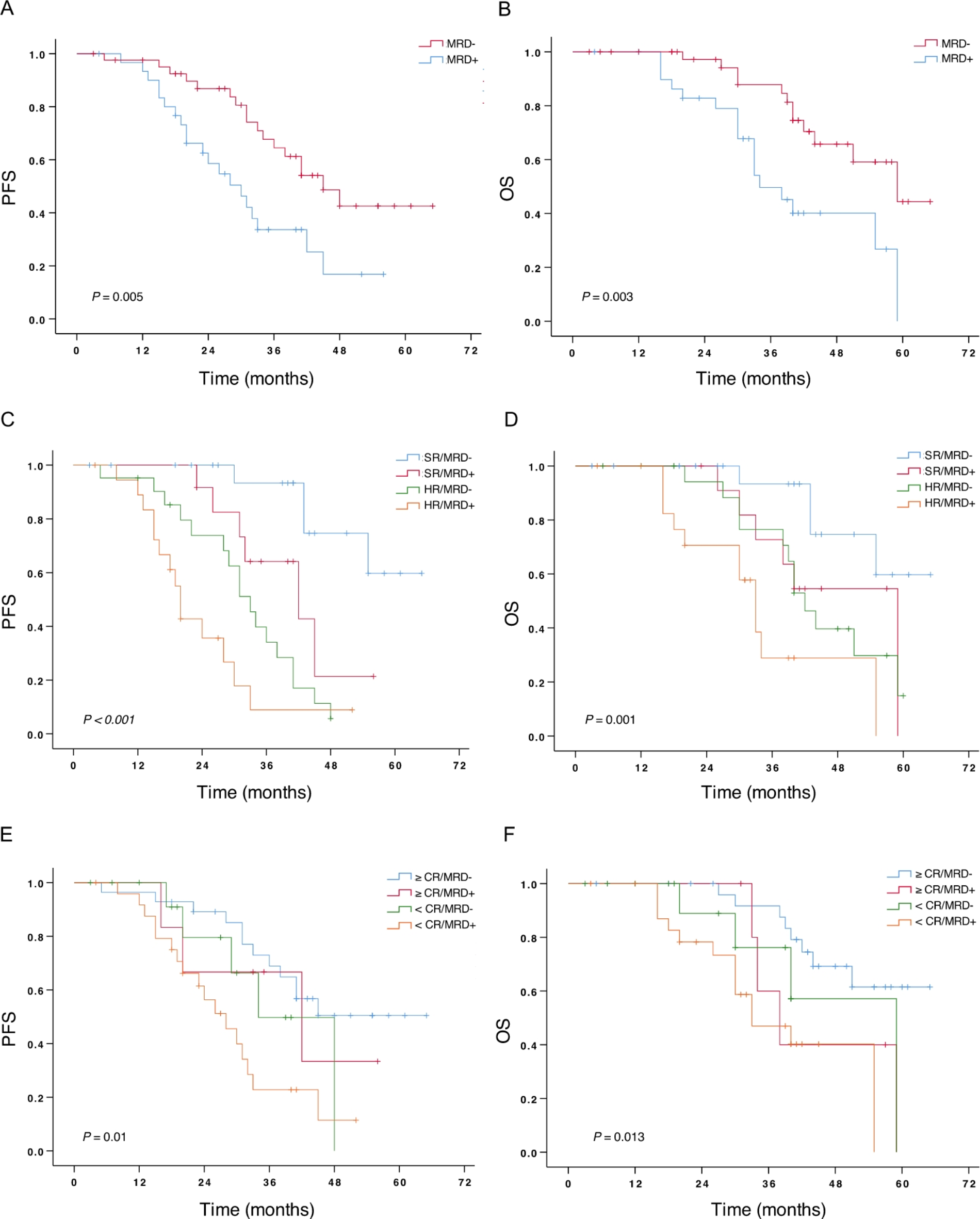
Fig. 3

Subgroup analyses on the survival of MM patients. A, B The median PFS (A) and OS (B) in MM patients divided by the MRD status. (C, D) The median PFS (C) and OS (D) in MM patients divided by the cytogenetic risk stratification combined with the MRD status. (E, F) The median PFS (E) and OS (F) in MM patients divided by the clinical response combined with the MRD status.