Fig. 1
From: Selective apoptosis induction by antimicrobial peptide TP4 in MCF-7 breast cancer cells

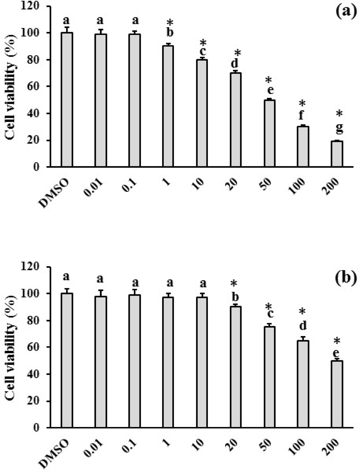
Cytotoxic activity of Tilapia piscidin 4 (TP4) against MCF-7 (a), and MCF-10 (b) cells after 24 h incubation. Each value represents the Mean ± SD of three replicates. Different letters show significant difference between groups at p < 0.05 level. Asterisks (*) indicates significant difference between control (DMSO) and treatment groups at p < 0.01 level. Control group was not shown due to no significant difference between DMSO and control group.