Abstract
In mammals, the calcium-sensing receptor (CaSR) is involved in nutrient sensing and modulated by several amino acids. In teleosts, sequence homologues of the mammalian CaSR have been described but their function in sensing amino acids remains elusive, including in Atlantic salmon (Salmo salar), an important aquaculture species. This study investigated the activation of Atlantic salmon Casr (asCasr)-mediated signaling pathways—Gq, Gi, and ERK1/2—by six selected L-amino acids (histidine, tryptophan, phenylalanine, isoleucine, leucine and valine) and by Ca2+. Using a Flp-In-HEK293 cell line stably expressing asCasr, we confirmed activation of all three pathways. L-histidine, L-phenylalanine, and L-tryptophan triggered Gi signaling independent of Ca²⁺. Notably, no Ca²⁺ concentrations induced Gi activation, but IP1 production increased in a concentration-dependent manner. L-histidine was the only amino acid to activate the Gq pathway without Ca²⁺, and this response was amplified by the presence of Ca²⁺. In the presence of 2.5 mM Ca²⁺, L-phenylalanine and L-tryptophan also activated Gq signaling in a concentration-dependent manner. Additionally, in the presence of 10 mM Ca²⁺, L-histidine, L-phenylalanine, and L-tryptophan triggered ERK phosphorylation. These findings establish asCasr as a functional homologue of mammalian CaSR, activated in a concentration-dependent manner by L-amino acids with an aromatic ring.
Similar content being viewed by others
Introduction
The extracellular calcium-sensing receptor (CaSR) is a member of the class C family of G protein-coupled receptors (GPCRs) and is known for its essential role in regulating serum calcium homeostasis (reviewed in, for e.g.,1,2). However, CaSR is a promiscuous receptor, and is activated or modulated by calcium but also by other ligands including L-amino acids (reviewed in2,3,4). The sensing of L-amino acids is vital for activating an appropriate physiological response in whole body protein and amino acid metabolism. In the gastrointestinal tract, amino acids sensing is involved in processes such as the regulation of gastric acid and pancreatic enzyme release (reviewed in5,6). In the mammalian intestinal tract, the CaSR is widely expressed in the enteroendocrine I-, K-, and L-7,8cells, where it functions as an L-amino acid sensor. The mammalian CaSR is particularly responsive to aromatic L-amino acids such as phenylalanine (L-Phe) and tryptophan (L-Trp), followed by histidine (L-His) in terms of efficacy9, and in terms of potency in regulating parathyroid hormone secretion10. On the other hand, branched chain amino acids (BCAAs), i.e., valine (L-Val), isoleucine (L-Ile) and leucine (L-Leu), are not effective in modulating the CaSR9. In response to specific L-amino acids, the CaSR mediates secretion of regulatory peptide hormones in the gastrointestinal tract, such as cholecystokinin (CCK)8,11,12,13, gastrin14, glucose-dependent insulinotropic peptide (GIP), glucagon-like peptide- 1 (GLP- 1), and peptide YY (PYY) secretion7,12.
The CaSR mediated regulatory peptide hormone secretion is modulated by its downstream intracellular signaling molecules. These include the activation of Gq which results in phospholipase C (PLC) mediated Ca2+ mobilization from intracellular stores, the activation of Gi which inhibits adenylyl cyclase activity and suppresses cAMP synthesis, and the phosphorylation of several important intracellular protein kinases including the extracellular signal-regulated kinase 1/2 (ERK1/2) and protein kinase C (PKC) (reviewed in15). However, the molecular mechanisms involved in the activation of these signaling pathways are not fully understood and are thought to be cell-type-specific, dependent on the G protein type and enzyme expression16,17.
Despite the importance of the mechanisms sensing amino acids in the gastrointestinal tract, in teleost fish species the receptors involved in these processes are elusive, as are the mechanisms by which they sense amino acids. This includes the well-studied Atlantic salmon (Salmo salar), a major aquaculture species with substantial economic value and where the cost of feed represents a major share of the production expenses18,19. Thus, it is surprising that there is not more research on gastrointestinal tract nutrient sensing in farmed species, where such mechanisms are important for the regulation of gastrointestinal function, satiety, and energy homeostasis. Three casr transcripts have been identified in the Atlantic salmon20,21, casr1, casr2 and casr3. At the predicted amino acid sequence level, Atlantic salmon Casr1 and Casr2 share 99.9% identity (only one amino acid residue differs, D257G), while Casr3 shares 89% identity with Casr1 and Casr2, and it is truncated, missing 91 amino acids in the C-terminus, and is suggested to be inactive (see Jury et al.21, for details on the three Atlantic salmon Casr sequences). Expression analysis by RT-PCR revealed the presence of casr transcripts in the gill, olfactory lamellae, urinary bladder, kidney, intestine, stomach, and brain of Atlantic salmon21. Furthermore, the mRNA expression of casr in the Atlantic salmon is modulated by salinity, and it has been suggested that the olfactory response to changes in Na+, Ca2+ and Mg2+concentrations occurs via Casr, indicating its involvement in osmoregulation21.
In the present study, we developed a robust method to conduct the pharmacological characterization of the Atlantic salmon Casr1 (herein named asCasr), as a first step towards an in vitro assay for testing the suitability of dietary ingredients. For validation, Ca2+ as well as 3 amino acids (L-Trp, L-Phe and L-His) known to activate the mammalian CaSR and 3 amino acids (the BCAAs, L-Ile, L-Leu and L-Val) known to have little or no effect in modulating this receptor were tested. Because CaSR-mediated signaling is ligand-dependent, we aimed to identify which signaling pathways were modulated by asCasr in response to the selected L-amino acids and Ca2+.
Results
Expression of Atlantic salmon Casr in Flp-In-HEK293 cell line
A stable asCasr-Flp-In-HEK293 cell line was generated, and mRNA expression of the receptor was verified by RT-PCR (Fig. 1A). In addition, since the cell surface expression of the receptor is essential for its activity, the asCasr localization in the cell was confirmed by immunofluorescence using an anti-c-Myc antibody (Fig. 1B).
Assessment of stable asCasr-Flp-In-HEK293 cell line. (A) Agarose gel of RT-PCR amplicons performed on total RNA extracted from the asCasr-Flp-In-HEK293 and CAT-Flp-In-HEK293 cell lines. PCR products were detected using specific primers for the ubiquitously, and endogenously expressed Gapdh and the Atlantic salmon casr1 gene (please refer to Supplementary Figure S1). (B) Immunofluorescent staining of Myc-tagged asCasr protein at the plasma membrane of Flp-In-HEK293 cell (asCasr panel) and pcDNA5/FRT/V5-His/CAT used as a control for pcDNA5/ssCaSR1 (CAT panel). Upper panel: cells were incubated with mouse anti-myc tag antibody followed by staining with Alexa Fluor Plus 488. Lower panel: cells were counterstained with Hoechst 33342. Magnification 10x for left and middle panels of B, and 40x for the right panel.
Gq signaling pathway activation
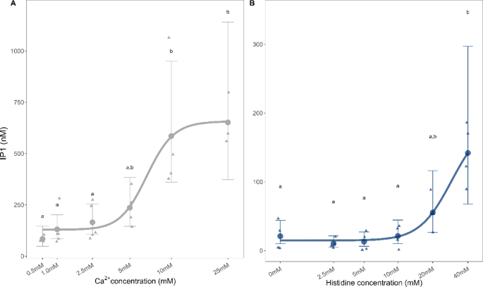
Ca2+, L-amino acids without the presence of Ca2+, and in the presence of 2.5 mM of Ca2+ were tested for their ability to activate the Gq pathway in the asCasr-Flp-In-HEK293 cell line. A significant increase in inositol monophosphate (IP1) concentration was seen in asCasr-Flp-In-HEK293 for Ca2+ in a concentration-dependent manner (Fig. 2A and Supplementary Table S1). Additionally, L-His concentration in the absence of Ca2+ also resulted in an increase in IP1 production, which was statistically significant for the higher concentrations used, i.e., 40 mM (Fig. 2 and Supplementary Table S1). However, L-His was the only L-amino acid to increase IP1 concentration in the absence of Ca2+ (Supplementary Fig. S2). When testing L-His in the presence of different concentrations of Ca2+ (ranging from 0.5 to 25 mM), a concentration-dependent response was observed for the Gq pathway (Supplementary Fig. S3). However, the highest concentration of Ca2+ tested, 25 mM, resulted in the opposite trend indicating basically an overload of the system.
Level of IP1 accumulation as a result of Gq activation by (A) Ca2+ and (B) histidine (L-His). The concentration-response curve of Ca2+ ranged from 0.5 to 25 mM and for L-His ranged from 2.5 to 40 mM with no baseline Ca2+ present. The IP1 levels were measured in asCasr-Flp-In-HEK293 cells using a HTRF IP-One assay and a Tecan Spark plate reader for (B) and a Hidex Sense Plate reader for (A). Data are presented as the estimated mean (dots/line) and the 95% confidence intervals (error bars). Raw data for Ca2+ comes from three-to-five independent experiments performed in triplicate, and for L-His it comes from four independent experiments performed in triplicate. Significant differences from the basal ligand buffer (represented by 0 mM) and between different L-His concentrations were determined using a general linear model with a gamma distribution (log-link function) followed by Tukey’s post hoc HSD test. Different letters indicate statistically significant differences (p < 0.05). For more details, see Supplementary Table S1.
Based on the Ca2+ concentration-response curve, and the L-His concentration-response curves at different Ca2+ concentrations, we analyzed the effect of all six L-amino acids in the presence of 2.5 mM of Ca2+, a submaximal concentration that was below the maximum possible effect and avoided potential saturation or desensitization of the system. Results showed that L-His, L-Phe and L-Trp in the presence of 2.5 mM of Ca2+ significantly affected the IP1 concentration (Fig. 3, Supplementary Table 1). L-His exerted effects on the IP1 concentration from 10 mM and both L-Phe and L-Trp at 20 mM.
Level of IP1 accumulation as a result of Gq activation by L-amino acids (concentrations ranging from 0.5 mM to 40 mM, except for L-Trp) in the presence of 2.5 mM of Ca2+. The effect of the highest amino acid concentration was also tested under baseline Ca²⁺ conditions (represented in orange). IP1 levels were measured in asCasr-Flp-In-HEK293 cells using a HTRF IP-One assay. Data are presented as the estimated mean (dots and lines) and the 95% confidence intervals (error bars), with the raw data of three independent experiments performed in triplicate. Significant differences were determined using a general linear model with a gamma distribution (log-link function) followed by Tukey’s post hoc HSD test. Different letters indicate statistically significant differences (p < 0.05). For more details, see Supplementary Table S1.
Gi signaling pathway activation
To measure the variation of cAMP levels as a result of asCasr activation by Ca2+ and L-amino acids, we first inhibited adenyl cyclase by adding Ca2+ (concentrations ranging from 0.5 to 25 mM) or L-amino acids (concentrations ranging from 2.5 to 40 mM), and then added 2 µM of forskolin, a diterpene known to activate adenyl cyclase and produce cAMP. The results show that Ca2+ did not activate the Gi pathway (Supplementary Figure S4 A). Indeed, L-amino acids, particularly L-His, significantly inhibited cAMP levels in both the presence and absence of Ca2+ (Fig. 4). These results, in combination with the L-His concentration-response analyses (Supplementary Fig. S4B) reinforced the observation that Ca2+ did not influence the levels of cAMP via the Gi pathway. From the amino acids tested, L-His, L-Phe, and L-Trp significantly reduced the cAMP level in the asCasr-Flp-In-HEK293 cell line in a concentration-dependent manner (Fig. 4, Supplementary Table S2). In the presence of 2.5 mM of Ca2+, only L-His with 20 and 40 mM significantly reduced the cAMP level. The BCAAs, L-Leu, L-Ile, and L-Val, did not have a significant effect on cAMP levels at any of the concentrations tested independent of the presence or absence of Ca2+ (Fig. 4). The activation of the Gs pathway was also tested in the present of L-amino acids, but no increase in cAMP following the addition of the L-amino acids (data not shown) was observed.
Measurement of cAMP inhibition due to Gi activation. Responses to forskolin and histidine (L-His), phenylalanine (L-Phe), tryptophan (L-Trp), leucine (L-Leu), isoleucine (L-Ile) and valine (L-Val) in the absence of Ca2+ (A) and in the presence of 2.5 mM Ca2+ (B). The cAMP inhibition was measured in asCasr-Flp-In-HEK293 cells using a HTRF cAMP assay and a Tecan Spark plate reader for (A) and a Hidex Sense Plate reader for (B). Data were normalized to the cAMP production in response to 2 µM forskolin and are shown as the estimated mean (dots) and the 95% confidence intervals (error bars), with the raw data of three to four independent experiments performed in triplicate. Note that -Ca2+/40 mM was measured in the presence of baseline Ca2+. Significant differences from forskolin (2 µM) and between L-amino acid concentrations were determined using a GLM with gamma distribution (log-link function) followed by a Tukey’s post hoc HSD test. Different letters indicate groups that were significantly different (p < 0.05). For more details, see Supplementary Table S2.
ERK pathway activation
In the absence of Ca2+, none of the tested L-amino acids activated the ERK pathway (Fig. 5, Supplementary Fig. S5). Thus, to promote ERK pathway activation, 10 mM Ca2+ was added to the cell medium. This Ca²⁺ concentration was below the maximum, as higher concentrations, such as 50 mM, elicited a much stronger response. Among the amino acids tested, L-His, L-Phe and L-Trp, induced an increase in P-ERK levels in asCasr-Flp-In-HEK293 cells (Fig. 5, Supplementary Fig. S5 and Supplementary Table S3). In addition, the activation of the ERK pathway by L-His, L-Phe and L-Trp, was found to be concentration-dependent, i.e., the higher the concentration of each L-amino acid the higher the levels of P-ERK were detected (Fig. 5, Supplementary Table S3).
Measurements of ERK activation in asCasr-Flp-In-HEK293 cells after stimulation with histidine (L-His), phenylalanine (L-Phe) and tryptophan (L-Trp) in the presence of 10 mM of Ca2+. ERK activation was assessed using antibodies against phosphorylated ERK (P-ERK) and total ERK (T-ERK) after Western blotting. Quantification of the signal on Western blots was performed using the ImageJ program (https://imagej.net/ij/). The P-ERK1/2 response was normalized to the corresponding total ERK1/2 (T-ERK) response, and the P-ERK/T-ERK ratio was calculated as a measure of ERK activation. Data are shown as the estimated mean (dots) and 95% confidence intervals (error bars), with the raw data of three independent experiments. Significant differences from 10 mM Ca2+ (concentration necessary for receptor signaling activity) and from 40 mM of amino acid without the 10 mM Ca2+ and between different L-amino acid concentrations in the presence of 10 mM of Ca2+ were determined using a GLM with tweedie distribution (log-link function) followed by Tukey’s post hoc HSD test. Different letters indicate significant differences, and the “*” indicates significant differences between the two Ca2+ concentrations tested, p < 0.05 (see Supplementary Table S3 for more detailed information). Representative uncropped images of immunoblots are shown in Supplementary Fig. S5 A-F.
Discussion
Previous studies on Casr in fish have focused on identifying tissue distribution profiles, and their function as regulators of Ca2+ homeostasis and salinity sensors20,21,22,23,24,25. In Atlantic salmon, the mRNA and protein of the Casr receptor have been identified in tissues related to osmoregulatory, sensory and neuroendocrine functions, including in the gastrointestinal tract21. In addition, Jury et al.21 suggested that the location of casr on both the apical and basolateral membrane of the intestinal enterocytes indicates an involvement in amino acid sensing, a role that is well described in mammals (reviewed in, for e.g., 26,27,28). Supporting this notion is evidence from rainbow trout (Oncorhynchus mykiss) that expression of casr mRNA is modulated by amino acids, specifically L-proline, in the proximal intestine29. However, to test the hypothesis that asCasr also acts as an amino acid sensing receptor, it is necessary to know whether this receptor is functional and activated by amino acids.
In the present study, a Flp-In-HEK293 cell line that stably expresses the Atlantic salmon Casr was generated. The asCasr is a 7-transmembrane 941-amino acid long GPCR that shares conserved structural features with the human CaSR, including the residues linked to receptor binding and to signaling pathway activation. In addition, the asCasr has a truncated C-terminal region in common with other teleost fishes23,25. The asCars-Flp-In-HEK293 cell line was used to test the stimulation by L-amino acids of different intracellular signaling pathways; three of the amino acids chosen in this study are known to stimulate the mammalian CaSR, while the other three have little or no effect on receptor activation3,4,9,15. A major limitation when testing receptor activation, including the CaSR, in response to ligands like amino acids or divalent ions, is the presence of the latter in the composition of cell culture media. Establishing a successful stable asCasr-Flp-In-HEK293 cell line that constitutively expresses relatively high levels of the receptor in the plasma membrane circumvented the possible desensitization of the receptor by factors in the culture medium and the need for extensive prewashing of cells30, as has previously been demonstrated for other GPCRs by Jacobsen et al.31.
Here we investigated to what extent the six selected L-amino acids promoted the activation of asCasr-mediated signaling pathways; Gq signaling, Gi signaling, and ERK1/2, which are known mammalian CaSR-mediated pathways32. We confirmed that asCasr activates all three pathways in the asCasr-Flp-In-HEK293 cell line. When analyzing the Gi pathway, where the Gi protein inhibits the enzymatic activity of adenylate cyclase (responsible for the conversion of ATP into the second-messenger cAMP) and results in decreasing levels of cAMP33, the three amino acids, L-His, L-Phe, and L-Trp, caused a decline in the cAMP accumulation, independent of the presence of Ca2+. None of the tested Ca2+ concentrations induced a response in the Gi signaling pathway, contrary to what has been shown for the mammalian CaSR15,34. On the other hand, the addition of Ca2+ resulted in a concentration-dependent increase of IP1, as reported for the mammalian CaSR35. Of the tested amino acids, only L-His triggered a response in asCasr-Flp-In-HEK293 cells when testing the Gq signaling pathway in the absence of Ca2+. However, in the presence of 2.5 mM of Ca2+, the response of L-His was enhanced, and L-Phe and L-Trp also activated the Gq pathway in a concentration-dependent manner. This was evident from the increase of IP1 production36,37. Conigrave et al.9 has shown that the amino acid-dependent effects on the intracellular Ca2+ (Ca2+i) mobilization in HEK- 293 cells stably transfected with the human CaSR were observed only when using Ca2+ levels above 1.0 mM. Amino acids alone seem to be unable to activate the mammalian CaSR, but they can promote receptor activation in the presence of Ca2+. This means that amino acids, in the presence of Ca2+, act as a coagonist for CaSR38,39. Nonetheless, our results demonstrate that even in the absence of Ca2+, L-Trp, L-Phe and L-His activated asCasr-mediated Gi, while L-His alone activated the Gq signaling pathway in the asCars-Flp-In-HEK293 cell line system. However, in the presence of Ca2+, Gq signaling was further enhanced for L-His, and both L-Trp and L-Phe became activators of this pathway. This suggests that, while the Atlantic salmon CaSR exhibits some level of amino acid-mediated activation independent of Ca2+, the presence of Ca2+ amplifies the response, particularly for Gq pathway.
The presence of Ca2+ was essential for the activation of the ERK pathway via asCasr. ERK pathway activation was assessed by detecting the dually phosphorylated serine and threonine residues of the key kinases, ERK1 and ERK2 (P-ERK1/2). We found that in the presence of 10 mM of Ca2+, L-His, L-Phe, and L-Trp triggered asCasr-specific ERK phosphorylation. Similarly, L-Phe and L-Trp, but not L-Leu, activated the extracellular Ca2+ stimulated ERK1/2 in human CaSR-expressing HEK- 293 cells, but it was comparatively small when compared to the Ca2+i effect40. The aromatic amino acids L-Phe and L-Trp, and L-His are well established ligands of the mammalian CaSR3,4,9. This suggests that the hydrophobic interaction between the aromatic ring of the amino acids and the hydrophobic residues of the CaSR might be important for binding41. Our results indicate that the amino acid ligand preference is well-conserved between the Atlantic salmon and the mammalian receptor, as asCasr is also responsive to L-His, L- Phe and L-Trp, which promoted the activation of asCasr-mediated pathways. Furthermore, like the mammalian CaSR9,42, BCAAs were less potent activators (or almost inactive) for the asCasr, supporting the notion that the presence of an aromatic ring facilitates ligand-receptor interactions.
The CaSR-mediated gut hormone secretion is regulated by the activation of its downstream signaling molecules43. The information obtained in this study and from previous studies, led us to hypothesize that asCasr acts as a nutrient sensor in the gut of Atlantic salmon, and enables specific amino acids to stimulate the release of gut hormones through activation of this receptor. This hypothesis is supported by the following results: (1) casr mRNA is present in the gastrointestinal tract of Atlantic salmon21; (2) here we show that the L-amino acids L-Phe, L-Trp and L-His and Ca2+ activate the asCasr and asCasr-mediated signaling pathways; (3) fish casr mRNA in the intestine has been shown to be modulated by amino acids29; (4) residues known to be involved in L-amino acid binding are conserved in the asCasr protein sequence (see Supplementary Fig. S6). Although nutrient sensing is essential for survival, surprisingly little is known about receptors (or transporters) involved, especially in fish species. While our results are based on in vitro data using a mammalian cell line, the amino acids and Ca2+used are within the range reported for the fish intestine44,45, and plasma46. However, it is important to note that the amino acid profile in the fish gastrointestinal tract vary depending on factors such as diet, nutritional status, and life stage. Additionally, the feed composition and dietary levels of calcium and amino acids can influence the activation of the asCasr receptor in the gastrointestinal tract. Unlike the simplified conditions of our in vitro experiments, the gastrointestinal tract will naturally contain a complex mix of nutrients, which may modify receptor activation. Therefore, while these in vitro results provide valuable insights into the receptor’s potential function, caution should be exercised when directly translating or comparing them to in vivo models, as the in vivo environment is more complex and involves additional factors that could influence ligand receptor activation. Nevertheless, understanding the ability to modulate these signaling pathways through diet provides a promising strategy for developing science-based feed formulations that optimize growth, health, and feed efficiency in farmed fish. Overall, our results, along with other recent studies in fish species, suggest that the role of nutrient sensors is broadly conserved between teleosts and mammals29,47,48.
In summary, we have successfully generated a stable asCars-Flp-In-HEK293 cell line and validated methods to measure ERK, Gi and Gq-mediated responses. This cell-based assay system provides a valuable tool for screening molecules to study the physiological function of the asCasr and its response to various ligands. Our findings confirm that L-amino acids (L-Phe, L-Trp and L-His) and Ca2+ act as ligands for asCasr. Thus, asCasr, like its mammalian homolog, is a promiscuous L-amino acid receptor with preference for amino acids with an aromatic ring. However, different L-amino acids may not be equally effective with respect to all signaling pathways. Notably, only L-His activated the Gq pathway in the absence of Ca²⁺, whereas L-Trp and L-Phe required Ca²⁺ for activation, highlighting its role as a coagonist. For the Gi pathway, all three amino acids (L-His, L-Phe, and L-Trp) activated signaling both with and without Ca²⁺. However, for the ERK pathway, Ca²⁺ was essential for activation by these three L-amino acids. Amino acids are essential for life, health, and growth, and reliable in vitro screening methods for testing amino acids are needed to develop science-based feed formulations for farmed fish.
Methods
Materials and reagents
The following materials and reagents, Flp-In™− 293 Cell Line (Cat. No: R75007, lot No: 20167722), Flp-In™ Core System (Cat. No: K601002), Goat anti-Mouse IgG (H + L) Highly Cross-Adsorbed Secondary Antibody, Alexa Fluor Plus 488 (Cat. No: A32723), Hoechst 33342 Solution (20 mM, Cat. No: 62249), Hygromycin B (50 mg/mL, Cat. No: 10687010), polyclonal IgG (H + L) Donkey anti-Rabbit, HRP (Cat. No: A16023), polyclonal IgG (H + L) Rabbit anti-Mouse, HRP (Cat. No: A16160), Lipofectamine™ 2000 Transfection Reagent (Cat. No: 11668 - 019), Myc Tag Monoclonal Antibody (Cat. No: R950 - 25), ProLong™ Gold Antifade Mountant (Cat. No: P10144), Qubit™ Protein Assay Kit (Cat. No: Q33212), Zeocin (100 mg/mL, Cat. No: R25001), Fisherbrand™ Borosilicate Glass Circle Coverslips (Cat. No: 12333138), Antibiotic-Antimycotic (100X, # 15240062), Hanks’ balanced salt solution 10X, no calcium, no magnesium, no phenol red (HBSS 10X, # 14185 - 052), L-glutamine (200 mM, # 25030081), paraformaldehyde 16% (w/v) in aqueous solution methanol-free (Cat. No: 43368.9 L), were obtained from Thermo Fisher Scientific (Waltham, MA, USA). All primes used, agarose (Cat. No: A9539), Bovine serum albumin (Cat. No: A2153), calcium chloride (CaCl2, Cat. No: 746495), cOmplete™ Mini Protease Inhibitor Cocktail (Cat. No: 04–693-124 - 001), Dulbecco’s Modified Eagle’s Medium high glucose (DMEM, Cat. No: D6429), dimethyl sulfoxide (DMSO, Cat. No: D5879), DL-Dithiothreitol solution (Cat. No: 43816), fetal bovine serum (FBS, Cat. No: F7524), forskolin (Cat. No: F3917), HEPES (H3375 - 250G), 3-isobutyl- 1-methylxanthine (IBMX, Cat. No: I5879), L-amino acids (LAA21 - 1 KT), lithium chloride (LiCl, Cat. No: L9650), magnesium chloride (MgCl2, Cat. No: M2670), phosphate buffered saline 10X (PBS, Cat. No: P5493), Poly-L-lysine hybridomide (P6282 - 5MG), Ponceau S solution (Cat. No: P7170), trypsin-EDTA solution (Cat. No: T3924), Tween- 20 (Cat. No: P9416) were obtained from Sigma Aldrich (St. Louis, MO, USA). The Precision Plus Protein™ WesternC™ Blotting Standards (Cat. No: 1610376), Buffer: 10X Tris/Glycine/SDS Buffer (Cat. No: 1610732), ECL: Clarity Western ECL Substrate (Cat. No: 1705061), Gel: 4–20% Criterion™ TGX Stain-Free™ Protein Gel, 18 well, 30 µl (Cat. No: 5678094), 4x Laemmli Sample Buffer (Cat. No: 1610747) were obtained from BioRad (Hercules, CA, USA). The mouse monoclonal anti-phospho-ERK antibody (Cat. No: 9106 S), and rabbit monoclonal anti-ERK antibody (Cat. No: 4695 S) were obtained from Cell Signalling (Danvers, MA, USA). The cAMP Gi kit (Cat. No: 62 AM9PEB), the Gs dynamic kit (Cat. No: 62 AM4PEB), and the IP-One Gq kit (Cat. No: 62IPAPEB) were obtained from Cisbio (Codolet, France). The plates for the assays, ProxyPlate- 384 Plus, white 384-shallow well microplate (Cat. No: 6008289) were obtained from PerkinElmer (Waltham, MA, USA). The 100 bp DNA Ladder (Cat. No: N3231S), 1 kb DNA Ladder (Cat. No: N3232S), Gel Loading Dye, Purple (6x), no SDS (Cat. No: B7025S), Q5 High Fidelity DNA polymerase (Cat. No: M0491L), and the restriction enzymes MluI-HF (Cat. No: R3198S), NheI-HF (Cat. No: R3131S), and NotI-HF (Cat. No: R3189S) were obtained from New England Biolabs (Ipswich, MA, USA). Cell culture plates, surface: Cell+, flat base, 6 well (Cat. No: 83.3920.300) and 96 well (Cat. No: 83.3924.300) were obtained from Sarstedt (Nümbrecht, Germany), G418 sulfate (50 mg/mL, Cat. No: 30–234-CR) was obtained from Corning (Corning, NY, USA), RIPA lysis buffer 10x (Cat. No: 20–188) was obtained from Merck Millipore (Burlington, MA, USA), and QIAquick Gel Extraction Kit (Cat. No: 28704) was obtained from Qiagen (Hilden, Germany).
Expression vector constructs
Atlantic salmon casr1 (Ensemble acc. no. ENSSSAT00000013782.2; GenBank acc. no. NM_001126231.1, see Supplementary Fig. S6 for sequence details) was amplified from Atlantic salmon hindgut using the following forward, 5’- ATGAGATTTTACCTGTATTAC- 3’ and reverse, 5’- CTACTTCATAGAATTCTTTCT- 3’ primers. The Q5 High Fidelity DNA polymerase was used in the PCR reactions and the PCR reaction was carried out in a GeneAmp PCR system 2700 thermocycler (AB Applied Biosystem) with the following conditions: 98 °C for 30 s, 30 cycles of 98 °C for 10 s, 50 °C for 20 s, 72 °C for 90 s, and a final step at 72 °C for 10 min. The PCR product obtained was run in a 1% agarose gel and gel extracted using a QIAquick Gel Extraction Kit, and subsequently cloned into a pcDNA3.1 vector. Atlantic salmon casr1 was then transferred to the vector pEGFPN1 kindly provided by Dr Hans Braüner-Osborne (University of Copenhagen, Denmark), containing an mGluR5 signal peptide and c-myc tag49. To do so, casr1 was amplified from the pcDNA3.1-asCasr construct by PCR using a forward primer, 5’-GCGACGCGTTATGGGCCTCATCAG- 3’, containing a MluI restriction site and a reverse primer, 5’-GCGGCGGCCGCCTACTTCATAGAATT- 3’ containing a NotI restriction site. This construct was digested using MluI and NotI restriction enzymes and inserted into the vector pEGFPN1 pre-digested with the same restriction enzymes. The asCasr in the pEGFPN1 construct had a mGluR5 signal peptide and c-myc tag. This construct was transferred from the pEGFPN1-asCasr plasmid to the pcDNA5/FRT vector by digestion with NheI and NotI restriction enzymes. The absence of mutations in all constructs was verified using Sanger DNA sequencing (The DNA Sequencing Lab, University of Bergen, Norway).
Generation of Flp-In™− 293 cell lines stably expressing Atlantic salmon Casr
Flp-In HEK293 cells were maintained in DMEM media supplemented with 10% (v/v) dialyzed FBS, 2 mM L-glutamine, and 1% antibiotic-antimycotic solution in a humidified atmosphere (95% air and 5% CO2). To generate Flp-In-HEK293 cells stably expressing asCasr, cells were co-transfected with a 1:9 mixture of the pcDNA5/FRT/asCasr construct and the Flp recombinase expression plasmid pOG44 using Lipofectamine 2000 according to the manufacturer’s instructions. Twenty-four hours after the transfection, fresh medium was applied, and 48 h after the transfection, fresh medium containing 200 ug/ml Hygromycin B was added to initiate the selection of asCasr-stably expressing cells. After 12 days, the clones were screened for the expression of Atlantic salmon casr1 and human Gapdh by reverse transcription (RT)-PCR (see primers in Table 1) using Q5 High Fidelity DNA polymerase with cDNA synthesized from 500 ng of total RNA in a GeneAmp PCR system 2700 thermocycler (AB Applied Biosystem) with the following conditions: 98 °C for 30 s, 30 cycles of 98 °C for 10 s, 60 °C for 20 s, 72 °C for 20 s, and a final step at 72 °C for 2 min. The amplicons were run on a 2.0% agarose gel, and identity was verified by Sanger DNA sequencing.
Immunofluorescence
Cells (5 × 103 cells/well) were seeded onto poly-L-lysine coated glass coverslip in 6-well plate. The next day, cells were rinsed with ice-cold 1X PBS and fixed with 4% paraformaldehyde for 10 min at room temperature. Before immunofluorescence staining the slide was blocked with BSA 3% for 1 h at room temperature and then anti-myc-tag antibody (1:500) added and the slides incubated overnight at room temperature in a humidified chamber. The cells were washed with cold 1X PBS three times for 5 min each and incubated with Alexa 488-labeled anti-goat secondary antibody (1:250) at room temperature for 1 h followed by 5 min incubation in Hoechst 33342 solution. The coverslip was mounted using ProLong™ Gold Antifade Mountant. The cells were examined by fluorescence microscopy (Leica DM6000B, Wetzlar, Germany).
Amino acid and Ca2+ solutions
Six L-amino acids, isoleucine (L-Ile), leucine (L-Leu), valine (L-Val), histidine (L-His), phenylalanine (L-Phe), and tryptophan (L-Trp) were prepared at a stock concentration of 100 mM, except for L-Trp for which a 50 mM stock was prepared, in HBSS 1X, HEPES 20 mM. For IP-One Gq and cAMP Gi assays, the final concentrations of the amino acids tested were 2.5, 5, 10, 20 and 40 mM except for L-Trp where the highest concentration was 20 mM. For the ERK assay, the final concentrations tested for the amino acids were 20, 40 and 80 mM, except for L-Trp where the highest concentration was 40 mM. The concentration of amino acids used in this study was similar to those used in nutrient sensing analyses for the rat CasR11,12 and in fish29,44. Ca2+ was prepared at a stock concentration of 500 mM. The concentrations of Ca2+tested in this study were within the range found in the intestinal fluid of Atlantic salmon (parr: 14.19 ± 0.85 mmol/L; post-smolt: 14.30 ± 1.34 mmol/L)45.
IP-One Gq assay
Subconfluent cells were detached from the cell culture dish using trypsin at 37 °C. Then, 4 volumes of DMEM supplemented with 10% (v/v) FBS were added, and cells were centrifuged at 250 g for 5 min. After the cell pellet was resuspended in assay buffer (HBSS 1X, 20 mM HEPES, 1 mg/mL bovine serum albumin, 0.5 mM CaCl2, 0.5 mM MgCl2 pH 7.4, at 37⁰C) and incubated for 2 h at 37 °C. Cells were finally resuspended at a concentration of 107 cells/ml. Ligands, prepared in ligand buffer (HBSS 1X, HEPES 20 mM, 0.5 mM MgCl2, 40 mM LiCl, pH 7.4) and were added (7 µl/well), in triplicate, to a 384-well ProxyPlate. After, 7 µl/well of cell suspension was added to the 384-well ProxyPlate, which was then sealed and incubated at 37 °C for 1 h. After, 3 µl/well of anti- D-myo-inositol monophosphate (IP1) cryptate Tb conjugate and 3 µl/well of IP1 d2 conjugate were added to the plate, it was then incubated in the dark for 1 h at room temperature. The plate was read on a Hidex Sense Plate reader (Hidex Oy, Turku, Finland) using the following parameters: excitation at 340 nm and measurements of emission at 615 nm and 665 nm. The fluorescence resonance energy transfer ratios (665 nm/615 nm) were converted to IP1 concentrations by interpolating values from an IP1 standard curve generated from the IP1 calibrator provided by the manufacturer.
cAMP Gi assay
Cell suspensions were prepared as described for the IP-One Gq assay to achieve a concentration of 106 cells/ml for measurements of Gi signaling. The cell suspension (5 µl/well) was added to a 384-well ProxyPlate followed by the addition of 4 µl/well of the ligand solution (ligand prepared in HBSS 1X, 20 mM HEPES, 0.5 mM MgCl2, 100 µM IBMX, pH 7.4) in triplicate. The plate was then sealed and incubated at 37 °C for 30 min. Forskolin (2 µM) was added (1 µl/well) as an agonist of the cAMP Gi signaling pathway. The plate was sealed and incubated at 37 °C for another 30 min. Two detection solutions (cAMP d2 conjugate and cAMP Eu-cryptate conjugate solutions) were prepared according to the manufacturer’s instructions. 5 µl/well of each conjugate solution was added to the plate, which was then incubated in the dark for 1 h at room temperature. The plate was read on Hidex Sense Plate reader (Hidex OyT, Turku, Finland); excitation was at 340 nm and measurements of emission at 615 and 665 nm. The fluorescence resonance energy transfer ratio (665 nm/615 nm) was determined, and the data was then normalized to the cAMP production elicited by exposure to 2 µM forskolin.
ERK assay
A total of 3 × 106 cells/well were cultured in a six-well clear culture plate 24 h before the assay. On the day of the assay, cells were washed with 2 ml/well washing buffer (HBSS 1X, 20 mM HEPES, 1 mg/ml bovine serum albumin, pH 7.4) for 2 h at 37 °C. Ligands (L-amino acid and/or Ca2+) prepared in ligand buffer (HBSS 1X, 20 mM HEPES, pH 7.4) were added (1 ml/well) to the cells. The plates were incubated for 20 min at 37 °C, as preliminary pilot studies had shown maximum ERK activation 20 min after the addition of Ca2+ (data not shown). Subsequently, the cells were washed twice with ice-cold DPBS; 30 µl/well of ice-cold lysis buffer (stock solution: 7 ml of RIPA buffer + 1 protease inhibitor cocktail tablet) was added, and protein extraction was conducted following the manufacturer’s instructions. The protein concentration in each sample was determined using a Qubit protein determination kit.
SDS-PAGE was run using a Criterion™ Cell, and samples were loaded on a 4–20% Criterion™ TGX Stain-Free™ Protein Gel. The gel was run at 130 V for 1 h, and the proteins were subsequently transferred from the gel to a 0.2 μm nitrocellulose membrane using a Trans-Blot Turbo Transfer System (BioRad). The transfer was run at 1 A and 9–10 V for 30 min. Transfer efficiency was checked with Ponceau S staining. Subsequently, the membranes were incubated in blocking solution (5% dry milk (Tine AS) in TBS with 0.2% Tween- 20) for 1 h at room temperature on a tilting table, followed by overnight incubation at 4 °C in the primary antibody (mouse anti-P-ERK 1/2 antibody diluted 1:1000 in 5% dry milk in TBST). The membrane was rinsed in TBST and then incubated for 1 h in secondary antibody (anti-mouse antibody HRP conjugate diluted 1:20,000 in 5% dry milk in TBST) at room temperature on a tilting table. BioRad Clarity Western ECL Substrates were mixed 1:1, and 1 ml of the detection mix was then added to the protein side of the membranes. Imaging of the chemiluminescence was carried out using a ChemiDoc™ Imaging Systems from BioRad. Then the membranes were incubated with total ERK (T-ERK) antibodies (rabbit anti-T-ERK1/2 antibody and anti-rabbit antibody HRP conjugate) and imaged as described above.
Relative quantification of the Western blots was carried out by measuring the intensity of the protein bands using ImageJ Software version 1.54 d (https://imagej.net/ij/)50 and by normalizing the P-ERK response with the corresponding T-ERK response.
Data analysis
All statistical analyses were carried out using R version 4.2 (https://www.r-project.org/)51. The IP1 concentration-response curve analysis was performed by fitting a four-parameter log-logistic concentration-response model (Eq. 1) using the drm function from the drc package52:
In Eq. 1, c is the minimal response, d is the maximal response, b is the Hill coefficient, x is the concentration and e is the concentration necessary to elicit a half-maximum response.
A general linear model (GLM) with gamma distribution (log-link function) was used to model the IP1 production and the cAMP inhibition in response to different concentration of L-amino acids, while a tweedie distribution (a compound Poisson-gamma with log-link function) was used for ERK activation to account for observations with zero activation. GLMs were implemented with the glmmTMB package53. Pairwise comparisons within the groups were performed using a Tukey’s post hoc HSD test with emmeans package54 and ggplot was used to plot graphs55,56. Statistical significance was set at p < 0.05.
Data availability
The datasets used and/or analyzed in this study are available from the corresponding author upon reasonable request. The sequences used in this study are publicly available in the GenBank database (Atlantic salmon casr1: NM_001126231.1; human CaSR: P41180; human Gapdh: NM_001357943.2; NM_001256799.3; NM_001289745.3; NM_001289746.2; NM_002046.7).
References
Díaz-Soto, G., Rocher, A., García-Rodríguez, C., Núñez, L. & Villalobos, C. Chapter Seven - The Calcium-Sensing Receptor in Health and Disease. In K. W. Jeon & L. Galluzzi (Eds.), International Review of Cell and Molecular Biology (Vol. 327, pp. 321–369). Academic Press. https://doi.org/10.1016/bs.ircmb.2016.05.004 (2016).
Alfadda, T. I., Saleh, A. M. A., Houillier, P. & Geibel, J. P. Calcium-sensing receptor 20 years later. Am. J. Physiology-Cell Physiol. 307, C221–C231. https://doi.org/10.1152/ajpcell.00139.2014 (2014).
Smajilovic, S., Wellendorph, P. & Bräuner-Osborne, H. Promiscuous seven transmembrane receptors sensing L-α-amino acids. Curr. Pharm. Des. 20, 2693–2702. https://doi.org/10.2174/13816128113199990576 (2014).
Conigrave, A. D. & Hampson, D. R. Broad-spectrum l-amino acid sensing by class 3 G-protein-coupled receptors. Trends Endocrinol. Metabolism. 17, 398–407. https://doi.org/10.1016/j.tem.2006.10.012 (2006).
Furness, J. B., Rivera, L. R., Cho, H. J., Bravo, D. M. & Callaghan, B. The gut as a sensory organ. Nat. Reviews Gastroenterol. Hepatol. 10, 729–740. https://doi.org/10.1038/nrgastro.2013.180 (2013).
Conigrave, A. D. & Brown, E. M. Taste receptors in the Gastrointestinal tract II. l-Amino acid sensing by calcium-sensing receptors: implications for GI physiology. Am. J. Physiology-Gastrointestinal Liver Physiol. 291, G753–G761. https://doi.org/10.1152/ajpgi.00189.2006 (2006).
Mace, O. J., Schindler, M. & Patel, S. The regulation of K- and L-cell activity by GLUT2 and the calcium-sensing receptor CasR in rat small intestine. J. Physiol. 590, 2917–2936. https://doi.org/10.1113/jphysiol.2011.223800 (2012).
Liou, A. P. et al. The extracellular calcium-sensing receptor is required for cholecystokinin secretion in response to L-phenylalanine in acutely isolated intestinal I cells. Am. J. Physiology-Gastrointestinal Liver Physiol. 300, G538–G546. https://doi.org/10.1152/ajpgi.00342.2010 (2011).
Conigrave, A. D., Quinn, S. J. & Brown, E. M. L-amino acid sensing by the extracellular Ca2+-sensing receptor. Proc. Natl. Acad. Sci. U S A. 97, 4814–4819. https://doi.org/10.1073/pnas.97.9.4814 (2000).
Conigrave, A. D. et al. L-Amino acids regulate parathyroid hormone Secretion. J. Biol. Chem. 279, 38151–38159. https://doi.org/10.1074/jbc.M406373200 (2004).
Wang, Y. et al. Amino acids stimulate cholecystokinin release through the Ca2+-sensing receptor. Am. J. Physiology-Gastrointestinal Liver Physiol. 300, G528–G537. https://doi.org/10.1152/ajpgi.00387.2010 (2011).
Wang, C. et al. Sensing of L-Arginine by gut-Expressed calcium sensing receptor stimulates gut satiety hormones cholecystokinin and Glucose-Dependent insulinotropic peptide secretion in pig model. J. Food Sci. 83, 2394–2401. https://doi.org/10.1111/1750-3841.14297 (2018).
Nakajima, S., Hira, T. & Hara, H. Calcium-sensing receptor mediates dietary peptide-induced CCK secretion in enteroendocrine STC-1 cells. Mol. Nutr. Food Res. 56, 753–760. https://doi.org/10.1002/mnfr.201100666 (2012).
Feng, J. et al. Calcium-sensing receptor is a physiologic multimodal chemosensor regulating gastric G-cell growth and gastrin secretion. Proceedings of the National Academy of Sciences 107, 17791–17796 (2010). https://doi.org/10.1073/pnas.1009078107
Conigrave, A. D. & Ward, D. T. Calcium-sensing receptor (CaSR): Pharmacological properties and signaling pathways. Best Pract. Res. Clin. Endocrinol. Metab. 27, 315–331. https://doi.org/10.1016/j.beem.2013.05.010 (2013).
Huang, C. & Miller, R. T. The calcium-sensing receptor and its interacting proteins. J. Cell. Mol. Med. 11, 923–934. https://doi.org/10.1111/j.1582-4934.2007.00114.x (2007). https://doi.org:.
Ray, K. Chapter Six - Calcium-Sensing Receptor: Trafficking, Endocytosis, Recycling, and Importance of Interacting Proteins. In G. Wu (Ed.), Progress in Molecular Biology and Translational Science (Vol. 132, pp.127–150). Academic Press. https://doi.org/10.1016/bs.pmbts.2015.02.006 (2015).
Bjørndal, T. & Tusvik, A. Economic analysis of land based farming of salmon. Aquaculture Econ. Manage. 23, 449–475. https://doi.org/10.1080/13657305.2019.1654558 (2019).
Iversen, A., Asche, F., Hermansen, Ø. & Nystøyl, R. Production cost and competitiveness in major salmon farming countries 2003–2018. Aquaculture 522, 735089. https://doi.org/10.1016/j.aquaculture.2020.735089 (2020).
Nearing, J. et al. Polyvalent cation receptor proteins (CaRs) are salinity sensors in fish. Proc. Natl. Acad. Sci. U S A. 99, 9231–9236. https://doi.org/10.1073/pnas.152294399 (2002).
Jury, S., Betka, M., Nearing, J. & Harris, H. W. Salinity-dependent expression of calcium-sensing receptors in Atlantic salmon (Salmo salar) tissues. J. Comp. Physiol. A. 207, 505–522. https://doi.org/10.1007/s00359-021-01493-3 (2021).
Hubbard, P. C., Barata, E. N. & Canario, A. V. M. Olfactory sensitivity to changes in environmental [Ca2+] in the marine teleost Sparus aurata. J. Exp. Biol. 203, 3821–3829. https://doi.org/10.1242/jeb.203.24.3821 (2000).
Loretz, C. A. et al. cDNA cloning and functional expression of a Ca2+-sensing receptor with truncated C-terminal tail from the Mozambique tilapia (Oreochromis mossambicus). J. Biol. Chem. 279, 53288–53297. https://doi.org/10.1074/jbc.M410098200 (2004).
Gregório, S. F. & Fuentes, J. Regulation of bicarbonate secretion in marine fish intestine by the Calcium-Sensing receptor. Int. J. Mol. Sci. 19, 1072. https://doi.org/10.3390/ijms19041072 (2018).
Loretz, C. A. Extracellular calcium-sensing receptors in fishes. Comp. Biochem. Physiol. Mol. Integr. Physiol. 149, 225–245. https://doi.org/10.1016/j.cbpa.2008.01.037 (2008).
Rønnestad, I., Akiba, Y., Kaji, I. & Kaunitz, J. D. Duodenal luminal nutrient sensing. Curr. Opin. Pharmacol. 19, 67–75. https://doi.org/10.1016/j.coph.2014.07.010 (2014). https://doi.org:.
Rasoamanana, R., Darcel, N., Fromentin, G. & Tomé, D. Nutrient sensing and signalling by the gut. Proc. Nutr. Soc. 71, 446–455. https://doi.org/10.1017/S0029665112000110 (2012).
Duca, F. A., Waise, T. M. Z., Peppler, W. T. & Lam, T. K. T. The metabolic impact of small intestinal nutrient sensing. Nat. Commun. 12, 903. https://doi.org/10.1038/s41467-021-21235-y (2021).
Calo, J. et al. First evidence for the presence of amino acid sensing mechanisms in the fish Gastrointestinal tract. Sci. Rep. 11, 4933. https://doi.org/10.1038/s41598-021-84303-9 (2021).
Christiansen, B., Hansen, K. B., Wellendorph, P. & Bräuner-Osborne, H. Pharmacological characterization of mouse GPRC6A, an L-α-amino-acid receptor modulated by divalent cations. Br. J. Pharmacol. 150, 798–807. https://doi.org/10.1038/sj.bjp.0707121 (2007).
Jacobsen, S. E. et al. Delineation of the GPRC6A receptor signaling pathways using a mammalian cell line stably expressing the receptor. J. Pharmacol. Exp. Ther. 347, 298–309. https://doi.org/10.1124/jpet.113.206276 (2013).
Thomsen, A. R. B., Hvidtfeldt, M. & Bräuner-Osborne, H. Biased agonism of the calcium-sensing receptor. Cell. Calcium. 51, 107–116. https://doi.org/10.1016/j.ceca.2011.11.009 (2012). https://doi.org:.
Luttrell, L. M. Reviews in molecular biology and biotechnology: transmembrane signaling by G Protein-Coupled receptors. Mol. Biotechnol. 39, 239–264. https://doi.org/10.1007/s12033-008-9031-1 (2008).
Chen, C. J., Barnett, J. V., Congo, D. A. & Brown, E. M. Divalent cations suppress 3′,5′-Adenosine monophosphate accumulation by stimulating a pertussis Toxin-Sensitive guanine Nucleotide-Binding protein in cultured bovine parathyroid cells. Endocrinol 124, 233–239. https://doi.org/10.1210/endo-124-1-233 (1989).
Spurney, R. F., Pi, M., Flannery, P. & Quarles, L. D. Aluminum is a weak agonist for the calcium-sensing receptor. Kidney Int. 55, 1750–1758. https://doi.org/10.1046/j.1523-1755.1999.00432.x (1999). https://doi.org:.
Trinquet, E., Bouhelal, R. & Dietz, M. Monitoring Gq-coupled receptor response through inositol phosphate quantification with the IP-One assay. Expert Opin. Drug Discov. 6, 981–994. https://doi.org/10.1517/17460441.2011.608658 (2011).
Trinquet, E. et al. d-myo-Inositol 1-phosphate as a surrogate of d-myo-inositol 1,4,5-tris phosphate to monitor G protein-coupled receptor activation. Anal. Biochem. 358, 126–135. https://doi.org/10.1016/j.ab.2006.08.002 (2006).
Geng, Y. et al. Structural mechanism of ligand activation in human calcium-sensing receptor. eLife 5, e13662. https://doi.org/10.7554/eLife.13662 (2016).
Ling, S. et al. Structural mechanism of cooperative activation of the human calcium-sensing receptor by Ca2+ ions and L-tryptophan. Cell Res. 31, 383–394. https://doi.org/10.1038/s41422-021-00474-0 (2021).
Lee, H. J. et al. Allosteric activation of the extracellular Ca2+-sensing receptor by L-amino acids enhances ERK1/2 phosphorylation. Biochem. J. 404, 141–149. https://doi.org/10.1042/bj20061826 (2007).
Hirofumi, S. et al. Upacicalcet is a novel secondary hyperparathyroidism drug that targets the amino acid binding site of Calcium-Sensing receptor. Mol. Pharmacol. 102, 183. https://doi.org/10.1124/molpharm.122.000522 (2022).
Gwynne, R. M., Ly, K. D. K. N., Parry, L. J. & Bornstein, J. C. Calcium sensing receptors mediate local inhibitory reflexes evoked by L-Phenylalanine in Guinea pig jejunum. Front. Physiol. 8 https://doi.org/10.3389/fphys.2017.00991 (2017).
Zhou, H. R., Pestka, J. J. & Deoxynivalenol Vomitoxin)-Induced cholecystokinin and Glucagon-Like Peptide-1 release in the STC-1 enteroendocrine cell model is mediated by Calcium-Sensing receptor and transient receptor potential Ankyrin-1 channel. Toxicol. Sci. 145, 407–417. https://doi.org/10.1093/toxsci/kfv061 (2015).
Berge, G. E., Goodman, M., Espe, M. & Lied, E. Intestinal absorption of amino acids in fish: kinetics and interaction of the in vitro uptake of l-methionine in Atlantic salmon (Salmo Salar L). Aquaculture 229, 265–273. https://doi.org/10.1016/S0044-8486(03)00355-7 (2004).
Gaetano, P. Intestinal physiology in Atlantic salmon: preparatory changes during smolting and after seawater entry. http://hdl.handle.net/10498/33764 (2024).
Lai, F. et al. Freshwater history influences farmed Atlantic salmon (Salmo salar) performance in seawater. Aquaculture 586, 740750. https://doi.org/10.1016/j.aquaculture.2024.740750 (2024).
Angotzi, A. R., Leal, E., Puchol, S., Cerdá-Reverter, J. M. & Morais, S. Exploring the potential for an evolutionarily conserved role of the taste 1 receptor gene family in gut sensing mechanisms of fish. Anim. Nutr. 11, 293–308. https://doi.org/10.1016/j.aninu.2022.08.010 (2022).
Angotzi, A. R., Puchol, S., Cerdá-Reverter, J. M. & Morais, S. Insights into the function and evolution of taste 1 receptor gene family in the carnivore fish Gilthead seabream (Sparus aurata). Int. J. Mol. Sci. 21, 7732. https://doi.org/10.1016/j.aninu.2022.08.010 (2020).
Wellendorph, P. et al. Deorphanization of GPRC6A: A promiscuous L-α-Amino acid receptor with preference for basic amino acids. Mol. Pharmacol. 67, 589–597. https://doi.org/10.1124/mol.104.007559 (2005).
Schneider, C. A., Rasband, W. S. & Eliceiri, K. W. NIH image to imageJ: 25 years of image analysis. Nat. Methods. 9, 671–675. https://doi.org/10.1038/nmeth.2089 (2012).
RCoreTeam., R. A Language and Environment for Statistical Computing (R Foundation for Statistical Computing, 2021).
Ritz, C., Baty, F., Streibig, J. C. & Gerhard, D. Dose-Response analysis using R. PloS One. 10, e0146021. https://doi.org/10.1371/journal.pone.0146021 (2016).
Brooks, M. et al. GlmmTMB balances speed and flexibility among packages for Zero-inflated generalized linear mixed modeling. R J. 9, 378–400 (2017).
Lenth, R. V. et al. emmeans: Estimated Marginal Means, aka Least-Squares Means (2023).
Wickham, H. ggplot2: Elegant Graphics for Data Analysis. Springer-Verlag. (2016).
Wickham, H. et al. Welcome Tidyverse 4, 1686 (2019).
Acknowledgements
This work was funded by the Research Council of Norway projects ExcelAQUA2.0 (309368), QMAR (268987) and Time4Sucess (320566), and by the Portuguese Foundation for Science and Technology (FCT) through the projects UIDB/04326/2020 (DOI:10.54499/UIDB/04326/2020), UIDP/04326/2020 (DOI:10.54499/UIDP/04326/2020) and LA/P/0101/2020 (DOI:10.54499/LA/P/0101/2020). The authors thank Prof. Hans Bräuner-Osborne (University of Copenhagen, Denmark) for providing the ratCaSR construct in pEGFPN1 and for methodological advice, and Tine SA (Norway) for providing the skimmed milk powder used for the Western blots. IR thank Prof. Jonathan D. Kaunitz and his group at UCLA and VA Greater LA Medical Center for discussions on nutrient sensing during his sabbatical year.
Funding
Open access funding provided by Institute Of Marine Research
Author information
Authors and Affiliations
Contributions
ASG and IR designed the study. ASG, VG, RCF, JCRC, FL and DMP were involved in the development and testing of the experimental assays. VG performed experiments. ASG, VG and FZ analyzed the data and prepared the figures. ASG wrote the first draft of the manuscript. All authors contributed to the interpretation of the data and writing of the article and approved the submitted version.
Corresponding authors
Ethics declarations
Competing interests
The authors declare no competing interests.
Additional information
Publisher’s note
Springer Nature remains neutral with regard to jurisdictional claims in published maps and institutional affiliations.
Electronic supplementary material
Below is the link to the electronic supplementary material.
Rights and permissions
Open Access This article is licensed under a Creative Commons Attribution 4.0 International License, which permits use, sharing, adaptation, distribution and reproduction in any medium or format, as long as you give appropriate credit to the original author(s) and the source, provide a link to the Creative Commons licence, and indicate if changes were made. The images or other third party material in this article are included in the article’s Creative Commons licence, unless indicated otherwise in a credit line to the material. If material is not included in the article’s Creative Commons licence and your intended use is not permitted by statutory regulation or exceeds the permitted use, you will need to obtain permission directly from the copyright holder. To view a copy of this licence, visit http://creativecommons.org/licenses/by/4.0/.
About this article
Cite this article
Gomes, A.S., Gélébart, V., Félix, R.C. et al. Activation profile of the Atlantic salmon (Salmo salar) calcium-sensing receptor (Casr) by selected L-amino acids. Sci Rep 15, 13236 (2025). https://doi.org/10.1038/s41598-025-97483-5
Received:
Accepted:
Published:
Version of record:
DOI: https://doi.org/10.1038/s41598-025-97483-5







