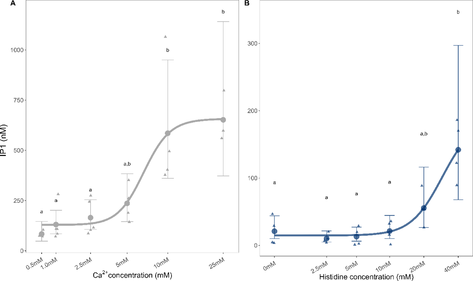
Fig. 2

Level of IP1 accumulation as a result of Gq activation by (A) Ca2+ and (B) histidine (L-His). The concentration-response curve of Ca2+ ranged from 0.5 to 25 mM and for L-His ranged from 2.5 to 40 mM with no baseline Ca2+ present. The IP1 levels were measured in asCasr-Flp-In-HEK293 cells using a HTRF IP-One assay and a Tecan Spark plate reader for (B) and a Hidex Sense Plate reader for (A). Data are presented as the estimated mean (dots/line) and the 95% confidence intervals (error bars). Raw data for Ca2+ comes from three-to-five independent experiments performed in triplicate, and for L-His it comes from four independent experiments performed in triplicate. Significant differences from the basal ligand buffer (represented by 0 mM) and between different L-His concentrations were determined using a general linear model with a gamma distribution (log-link function) followed by Tukey’s post hoc HSD test. Different letters indicate statistically significant differences (p < 0.05). For more details, see Supplementary Table S1.