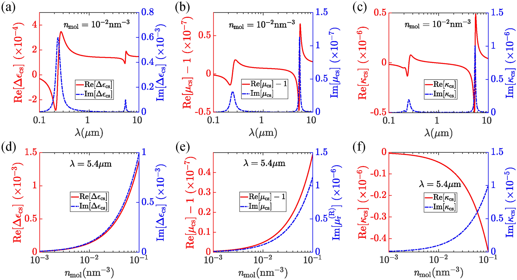
Fig. 4
From: Vibrational circular dichroism of plasmonic nanostructures embedding chiral drugs

Dependence of (a,d) RDP correction \(\Delta \epsilon _{\textrm{r}}\), (b,e) RMP correction \(\Delta \mu _{\textrm{r}} -1\), and (c,f) CP \(\kappa\) of pure R enantiomers of solvated Ladarixin over (a-c) the vacuum wavelength \(\lambda\) for fixed molecular number density \(n_{\textrm{mol}}=10^{-2} \textrm{nm}^{-3}\), and (d-f) \(n_{\textrm{mol}}\) for fixed \(\lambda = 5.4\) \(\mathrm{\mu m}\).