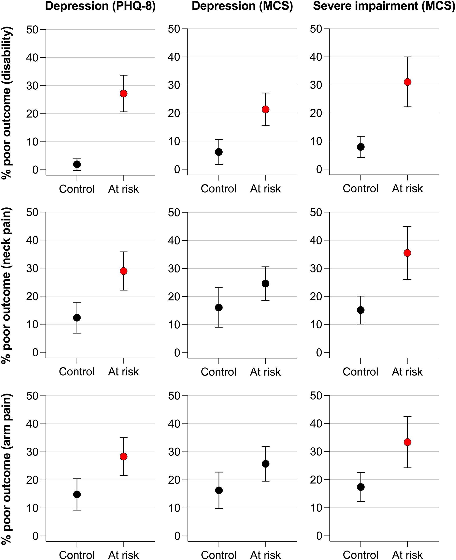
Fig. 3

Probability of poor outcomes in control and at-risk groups undergoing ACDF for cervical radiculopathy from models adjusted for age, sex, education level, and smoking status. At-risk groups include moderate-severe risk of depression (PHQ-8), severe psychological symptomatology (MCS), and depression (MCS). PHQ-8 = Patient Health Questionnaire; MCS = Mental Component Score.