Fig. 7

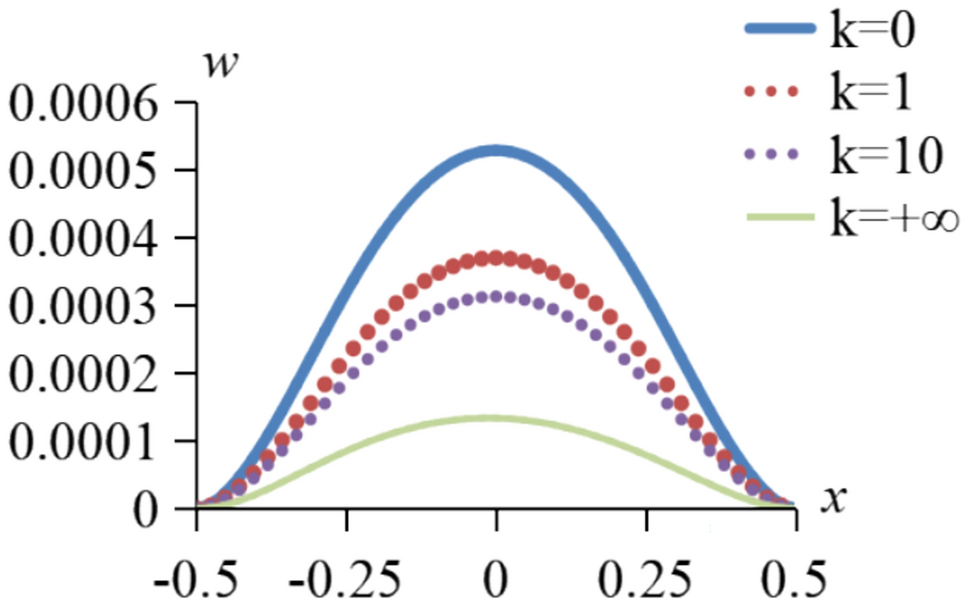
Compare the results with k = 0, k = 1, k = 10 and k =  + ∞, for a function count m = 10 and a grid size of \(40 \times 40\).

Compare the results with k = 0, k = 1, k = 10 and k =  + ∞, for a function count m = 10 and a grid size of \(40 \times 40\).