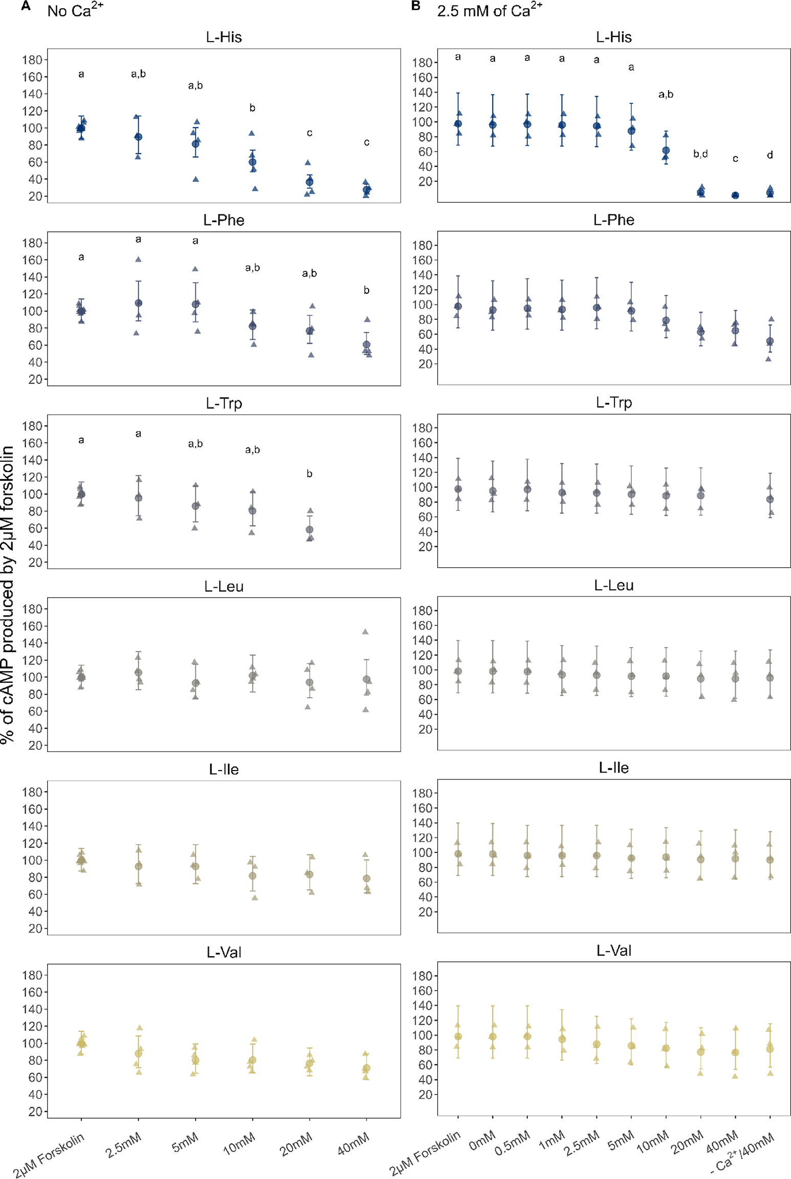
Fig. 4

Measurement of cAMP inhibition due to Gi activation. Responses to forskolin and histidine (L-His), phenylalanine (L-Phe), tryptophan (L-Trp), leucine (L-Leu), isoleucine (L-Ile) and valine (L-Val) in the absence of Ca2+ (A) and in the presence of 2.5 mM Ca2+ (B). The cAMP inhibition was measured in asCasr-Flp-In-HEK293 cells using a HTRF cAMP assay and a Tecan Spark plate reader for (A) and a Hidex Sense Plate reader for (B). Data were normalized to the cAMP production in response to 2 µM forskolin and are shown as the estimated mean (dots) and the 95% confidence intervals (error bars), with the raw data of three to four independent experiments performed in triplicate. Note that -Ca2+/40 mM was measured in the presence of baseline Ca2+. Significant differences from forskolin (2 µM) and between L-amino acid concentrations were determined using a GLM with gamma distribution (log-link function) followed by a Tukey’s post hoc HSD test. Different letters indicate groups that were significantly different (p < 0.05). For more details, see Supplementary Table S2.