Fig. 21

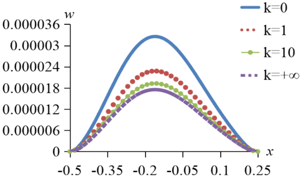
Comparing the results with k = 0, k = 1, k = 10, and k =  + ∞, for a function count m = 10 and a grid size of n = 12.

Comparing the results with k = 0, k = 1, k = 10, and k =  + ∞, for a function count m = 10 and a grid size of n = 12.