Fig. 5
From: Vibrational circular dichroism of plasmonic nanostructures embedding chiral drugs

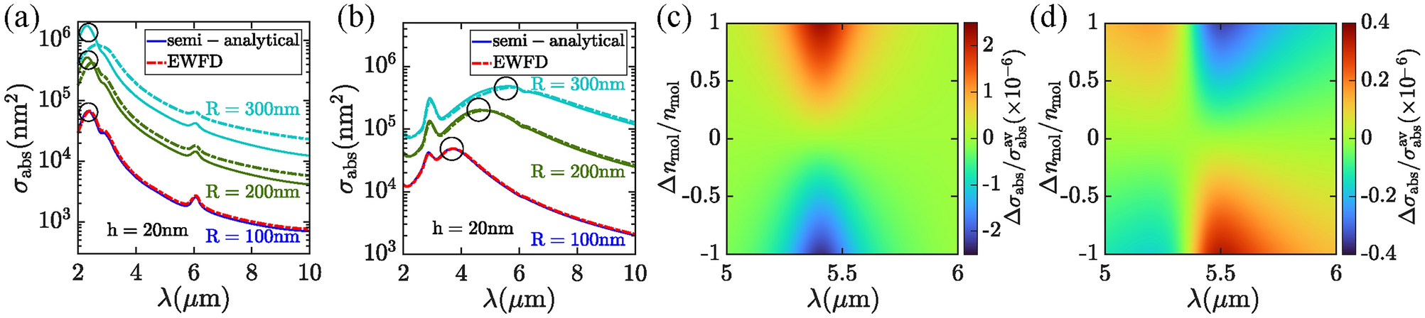
(a,b) Dependence of the absorption cross-section \(\sigma _{\textrm{abs}}(\lambda )\), upon right circular polarisation excitation [\(\sigma _{\textrm{abs}}^{(s=+1)}(\lambda )\)], over the vacuum wavelength \(\lambda\) of (a) Type-1, see Fig. 1(a), and (b) Type-2, see Fig. 1(b), plasmonic nanoshells/nanospheres embedding/embedded in pure R aqueous Ladarixin for fixed thickness \(h = 20\) nm and molecular number density \(n_{\textrm{mol}}^{(\mathrm R)}=10^{-2} \textrm{nm}^{-3}\), and several distinct radii \(R=100,200,300\) nm. (c,d) Dependence of the relative VCDDA \(\Delta \sigma _{\textrm{abs}}/\sigma _{\textrm{abs}}^\mathrm{(av)}\), where \(\Delta \sigma _{\textrm{abs}} = [\sigma _\textrm{abs}^{(s=+1)}-\sigma _{\textrm{abs}}^{(s=-1)}]\) and \(\sigma _{\textrm{abs}}^{\mathrm{(av)}} = \frac{1}{2} [\sigma _{\textrm{abs}}^{(s=+1)}+\sigma _{\textrm{abs}}^{(s=-1)}]\) over \(\lambda\) and relative enantiomeric imbalance \(\Delta n_{\textrm{mol}}/ n_{\textrm{mol}}\), where \(\Delta n_{\textrm{mol}} = n_{\textrm{mol}}^{\mathrm{(S)}}- n_{\textrm{mol}}^{\mathrm{(R)}}\) and \(n_{\textrm{mol}} = n_{\textrm{mol}}^{\mathrm{(S)}} + n_{\textrm{mol}}^{\mathrm{(R)}}\) for (c) Type-1, see Fig. 1(a), and (d) Type-2, see Fig. 1(b), plasmonic nanoshells/nanospheres embedding/embedded in pure R aqueous Ladarixin with fixed radius \(R = 100\) nm and thickness \(h=20\) nm. Black circles indicate SP-resonances of the considered AZO-based nanostructures.