Abstract
Ventriculitis poses a critical risk in neurocritical care, requiring swift diagnosis for timely treatment. This study assessed the diagnostic value of cerebrospinal fluid biomarkers (IL-6, IL-10, TNF-α, procalcitonin (PCT), C-reactive protein (CRP), and CSF lactate) in conjunction with CSF microbial profiling and antimicrobial susceptibility in patients with ventriculitis. This prospective observational study was conducted from July 2023 to May 2024 at the Neuromicrobiology Department, National Institute of Mental Health and Neuroscience (NIMHANS) and analyzed cerebrospinal fluid from patients undergoing routine microbiological culture and sensitivity tests. The study involved 159 patients divided into control, probable, and confirmed ventriculitis groups. Standard methods were used for microbial isolation and antimicrobial susceptibility testing. Additionally, CSF biomarker levels were measured to provide deeper insights into patient conditions. Our study revealed elevated IL-6, IL-10, TNF-α, procalcitonin (PCT), C-reactive protein (CRP), and CSF lactate, levels in both confirmed and probable ventriculitis patients, with IL-6 being the most accurate diagnostic biomarker. Cerebral neoplasm was the most prevalent condition (44·1%), with headache as the primary symptom. Acinetobacter baumannii (39·4%), Escherichia coli (18·2%), and Klebsiella pneumoniae (15·2%) were the most common pathogens identified in CSF cultures. Acinetobacter baumannii and Klebsiella pneumoniae were identified as highly susceptible to colistin but showed significant resistance to carbapenems and variable resistance to other antibiotics. This study emphasizes the severe impact of ventriculitis and identifies IL-6, IL-10, and TNF-alpha as effective biomarkers for diagnosing ventriculitis, with high sensitivity, specificity, and diagnostic performance. Significant antibiotic resistance highlights the need for effective infection control.
Similar content being viewed by others
Introduction
Inflammation of the ependymal lining of cerebral ventricles is known as ventriculitis. It is a severe infection requiring urgent management to reduce morbidity and mortality rates1.
Meningitis, brain abscesses, and ventricular catheter-related infections can all lead to ventriculitis2. Depending on the insertion technique and treatment, the incidence of ventricular catheter-related ventriculitis (or healthcare-associated ventriculitis) varies between 0 and 45% (often less than 10%).3 External ventricular drain (EVD) ventriculitis rates range from 0 to 22%, CSF shunt infection rates range from 4 to 41% (often between 4 and 17%), and lumbar drain (LD) meningitis rates reach 5%.4
The Centers for Disease Control and Prevention (CDC) defines ventriculitis based on microbiological confirmation of pathological organisms cultured from CSF or a combination of clinical, biochemical, and serological criteria5. However, it remains unclear whether ventriculitis, catheter-related infection, and positive CSF cultures all refer to the same conditions. Distinguishing between true infection, contamination, colonization, or suspected ventriculostomy-related infection remains challenging.
Common pathogens implicated in catheter-related infections include gram-negative bacilli such as Escherichia coli, Klebsiella pneumoniae, Acinetobacter baumannii, and Pseudomonas species. Gram-positive organisms including Staphylococcus aureus, and coagulase-negative staphylococci (Staphylococcus epidermidis), as well as fungi, are commonly observed in immunocompromised patients6.
Ventriculitis has a high mortality rate of 15–23%, which can be reduced with timely and effective treatment7. The presence of an EVD increases the risk of infection with contributing factors, including the duration of catheterization, presence of blood in the CSF, CSF leakage, and catheter manipulation. EVD exchanges have also been associated with an elevated risk for ventricular meningitis8,9. Additionally, Ventriculoperitoneal shunts, post-neurosurgical leakage, and device revision owing to prior shunt infection or malfunction elevate infection risks10.
Various CSF biomarkers have been investigated for diagnostic value. CSF lactate has been used to differentiate bacterial and aseptic meningitis11. Presepsin, a biomarker produced by microglia and unaffected by blood contamination in the CSF, has also been studied12.
Several cytokines, including CSF lactate, interleukin-6 (IL-6), interleukin-8 (IL-8), interleukin-1-beta (IL-1b), and tumor necrosis factor-alpha (TNF-alpha), have been evaluated13. CSF IL-6 has emerged as a promising biomarker, with a small study showing 100% sensitivity and specificity for the diagnosis of ventriculitis in patients with aneurysmal subarachnoid hemorrhage14. The aim of this study was to comprehensively investigate ventriculitis in neurocritical care patients, focusing on microbial profiles, antimicrobial susceptibility profiles and the diagnostic and prognostic utility of various cerebrospinal fluid (CSF) biomarkers, such as IL-6, IL-10, TNF-α, procalcitonin (PCT), C-reactive protein (CRP), and CSF lactate.
Methods
Patients and settings
This prospective observational study was conducted in the Department of Neuromicrobiology at NIMHANS (National Institute of Mental Health and Neurosciences), Bengaluru, over a 10-months (July 2023-May 2024). A total of 159 patients were categorized into three groups based on CSF findings and clinical history: confirmed, probable, and control. The confirmed group included patients with evidence of infection/inflammation and positive CSF culture results. The probable group comprised patients with suspected infection/inflammation but negative CSF culture results. The control group included patients with no infection, inflammation, or culture growth. Patients were excluded if they died or were discharged within seven days of the initial CSF sampling, had inadequate sample volume, or if it was a repeat sample. Leftover CSF samples from routine analyses were used, and no tissue samples were collected. All experiments were performed in accordance with the relevant guidelines and regulations. Informed consent was obtained from all the participants. The study adhered to ethical guidelines and was approved by the Institute Ethics Committee (Basic and Neurosciences Division), National Institute of Mental Health and Neurosciences under reference number NIMH/DO/Ethics subcommittee (BS) meeting/2023.
Sample collection and workflow
The study workflow involved the identification of patients across the three groups and data collection, including demographic and clinical variables. CSF samples were collected during routine microbiological analysis and analyzed for bacterial growth, antibiotic susceptibility, and CSF biomarkers. For the identification of microorganisms, samples were inoculated into culture media and incubated at 37 °C. The isolated microorganisms were identified using standard microbiological techniques, and automated systems, such as matrix-assisted laser desorption/ionization-time-of-flight mass spectrometry (MALDI-TOF) and antimicrobial susceptibility testing (AST), were performed in accordance with the Clinical and Laboratory Standards Institute (CLSI) guidelines using the VITEK system.
Biomarker analysis
Biomarkers (CSF IL-6, IL-10, and TNF-α) were evaluated using enzyme-linked immunosorbent assay (ELISA) kits. IL-6, IL-10, and TNF-α levels were measured using a Diaclone ELISA kit (minimum detectable levels: IL-6,2 pg/mL; IL-10:4.9 pg/mL, TNF-alpha, 8 pg/mL). CRP level was analyzed using a Calbiotech high-sensitivity CRP ELISA (minimum detectable level: 0.005 mg/L). PCT level was measured using a BioVendor ELISA kit (minimum detectable level: 50 pg/mL). CSF lactate levels were assessed using a chemiluminescence immunoassay (CLIA).
Statistical analysis
Normally distributed data are presented as mean ± standard deviation (SD), whereas non-normally distributed data are expressed as medians and compared using the Kruskal-Wallis test. Statistical significance was set at P < 0.05. Receiver operating characteristic (ROC) curves were generated using a generalized linear model to assess the predictive values. Optimal cutoff values were determined using the Youden index, and odds ratios (ORs) with 95% confidence intervals were calculated using Fisher’s exact test. Correlations between cytokines and other variables were analyzed using Spearman’s correlation analysis. All statistical analyses were performed using R 3.6.9 software.
Results
Demographic and clinical characteristics
A total of 159 patients were grouped into three categories: confirmed, probable, and control. The mean age was found to be significant, with an average age of 34.3 years and male predominance. The prevalence of cerebral neoplasms was greater across all groups, with an average of 44·1%, and that of hydrocephalus was higher, with an average of 11·3%. Headache was the most common symptom, with a prevalence of 27·6% among all three groups of patients, followed by vomiting, altered sensorium, and fever, indicating increased intracranial pressure or direct meningeal irritation. Device usage, particularly VP shunts, was the most commonly used (48·2% of all categories) (Table 1). Ventriculoperitoneal (VP) shunts were used in almost half of the participants, indicating that these devices represent a significant risk factor for ventriculitis.
Laboratory parameters
The mean values, standard deviations, and p-values for various biomarkers in the confirmed, probable, and control groups are presented in Table 2.
Elevated IL-6 and TNF-α levels in confirmed ventriculitis highlight a potent proinflammatory response, likely contributing to clinical severity and tissue damage. Although IL-10 is typically anti-inflammatory, its significant increase in confirmed cases suggests a compensatory mechanism that counteracts excessive inflammation. In contrast, the moderate increase in IL-10 in probable ventriculitis may reflect a partially controlled immune response. These cytokine profiles can help assess infection severity, guide early interventions, and signal when inflammation reaches a critical threshold, potentially improving patient outcome.
Biomarker analysis
CSF biomarkers were assessed using ELISA and are represented as scatter and box plots (Figs. 1 and 2). Scatter plots revealed significantly elevated levels of IL-6, IL-10, TNF-α, lactate, PCT, and CRP in confirmed and probable ventriculitis patients compared to controls. Box plots and the Kruskal‒Wallis test revealed significantly elevated IL-6, IL-10, and TNF-alpha levels in confirmed ventriculitis patients.
Scatter plot of CSF biomarkers for confirmed, probable and control group of patients. (a) IL-6, (b) IL-10, (c) TNF-alpha, (d) Lactate, (e) PCT, (f) CRP.
Box plots illustrating the distribution of key biomarkers (IL-6, IL-10, and TNF-alpha) among confirmed ventriculitis, probable ventriculitis, and control groups using Kruskal-Wallis test.
Cytokine profile
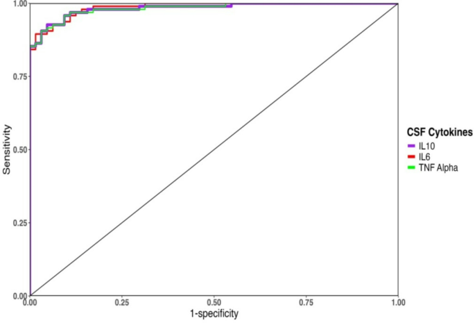
The diagnostic accuracy of CSF cytokines for ventriculitis was evaluated using ROC curve analysis. At an IL-6 cutoff level of 127 pg/ml, the sensitivity and specificity were exceptionally high at 98.4% and 89.4%, respectively (AUC: 0.986; 95% CI). Similarly, IL-10 demonstrated strong diagnostic accuracy, with a sensitivity of 93.0% and specificity of 90.0% at a cut-off of 31.1 pg/ml (AUC: 0.982; 95% CI). TNF-α also showed reliable diagnostic capability, with sensitivity and specificity of 95.3% and 91.5%, respectively, at a cut-off of 46.3 pg/ml (AUC: 0.937; 95% CI) (Table 3; Fig. 3).
ROC curve analysis comparing the overall accuracy of diagnostic tests. A higher AUROC (closer to 1) reflects better test accuracy in separating the two diagnostic tests. Receiver operating characteristic (ROC) curve of cerebrospinal fluid interleukin IL-6, and IL-10 and tumor necrosis factor (TNF)-alpha for the diagnosis of ventriculitis.
Optimal cut-off levels, determined using Youden index analysis, confirmed IL-6, IL-10, and TNF-α as strong biomarkers for ventriculitis, with high sensitivity, specificity, and AUC values, as well as notable PPVs and NPVs. By enabling an early and accurate diagnosis, these cytokines can guide timely interventions and improve patient outcomes in cases of ventriculitis.
Correlations analysis between CSF biomarkers and parameters
We analyzed the correlations between CSF biomarkers and CSF parameters, represented by a full heatmap in Fig. 4. IL-6 was significantly positively correlated with CSF lactate (r = 0.39), cell count (r = 0.29), protein (r = 0.17), IL-10 (r = 0.36), TNF-α (r = 0.24), and CRP (r = 0.57), but negatively correlated with glucose (r = −0.38).
IL-10 was positively correlated with lactate (r = 0.33) and cell count (r = 0.35) but negatively correlated with glucose (r = −0.4). TNF-α showed a positive correlation with protein (r = 0.48) but a negative correlation with glucose (r = −0.25) and TLC (r = −0.08). Figure 5 presents a half-heat map depicting these correlations.
Correlation Heatmap of CSF Biomarkers and Clinical Parameters in Ventriculitis. The dark blue represents a highly positive correlation (r = 1) and grey represents highly negative correlation (r = -1).
Correlation Matrix of CSF Biomarkers and Clinical Parameters in Ventriculitis. A half-heatmap showing the spearman rank correlation between CSF Biomarkers and clinical parameters in ventriculitis. Grey represents positive and light blue represents negative correlation. The Spearman rank correlation between IL-6 and other inflammatory parameters is presented graphically in the form of heatmap.
CSF culture identification
CSF culture analysis revealed a predominance of gram-negative pathogens including Acinetobacter baumannii (39.4%), Escherichia coli (18.2%), Klebsiella pneumoniae (15.2%), and Pseudomonas aeruginosa (6.1%), highlighting their association with nosocomial and device-related infections.
Rare isolates, such as Brevundimonas diminuta and Stenotrophomonas maltophilia, suggest opportunistic infections in immunocompromised individuals. The gram-positive isolates included Corynebacterium striatum, Listeria monocytogenes, and methicillin-resistant coagulase-negative staphylococci (MR-CoNS). These organisms, particularly MR-CoNS, are often associated with healthcare-acquired infections and may be contaminated or colonized in some cases. These findings highlight the need for antimicrobial susceptibility testing, advanced diagnostics, and robust infection-control measures to improve ventriculitis management (Table 4).
Antimicrobial susceptibility pattern
Antimicrobial susceptibility analysis identified colistin as the most effective agent with 100% susceptibility to Acinetobacter baumannii, Klebsiella pneumoniae, and Escherichia coli, emphasizing its role in treating multidrug-resistant (MDR) infections.
Moderate susceptibility to cefoperazone/sulbactam and aminoglycosides suggests their potential use in combination therapies. Gram-positive organisms, including Corynebacterium striatum and MR-CoNS, were susceptible to vancomycin and linezolid, while Listeria monocytogenes remained susceptible to penicillin and ampicillin. These findings highlight the need for routine susceptibility testing, targeted therapy, and stringent infection control measures to address neurocritical care challenges. (Tables 5, 6, 7 and 8).
Discussion
Ventriculitis poses a significant challenge in neurocritical care settings owing to its high morbidity and mortality rates. This study, one of the few from India, investigated various aspects of ventriculitis, including cerebrospinal fluid (CSF) biomarkers, microbial profiles, and diagnostic approaches. The scarcity of similar studies in India highlights the significance of our findings in the regional context.
We included 159 patients categorized into three groups: confirmed ventriculitis (n = 33), probable ventriculitis (n = 62), and control (n = 64). In the present study, the prevalence of confirmed ventriculitis was 20·75%. Statistically significant differences across the patient groups were found in age, hydrocephalus, meningitis, intracranial aneurysm, and stroke. Headache was the most common symptom (27·6%), followed by vomiting, an altered sensorium, and fever. The prevalence of cerebral neoplasms was high across all the groups, although the difference was not statistically significant. Previous studies have reported an association between intracranial tumors and ventriculitis caused by tumor-related obstruction of cerebrospinal fluid (CSF) pathways15.
Compared with the control group, elevated levels of interleukin-6 (IL-6), interleukin-10 (IL-10), tumor necrosis factor-alpha (TNF-α), C-reactive protein (CRP), procalcitonin (PCT), and lactate were observed in both the confirmed and probable ventriculitis groups. This elevation indicates an inflammatory response and infection in patients with ventriculitis. The standard deviations were relatively high across all groups, reflecting the variability in individual biomarker levels. This is consistent with previous studies reporting elevated levels of these biomarkers in patients with ventriculitis16,17. Our findings support the elevation of IL-10 and PCT in patients with ventriculitis, despite variable results in prior studies18,19. Additionally, studies have consistently demonstrated elevated CRP levels in patients with ventriculitis20. Elevated CSF lactate levels have high diagnostic value in distinguishing bacterial ventriculitis from other types of CNS inflammation21.
The observed trends suggest that these biomarkers, particularly IL-6, IL-10, TNF-α, CRP, and PCT, may be valuable indicators for identifying and monitoring ventriculitis progression. Increased levels of polymorphs and lymphocytes, total leukocyte count (TLC), and cell count (CC) were noted in the confirmed ventriculitis group, along with alterations in metabolic parameters such as glucose, lactate, and protein. The lower mean glucose levels observed in the confirmed and probable ventriculitis groups highlight the utility of CSF glucose level as a marker for diagnosing ventriculitis. This observation is supported by several studies indicating that reduced glucose levels in the CSF are a hallmark of bacterial infections in the central nervous system (CNS), including meningitis, encephalitis, and brain abscesses22,23.
The sensitivity and specificity of IL-6 (98.4% and 89.4%, respectively) indicated its potential as a diagnostic biomarker. These findings are consistent with prior research showing elevated IL-6 levels in the CSF of patients with bacterial meningitis and ventriculitis16,24. Similarly, IL-10 (93·0% sensitivity, 90·0% specificity) and TNF-alpha (95·3% sensitivity, 91·5% specificity) show promise for detecting ventriculitis, with elevated levels commonly observed in central nervous system infections17,25,26,27. These cytokines can serve as valuable biomarkers in the diagnosis and management of ventriculitis, aiding clinicians in making appropriate and timely decisions regarding patient care.
In our study, a subset of patients who underwent lumbar puncture for meningitis (5%, 8 out of 159) showed mean CSF levels of IL-6, IL-10, and TNF-alpha of 3254·7 pg/mL, 336·7 pg/mL, and 91·5 pg/mL, respectively. These results suggest that these biomarkers are promising for both the diagnosis and prognosis of meningitis.
ROC curve analysis demonstrated promising diagnostic performance for IL-6, IL-10, and TNF-α, with area under the curve (AUC) values of 0·986, 0·982, and 0·937, respectively. These findings suggest that these CSF biomarkers are effective diagnostic markers for ventriculitis, aiding early detection and intervention.
The predominant gram-negative microorganisms isolated, including Acinetobacter baumannii, Klebsiella pneumoniae, and Escherichia coli, are known pathogens associated with nosocomial infections, including ventriculitis4. The isolation of MR-CoNS suggests the possibility of healthcare-associated infections, especially in patients with previous neurosurgical interventions.
Antibiotic susceptibility patterns revealed that colistin was highly effective against multiple gram-negative organisms, with 100% susceptibility to Acinetobacter baumannii, Klebsiella pneumoniae, and Escherichia coli. Acinetobacter baumannii also showed moderate susceptibility to cefoperazone-sulbactam (61.5%). Klebsiella pneumoniae has 60% susceptibility to meropenem, imipenem, cefoperazone/sulbactam, and gentamicin. E. coli is 50% susceptible to cefoperazone/sulbactam, amikacin, and gentamicin. These results are critical for guiding therapy given the high levels of resistance observed in these pathogens.
Our findings indicate that gram-negative organisms commonly associated with ventriculitis display varying degrees of antibiotic resistance. Previous studies have reported similar patterns for various pathogens28. Previous studies have also demonstrated the effectiveness of vancomycin and linezolid against Corynebacterium species, including the Corynebacterium striatum.29.
A positive correlation was observed between the immune biomarkers IL-6, IL-10, TNF-α, CSF lactate, and protein, whereas a negative correlation was observed with CSF glucose. Hierarchical clustering further revealed that glucose levels were distantly related to both CSF lactate and protein levels. These findings suggest that, in patients with ventriculitis, the inflammatory biomarkers IL-6, IL-10, and TNF-α are associated with increased CSF lactate and protein levels, reflecting increased inflammatory and metabolic activity. An inverse relationship with CSF glucose indicates glucose consumption by activated immune cells or pathogens. Hierarchical clustering emphasizes the distinct metabolic and inflammatory processes impacting glucose levels in the CSF during ventriculitis30.
IL-6 demonstrated remarkable diagnostic performance in this study, with high sensitivity (98.4%) and a significant area under the ROC curve (AUC = 0.986), highlighting its utility as a reliable biomarker for early and accurate detection of ventriculitis. IL-6 can be measured using standardized and widely available immunoassay techniques such as ELISA. Early initiation of targeted therapy based on IL-6 levels could minimize unnecessary use of broad-spectrum antibiotics.
In summary, although all three biomarkers exhibited significant differences across patient groups, further analyses are needed to discern the specific roles and diagnostic accuracies of IL-6, IL-10, and TNF-α in the context of ventriculitis. Several other significant biomarkers that should be explored in the context of ventriculitis include interleukin-1 beta (IL-1β), interferon-gamma (IFN-γ), neopterin, S100B protein, alpha-defensin, presepsin, and heparin-binding protein (HBP).
We also performed a sensitivity analysis of the data by the resampling method and checked for statistical analysis, such as t t-test on the original and resampled datasets. The t-test for the original was − 5.73 and for the resampled − 5.91. The p-value was found to be < 0.05 in both cases. Therefore, we can conclude that there was no significant sampling bias in this study.
Research on ventriculitis in India is limited, with only a few studies and case reports. Kumar et al.31 conducted a retrospective analysis of 47 pediatric patients with meningitis-related ventriculitis at a tertiary care center in Northern India, highlighting the significant morbidity and mortality associated with the condition, while Sharmaet al.32 focused on postneurosurgical Acinetobacter meningitis/ventriculitis, emphasizing the high mortality rates. In addition, age > 40 years, GCS score < 8, presence of EVD, increased CSF WBC count, and presence of comorbidities were risk factors for mortality.
Most studies from India have focused on microbial profiles and antimicrobial susceptibility, with biomarkers such as IL-6, IL-10, or TNF-α receiving little to no attention. This leaves a significant gap in understanding the diagnostic potential of advanced biomarkers in India. The findings of this study propose a ventriculitis algorithm incorporating potential parameters that will serve as a valuable tool for improving patient diagnosis and management.
One of the key limitations of this study is that it was conducted at a single center in India, which may limit the broader applicability of the findings to other geographic regions. Future research should focus on evaluating a more diverse set of biomarkers to identify robust diagnostic and prognostic indicators.
Conclusion
In conclusion, our study highlights the adjunctive diagnostic and prognostic value of CSF biomarkers and diagnostic approaches for patients with ventriculitis. Elevated levels of IL-6, IL-10, TNF-α, CRP, and PCT are associated with ventriculitis and may serve as useful biomarkers. These biomarkers can be measured using widely available immunoassays, thereby providing a feasible diagnostic approach. Its integration into diagnostic workflows could enhance patient outcomes, while ensuring affordability and accessibility in diverse healthcare environments.
Notably, this study is one of the few extensive investigations on ventriculitis biomarkers conducted in India, highlighting its significance in the present research landscape. Given the limited number of studies addressing these biomarkers in the Indian context, our findings highlight the importance of early detection and targeted intervention to improve patient outcomes in neurocritical care settings. Further research using a regional approach is necessary to explore potential novel diagnostic and prognostic biomarkers and treatment strategies for improved patient outcomes.
Data availability
The datasets generated during and/or analysed during the current study are available from the corresponding author on reasonable request.
References
Fukui, M. B., Williams, R. L. & Mudigonda, S. CT and MR imaging features of pyogenic ventriculitis. Am. J. Neuroradiol. 22(8), 1510–1516 (2001).
Harris, L. & Munakomi, S. Ventriculitis. InStatPearls [Internet] 2023 Aug 13. StatPearls Publishing.
Kitchen, W. J. et al. External ventricular drain infection: Improved technique can reduce infection rates. Br. J. Neurosurg. 25(5), 632–635 (2011).
Tunkel, A. R. et al. 2017 Infectious diseases society of America’s clinical practice guidelines for healthcare-associated ventriculitis and meningitis. Clin. Infect. Dis. 64(6), e34–65 (2017).
Network, N. & H.S. CDC/NHSN Surveillance Definitions for Specific Types of Infections. Center for Diseases Control and Prevention (CDC); Atlanta, GA, USA: (2021).
Humphreys, H. et al. Surveillance of infection associated with external ventricular drains: Proposed methodology and results from a pilot study. J. Hosp. Infect. 95(2), 154–160 (2017).
Adapa, A. R. et al. Risk factors and morbidity associated with surgical site infection subtypes following adult neurosurgical procedures. Br. J. Neurosurg. 38(2), 503–509 (2024).
van de Beek, D., Drake, J. M. & Tunkel, A. R. Nosocomial bacterial meningitis. N. Engl. J. Med. 362(2), 146–154 (2010).
Lozier, A. P., Sciacca, R. R., Romagnoli, M. F. & Connolly, E. S. Jr Ventriculostomy-related infections: A critical review of the literature. Neurosurgery 62, SHC–688 (2008).
Simon, T. D. et al. Risk factors for first cerebrospinal fluid shunt infection: Findings from a multicenter prospective cohort study. J. Pediatr. 164(6), 1462–1468 (2014).
Sakushima, K., Hayashino, Y., Kawaguchi, T., Jackson, J. L. & Fukuhara, S. Diagnostic accuracy of cerebrospinal fluid lactate for differentiating bacterial meningitis from aseptic meningitis: A meta-analysis. J. Infect. 62(4), 255–262 (2011).
Abudeev, S. A. et al. Cerebrospinal fluid presepsin as a marker of nosocomial infections of the central nervous system: A prospective observational study. Front. Neurol. 9, 58 (2018).
Liu, Z. H. et al. Raised Proinflammatory cytokine production within cerebrospinal fluid precedes fever onset in patients with neurosurgery-associated bacterial meningitis. Crit. Care Med. 43(11), 2416–2428 (2015).
Lenski, M. et al. Interleukin 6 in the cerebrospinal fluid as a biomarker for onset of vasospasm and ventriculitis after severe subarachnoid hemorrhage. World Neurosurg. 99, 132–139 (2017).
Bir, S. C. et al. Evaluation of ventriculoperitoneal shunt-related complications in intracranial meningioma with hydrocephalus. J. Neurol. Surg. Part. B: Skull Base 78(01), 030–036 (2017).
Pfister, H. W., Feiden, W. & Einhäupl, K. M. Spectrum of complications during bacterial meningitis in adults: Results of a prospective clinical study. Arch. Neurol. 50(6), 575–581 (1993).
McCoy, M. K. & Tansey, M. G. TNF signaling Inhibition in the CNS: implications for normal brain function and neurodegenerative disease. J. Neuroinflamm. 5, 1–3 (2008).
Godoy, D. A. & Piñero, G. R. (eds) Intensive Care in Neurology and Neurosurgery: Pathophysiological Basis for the Management of Acute Cerebral Injury (SEEd, 2013).
Schuetz, P. et al. Procalcitonin to initiate or discontinue antibiotics in acute respiratory tract infections. Evidence-Based Child. Health: Cochrane Rev. J. 8(4), 1297–1371 (2013).
Brouwer, M. C., Thwaites, G. E., Tunkel, A. R. & van de Beek, D. Dilemmas in the diagnosis of acute community-acquired bacterial meningitis. Lancet 380(9854), 1684–1692 (2012).
Brouwer, M. C., Tunkel, A. R. & van de Beek, D. Epidemiology, diagnosis, and antimicrobial treatment of acute bacterial meningitis. Clin. Microbiol. Rev. 23(3), 467–492 (2010).
Brouwer, M. C., Coutinho, J. M. & van de Beek, D. Clinical characteristics and outcome of brain abscess: Systematic review and meta-analysis. Neurology 82(9), 806–813 (2014).
AR T. Pathogenesis and pathophysiology of bacterial meningitis. ClinMicrobiol Rev. 6, 118–136 (1993).
Tunkel, A. R. & Scheld, W. M. Pathogenesis and pathophysiology of bacterial meningitis. Clin. Microbiol. Rev. 6(2), 118–136 (1993).
Skar, G. L. et al. Identification of potential cerebrospinal fluid biomarkers to discriminate between infection and sterile inflammation in a rat model of Staphylococcus epidermidis catheter infection. Infect. Immun. 87 (9), 10–128 (2019).
Coutinho, L. G., Grandgirard, D., Leib, S. L. & Agnez-Lima, L. F. Cerebrospinal-fluid cytokine and chemokine profile in patients with Pneumococcal and meningococcal meningitis. BMC Infect. Dis. 13, 1–9 (2013).
Barry, O. P., Praticò, D., Lawson, J. A. & FitzGerald, G. A. Transcellular activation of platelets and endothelial cells by bioactive lipids in platelet microparticles. J. Clin. Investig. 99(9), 2118–2127 (1997).
Ye, Y., Kong, Y., Ma, J. & Shi, G. Carbapenem-resistant gram-negative bacteria-related healthcare-associated ventriculitis and meningitis: Antimicrobial resistance of the pathogens, treatment, and outcome. Microbiol. Spectr. 10(3), e00253–e00222 (2022).
Milosavljevic, M. N. et al. Antimicrobial Treatment of Corynebacterium striatum Invasive Infections: a Systematic Review63e49 (Revista do Instituto de Medicina Tropical de São Paulo, 2021).
Ziai, W. C. et al. Early inflammatory cytokine expression in cerebrospinal fluid of patients with spontaneous intraventricular hemorrhage. Biomolecules 11(8), 1123 (2021).
Kumar, R., Singhi, P., Dekate, P., Singh, M. & Singhi, S. Meningitis related ventriculitis–experience from a tertiary care centre in Northern India. Indian J. Pediatr. 82(4), 315–320 (2015).
Sharma, R. et al. Outcome following postneurosurgical acinetobacter meningitis: An institutional experience of 72 cases. Neurosurg. Focus 47(2), E8 (2019).
Author information
Authors and Affiliations
Contributions
S.G: Data Curation, Formal Analysis, Methodology, Validation, Writing - original draft, Writing - review & editing. S.S.R: Data Curation, Formal Analysis, Software, Validation, Methodology, Writing - review & editing. V. T: Data curation, ResourcesA. R: Conceptualization, Data curation, Resources. A. K : Data curation, ResourcesN. S: Investigation, Validiation. V. HB: Conceptualization, Investigation, Project Administration, Validation, Supervision, Writing - review & editing.
Corresponding author
Ethics declarations
Competing interests
The authors declare no competing interests.
Consent for publication
During the preparation of this work, the author(s) used ChatGPT to improve the language. After using this tool/service, the author(s) reviewed and edited the content as needed and take(s) full responsibility for the content of the publication.
Additional information
Publisher’s note
Springer Nature remains neutral with regard to jurisdictional claims in published maps and institutional affiliations.
Rights and permissions
Open Access This article is licensed under a Creative Commons Attribution-NonCommercial-NoDerivatives 4.0 International License, which permits any non-commercial use, sharing, distribution and reproduction in any medium or format, as long as you give appropriate credit to the original author(s) and the source, provide a link to the Creative Commons licence, and indicate if you modified the licensed material. You do not have permission under this licence to share adapted material derived from this article or parts of it. The images or other third party material in this article are included in the article’s Creative Commons licence, unless indicated otherwise in a credit line to the material. If material is not included in the article’s Creative Commons licence and your intended use is not permitted by statutory regulation or exceeds the permitted use, you will need to obtain permission directly from the copyright holder. To view a copy of this licence, visit http://creativecommons.org/licenses/by-nc-nd/4.0/.
About this article
Cite this article
Gupta, S., Rajan, R.S.S., Vidhya, T. et al. Evaluating the diagnostic significance of biomarkers in ventriculitis through a multivariate correlation study in a tertiary care center. Sci Rep 15, 33754 (2025). https://doi.org/10.1038/s41598-025-97744-3
Received:
Accepted:
Published:
Version of record:
DOI: https://doi.org/10.1038/s41598-025-97744-3







