Abstract
Liquefaction of coral sand foundations under explosive loads poses significant risks to the safety of upper buildings. In this paper, a coral sand foundation and upper buildings are taken as the research objects, and dynamic tests of buildings in coral sand foundations are conducted via the electrolytic desaturation method under the action of multiple charge packages with delay. The experimental results show that the delayed detonation of multiple charges produces multiple loading effects, the excess pore pressure ratio rapidly decays exponentially with increasing proportional distance. After electrolytic desaturation reinforcement with 700 min and a constant current of 2 A, the degree of saturation of the coral sand foundation decreases from 100 to 85%, and the maximum reduction of the excess pore pressure ratio in the foundation is approximately 33%. The effect of electrolytic desaturation on the acceleration response of the structure is relatively small, but the vertical settlement of the structure in saturated foundation is reduced by approximately 30% compared with that in desaturated foundation. The numerical results show that the empirical prediction formula for multi charge explosion liquefaction can better reflect the trend of site liquefaction with increasing distance. For saturated and loose coral sand sites with a small thickness of the soil layer above the charge, the Studer’s empirical model is suitable for prediction.
Similar content being viewed by others
Introduction
Coral islands and reefs, widely distributed across tropical oceans, as shown in Fig. 1. Due to their loose, water-saturated calcareous sand foundations, it presents unique geotechnical challenges. These foundations are highly susceptible to liquefaction under high-intensity dynamic loads such as explosions, earthquakes, or wave impacts, posing severe risks to overlying infrastructure like buildings, ports, and airstrips1,2. The liquefaction phenomenon occurs when rapid loading induces a sharp rise in pore water pressure, reducing effective stress and causing the soil to behave like a viscous fluid. Despite the urgency of addressing this issue, the remote and ecologically sensitive nature of reef environments complicates in-situ testing, leaving much of the existing research confined to controlled laboratory settings or analogous siliceous sand studies3. Consequently, the liquefaction mechanisms specific to calcareous sand—characterized by irregular particle shapes, high intraparticle porosity, and crushability—remain poorly understood, creating a critical knowledge gap for island engineering projects.
Early investigations into explosion-induced liquefaction often idealized explosive loads as triangular pulses to capture their transient, high-energy characteristics4. This simplification allowed researchers to model the single-peak pressure profile, short duration (typically milliseconds), and rapid decay of blast waves. Allen and Villano et al.5,6 advanced this understanding by developing a one-dimensional viscoelastic-plastic model to simulate particle rearrangement in saturated sand under explosive loading. Their work demonstrated that irreversible deformations during grain reorientation drive pore water pressure accumulation while diminishing effective stress, a mechanism later validated through controlled detonation experiments. Bretz7 expanded these insights by proposing a theoretical framework for pore water pressure generation under spherical explosive waves, emphasizing the role of compressional wave propagation in saturated media. Concurrently, Qian and Wang8 formulated finite element equations to describe saturated soil behavior under blast waves, incorporating artificial viscosity terms to stabilize numerical solutions. Their simulations revealed that air content significantly influences wave attenuation, with higher air concentrations dampening pore pressure buildup—a finding critical for designing explosion-resistant foundations. Wang et al.9 further refined these models by integrating the effective stress principle into a three-phase (solid-liquid-gas) dynamic framework, enabling liquefaction analysis across saturation states. Experimental validation by Zhao10 using a planar wave loader highlighted distinct hardening behavior in saturated soils under small explosive loads: wave velocity surged from 50 m/s to 475 m/s as particles compacted, contrasting sharply with unsaturated soils’ response. These studies collectively underscored the need for saturation-dependent constitutive models to predict liquefaction under blast loading accurately.
The transition from single to multiple delayed explosions marked a pivotal shift in liquefaction research, as sequential blasts were found to induce broader liquefaction zones with reduced peak strains—a phenomenon highly relevant to large-scale engineering applications. Al Qassim11 systematically explored this effect, demonstrating that millisecond delays between charges enhance liquefaction efficiency at proportional distances exceeding 20 m/kg1/3. By decoupling the timing of pressure waves, delayed explosions allow pore pressures from preceding blasts to accumulate, amplifying soil fluidization. Liu et al.12 extended this work through field-scale experiments, employing single-point and multi-point millisecond explosions in saturated sandy soils. Their results showed that multi-point configurations generate overlapping pressure fields, creating uniform liquefaction across larger areas. Additionally, they pioneered “differential explosion technology,” strategically positioning charges to simulate realistic blast scenarios and validate methods for constructing controlled liquefaction test sites. These advancements not only improved the reproducibility of field experiments but also provided a foundation for studying structural responses, such as the settlement of concrete slabs and embankments on liquefied ground.
To mitigate liquefaction risks, desaturation techniques—aimed at reducing soil saturation below 100%—have emerged as a promising countermeasure. Early efforts by Okamura13 focused on direct air injection, where compressed air was forced into liquefiable soil via perforated pipes. While effective in lowering saturation, this method risked soil fracturing if injection pressures exceeded the soil’s tensile strength, limiting its practical application. Indirect desaturation methods, including chemical14, biological15, and electrolytic approaches16, address this limitation by generating in situ gas bubbles without high-pressure injection. Biological desaturation leverages microbial denitrification to convert nitrates into nitrogen gas, while chemical methods employ reactive agents like sodium perborate to produce oxygen bubbles through hydrolysis. However, concerns over environmental contamination and limited long-term stability hindered their widespread adoption.
Electrolytic desaturation, first proposed by Yegian et al.17,18, circumvented these issues by using inert titanium electrodes to electrolyze pore water, producing hydrogen and oxygen gases directly within the soil matrix. Their pioneering experiments with Ottawa sand demonstrated that sustained electrolysis at 2 A for 24 h could reduce saturation from 100 to 94%, significantly enhancing liquefaction resistance. Chen et al.19,20 optimized this technique by testing vertical, horizontal, and diagonal electrode configurations. Horizontal arrangements proved most efficient, generating uniform gas distribution and achieving saturation reductions of up to 12% within 10 h. Crucially, post-electrolysis monitoring revealed that bubbles remained stable for weeks, confirming the method’s durability—a finding later corroborated by Zeybek and Madabhushi22 in centrifuge tests simulating long-term vibrational loads. Okamura21 further quantified the benefits of partial saturation through cyclic triaxial tests, showing that sand at 70–96% saturation required 30–50% higher cyclic stresses to initiate liquefaction compared to fully saturated samples. These studies collectively established electrolysis as a scalable, eco-friendly solution for improving foundation resilience.
Despite these advances, current research disproportionately focuses on seismic liquefaction mechanisms, with limited attention to explosion-induced phenomena—particularly for calcareous sand. Existing models, calibrated primarily for siliceous sands, fail to account for calcareous sand’s unique properties, such as particle crushing under load or high initial permeability1,9. Furthermore, the interplay between desaturation and structural performance (e.g., building settlements, accelerations) under blast loading remains virtually unexplored. This study bridges these gaps by integrating three key components: (1) electrolytic desaturation of calcareous sand to 85% saturation, (2) dynamic response testing of foundation-structure systems under multi-charge millisecond explosions, and (3) numerical modeling to establish a predictive framework for blast-induced liquefaction. By correlating pore pressure dynamics, saturation levels, and structural damage metrics, the research aims to deliver actionable insights for designing explosion-resistant infrastructure on coral reefs.2. General situation of explosion experiments on a coral sand foundation.
General situation of explosion experiments on a coral sand foundation
Experimental site
The experimental site is located in Liyang city, Changzhou, Jiangsu Province (31°21’ N,119°23E). As shown in Fig. 2, after excavation machinery is used to remove surface vegetation for levelling, the excavated soil forms an experimental pit with a bottom diameter of 2.0 m, a top diameter of 2.5 m, and a depth of 1.0 m.
Basic properties of the backfill coral sand
The coral sand used in the experiment was taken from a certain island and reef, and its grading curve and an electron microscopy image are shown in Fig. 3. The basic physical parameters are listed in Table 1. The artificial sand rain method was used to backfill coral sand into the experimental pit, and the onsite cone penetration test (CPT) revealed that the relative density of the saturated coral sand foundation was approximately 45%. The backfill sand is poorly graded and uniformly distributed fine sand (SP, according to the Unified Soil Classification System), with particles mainly in the form of flakes and branches, which are prone to liquefaction under dynamic loads23.
Structure model production
Taking a typical 3-story reinforced concrete frame structure as the research object, each layer has a height of 3.5 m, a plate thickness of 450 mm, a column width of 400 mm, and an overall side length of 6.0 m. The building foundation adopts an independent foundation under the column, with a side length of 1.2 m and a thickness of 500 mm. Owing to site size limitations, scaled model experiments were conducted on the abovementioned three story structures. Using 3D printing equipment, a scaled model of the structure was created with a similarity ratio of 1:10. Moreover, to better reflect the dynamic response characteristics of reinforced concrete, a certain amount of glass fibre was added to the raw materials used for 3D printing to increase the overall stiffness of the structural model. The entity and dimension annotations are shown in Fig. 4.
Desaturation reinforcement plan
The electrolysis method was used in these experiments for saturation reduction reinforcement. Figure 5 shows the programmable power supply and electrocardiogram (EKG) electrode plate used in this experiment. Programmable power supplies have programmable functions and can dynamically regulate and monitor electrical indicators during the electrolysis process. The EKG electrode plate is a mixed structure of plastic and conductive metal wire, which is widely used as an electrode material in the study of soft clay electroosmotic reinforcement. The outer side of the electrode plate contains grooves and is covered with a geotextile, which can perform drainage operations while reducing electrolytic saturation, effectively improving the efficiency of saturation reduction. The electrolytic desaturation method can effectively reduce the saturation of the foundation, thereby improving the stability of the foundation. Nowadays, it is a commonly used method to improve the liquefaction resistance of foundations. However, in the application process, reasonable design of the foundation is required, such as electrode materials, conversion of AC and DC electricity, magnitude of current intensity, and safety protection measures.
Multidrug package deployment and measurement plan
For the on-site experiments, black gunpowder was selected as the explosive source, with a TNT equivalent of 0.4. The TNT equivalent of the explosive used in the on-site experiments was 20 g, and an electronic igniter was used to achieve differential detonation of the black gunpowder. The black gunpowder and TNT used in the experiment are shown in Fig. 6. The detonation delay of adjacent charges was 200 ~ 300 ms.
In the multi charge millisecond explosion liquefaction experiment, 6 charge packs with 45 g black powder were deployed. As shown in Fig. 7, the charges are evenly spaced on a circular arc with a radius of 1.0 m and a burial depth of 1.0 m. The detonation sequence of the charges is BE1 → BE2 → BE3 → BE4 → BE5 → BE6, and the designed detonation delay of adjacent charges does not exceed 300 ms. According to Chen’s research24, when the blasting delay between explosives was set 300ms, it is beneficial for the accumulation of pore water pressure under the action of millisecond delay blasting. A panoramic view of the on-site experiment is shown in Fig. 8, the positions of pore pressure sensors are given in Table 2.
The pore pressure sensor adopts a specially designed anti-explosion vibrating wire pore pressure sensor with a range of 0.3 MPa and frequency of 10k Hz; The acceleration sensor adopts a three-direction acceleration sensor specifically designed for blast resistance, with a sampling frequency set to 10 kHz and the amplitude is 20 g. By monitoring the strain at the monitoring point, the bending moment at the monitoring point can be calculated according to the formula.
Results of multicharge explosion liquefaction experiments under the action of saturation reduction
Macroscopic phenomena of sand boiling
An explosive load is different from an earthquake load and has obvious instantaneous high impact characteristics. Therefore, the response of the excess pore water pressure in soil under explosive loading also has obvious characteristics. Three stages generally occur: the increase in peak pore water pressure caused by instantaneous direct impact compression after an explosion, the short-term accumulation stage of excess pore water pressure after explosion wave propagation, and the relatively long period of excess pore-water pressure dissipation after an explosion. Similar to earthquake liquefaction, surface sand boiling is also a typical macroscopic phenomenon of explosive liquefaction.
In the experiment in which large-area liquefaction was induced at a site using 6 explosive packages with slight delay detonation, approximately 1 s after the explosive detonation, local sandblasting and water seepage occurred in the area above the explosive packages in the experimental pit. Figure 9 shows a significant “sand boiling” phenomenon occurring within a 30 cm range around the explosive point BE1, indicating that liquefaction has occurred in that area. Similar phenomena can also be observed near other multiple charge packages at the site, but the impact range of sand boiling is not the same, which is related to various factors, such as differences in soil softness and drainage channels within the site.
Response of pore water pressure in coral sand
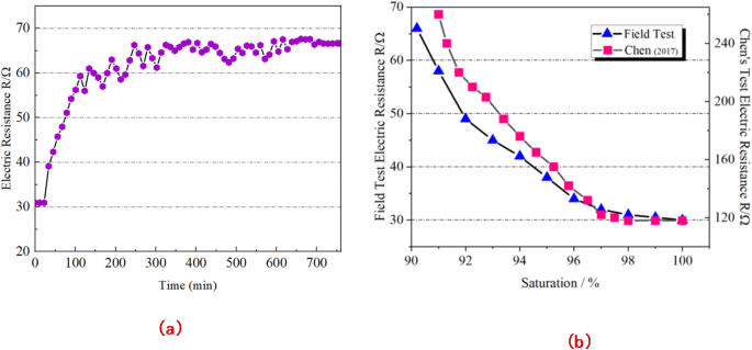
During the electrolysis process, gas will be generated between the cathode and anode, reducing the degree saturation of the foundation and increasing its resistance value. As the electrolysis process increases, the amount of gas gradually increases, and the monitored resistance value gradually increases. When the electrolysis reaches 700 min, the gas produced by electrolysis tends to stabilize in the foundation, and the resistance value remains basically unchanged, as shown in the Fig. 10(a). When there is gas in the foundation, it will move up along the weak surface in the foundation, forming a scheduling channel. During the process of inflation and saturation reduction, the inflation pressure plays a dominant role in the damage to the foundation. During the process of electrolytic desaturation, the current intensity plays a decisive role in the strength of foundation damage. Before conducting on-site experiments, we conducted preliminary tests and found that when the current intensity is 2 A, the rate of gas generation is slow, and the destructive effect on the foundation can be ignored. Therefore, the field test electrolysis process is slow, and the total electrolysis saturation time is 700 min.
According to the changes in resistance values monitored during the field test, and based on Archie’s25 empirical formula between saturation and equivalent resistance, the equivalent resistance value of the coral sand foundation increased from 31.53Ω to about 65.28Ω after 700 min of electrolysis, and the saturation decreased from 100 to 89.5%. As shown in Fig. 10(b), in the field test, the trend of resistance values changing with saturation was similar to that of Chen’s26 study, but the specific resistance values were slightly different, which was limited by the site type and the magnitude of the current during the electrolysis process.
Using 2 A constant current electrolysis for 700 min in a saturated foundation, the saturation of the coral sand foundation was reduced from 100% to approximately 85%, and then a multi charge millisecond explosion liquefaction test was conducted. The commonly used methods for testing saturation include pore water pressure coefficient, volumetric modulus of gas containing water, and equivalent resistance. The methods of pore water pressure coefficient and volumetric modulus of gas containing water are mainly used for laboratory sample testing. The equivalent resistance method was commonly used in field tests. By comparing the advantages and disadvantages of different methods, the equivalent resistance method was ultimately chosen mainly because it provides more accurate and sensitive measurements of changes in foundation saturation27.
Figure 11 shows the time-history curves of the excess pore pressure ratio at each pore pressure monitoring point PP1-15 during the explosion liquefaction test of multiple charge packs with desaturation reinforcement. After electrolysis and saturation reduction reinforcement, the excess pore water pressure of each pore pressure sensor in the saturated coral sand foundation is basically consistent with that in the nonsaturation reinforcement condition, both of which exhibit violent oscillations and increases at the moment of explosion. In addition, significant fluctuations in the pore pressure sensor occur at the moment of explosion.
The excess pore pressure ratio at each pore pressure monitoring point is summarized in Table 3. As the proportional distance increases, the excess pore pressure ratio at each pore pressure monitoring point gradually decreases, and the excess pore pressure ratio monitored by each pore pressure sensor is smaller than that in the unsaturated reinforcement condition. The most advantageous effect of reducing saturation after 700 min of electrolysis at a current of 2 A occurs at the pore pressure monitoring point PP14. At pore pressure monitoring point PP14, the peak value of the excess pore pressure ratio was 0.63.
Floor acceleration response
After saturated coral sand was electrolyzed for 700 min at a current of 2 A, the acceleration response monitored by each acceleration sensor monitoring point of the structure is shown in Fig. 12. The blasting delay of adjacent charges ranges from 86 to 158 ms. The value of the maximum acceleration response detected at monitoring point A1 on the first floor of the structure was 11.05 m/s2. The value of the minimum acceleration response detected at monitoring point A3 on the third floor of the structure was 9.08 m/s2. The peak acceleration at monitoring point A2 on the second floor of the structure was approximately 10.46 m/s2. The acceleration response of the structure gradually decreases with increasing height under the slight difference in the explosion liquefaction effect of multiple charge packages.
Column bending moment response
The variation in the peak bending moment of the upper structure column along the height is shown in Fig. 13. According to Fig. 13, under the liquefaction effect of multiple explosive packages, the bending moment of the bottom column of the upper structure in the coral sand foundation is the highest, with a peak value of approximately − 4.78 N·cm. The bending moment value of the columns in the second layer structure is second highest, whereas the bending moment value of the columns in the third layer structure is the lowest, with a peak value of -2.41 N·cm and a minimum value of approximately − 0.58 N·cm. In addition, the tensile and compressive strains of the columns at the same position are basically consistent.
Upper structure displacement response
The seismic settlement and displacement of the upper structure are shown in Fig. 14. The upper structure is characterized mainly by the impact of the explosion wave on the structure at the moment of explosion, causing an increase in the excess pore water pressure in the foundation and a decrease in the effective stress, resulting in a decrease in the bearing capacity of the saturated coral sand foundation. This causes the structure to tilt in the y-axis direction, with the maximum tilt of the upper structure in the y-direction, which is approximately 155.8 mm. The peak settlement of the superstructure in the z-direction is approximately 163.4 mm.
Research on the mechanism of the interaction between an unsaturated foundation and buildings
To study the impact mechanism of saturation reduction measures on explosive liquefaction, as an alternative and supplement to on-site experiments, numerical simulation experiments of explosive shock dynamics were used to investigate the effects of different detonation distances, pore water pressures, etc.
Selection of constitutive models
-
(1)
High-energy explosive model.
The high-energy explosive combustion model and Jones-Wilkins-Lee (JWL) state equation28 were used to simulate high-energy explosives. The JWL state equation can accurately describe the pressure, volume, and energy characteristics of detonation products during the explosion process, and its relationship is as follows:
where A, B, R, R2, and ω are all input parameters of the material obtained via cylindrical test calibration or other fitting methods; \({P_{\text{e}}}\) is the pressure generated by the explosion; \({V_r}\) is the relative specific volume, which is the ratio of the volume of detonation products to the initial volume of the charge (the initial volume of the explosive is obtained from the given mass and density of the explosive); and \({E_0}\) is the specific internal energy of the detonation product.
-
(2)
Saturated sand material model.
The FHWA soil model (MAT147) describes the properties of fully saturated sand, including the strain rate effect, strain softening (hardening), pore effect, and pore water pressure of materials, and is a more suitable material model for saturated soil explosion calculation problems. To ensure the effectiveness and stability of the numerical calculations under low confining pressure, the model adopts a modified Mohr–Coulomb (M–C) yield surface to avoid singularity problems at the intersection of the yield surface and the hydrostatic pressure axis under low stress, as shown in Fig. 15.
The modified M–C yield surface function is expressed as follows:
where P is the pressure; \(\varphi\) is the internal friction angle; c is the cohesive force; \(K(\theta )\) is a function of the tensor plane angle; \({J_2}\) is the second invariant of the deviatoric stress tensor; and a is the yield surface coefficient, which is used to describe the compatibility between the modified yield surface and the standard M‒C yield surface. When a = 0, the corrected yield surface degenerates into the standard M‒C yield surface. When a takes a nonzero value, the corrected yield surface deviates from the initial yield surface. From a numerical calculation perspective, the coefficient a should be as close to zero as possible and can usually be taken according to equation:
The yield surface of the FHWA soil model standard presents a more realistic triangular shape under low confining pressure conditions:
where \({J_3}\) is the third invariant of the deviatoric stress tensor and \({e_s}\) is the ratio of the triaxial tensile strength to the compressive strength, which needs to be 0.5< \({e_s}\) ≤ 1.0. When \({e_s}\)= 1.0, it degenerates into the initial conical yield surface. MAT 147 describes the relationship between the pore water pressure and volumetric compressive strain via the relationship between the water content and bulk modulus as follows:
where \({K_{sk}}\) is the volumetric strain factor (pore water pressure coefficient), whose physical meaning is the volumetric modulus of the soil without gas pores; \({\varepsilon _v}\) is the total volumetric strain; \({n_{cur}}\) is the current porosity; and D2 is the material constant that controls the pore water pressure before gas pore collapse, which can be calculated via the Skempton pore water pressure coefficient \({B_s}\).
Among them,
where \({n_s}\) is the porosity; \({S_r}\) is the soil saturation; and K is the initial bulk modulus of the soil. For dry soil, owing to the high compressibility of air, K is much smaller than \({K_{sk}}\); that is, \({B_s}=0\). For saturated soil, the compressibility of pore water is much lower than that of the soil skeleton, manifested as \({K_{sk}}\) being much smaller than K; that is, \({B_s}=1\), and D2 = 0. The specific gravity of saturated sand in the initial calculation model is 2.63, the density is 1960 kg/m3, the bulk modulus and shear modulus are 68.6 MPa and 23.8 MPa, respectively, and the moisture content is 37.3%.
-
(3)
Concrete material model.
The Holmquist-Johnson-Cook (HJC) model is a constitutive model proposed by Holmquist for concrete under high strain and high strain rate conditions, which considers material damage, strain rate effects, and the influence of hydrostatic pressure. This model is very suitable for calculating the large deformation problem of concrete materials under high strain rate conditions and can effectively describe the mechanical properties of concrete under explosion, impact, and penetration. The HJC model mainly includes the yield surface equation, damage evolution equation, and state equation.
The yield surface equation of the HJC model is expressed as follows:
Here, \({\sigma ^*}{\text{=}}\sigma /{f^{\prime}_c}^{\prime }\) is the normalized equivalent yield strength, where \(\sigma\) is the true equivalent strength and \({f^{\prime}_c}^{\prime }\) is the quasistatic uniaxial compressive strength. A, B, C, D, and N are the normalized viscosity strength, normalized pressure hardening coefficient, strain rate influence coefficient, damage degree, and pressure hardening coefficient, respectively. \({P^*}{\text{=}}P/{f^{\prime}_c}^{\prime }\) is the dimensionless pressure, where P is the hydrostatic pressure within the unit. \({\dot {\varepsilon }^*}=\dot {\varepsilon }/{\dot {\varepsilon }_0}\) is the dimensionless strain rate, where \(\dot {\varepsilon }\) is the strain rate and \({\dot {\varepsilon }_0}=1.0/s\) is the reference strain rate.
The HJC model describes the damage situation of concrete through the equivalent plastic strain and plastic volumetric strain, and its expression is as follows:
where \(\Delta {\mu _p}\) and \(\Delta {\varepsilon _p}\) represent the equivalent plastic strain and plastic volumetric strain of the element within an integral time step, respectively; D1 and D2 are damage parameters; and \({T^*}=T/{f^{\prime}_c}^{\prime }\) is the maximum hydrostatic pressure (dimensionless).
The HJC model describes the relationship between the pressure and volumetric strain of concrete through state equations and uses different polynomial equations to describe the relationship between the pressure and volumetric strain in the elastic zone, crushing zone, and compaction zone during the compression stage of concrete.
Establishment and validation of numerical models
The radius of the saturated sand foundation is 1.25 m, and the burial depth of the explosive package is 1.0 m. To reduce the reflection of the saturated explosion wave and obtain more accurate calculation results, the burial depth of the foundation is set to 1.2 m. The finite element calculation model is divided into 28,416 finite element elements and 31,365 nodes, as shown in Fig. 16. The upper surface of the soil model is the contact surface of the structure, so it is set as a free surface, and a nonreflective edge interface is set around the soil model. Moreover, the bottom surface of the soil model is constrained, and the nodes at the contact positions of the structure and the soil model are merged.
When strain softening occurs, the effective stiffness of the element becomes very small, causing distortion of the element. When unit deletion is set in the calculation, it is easy to generate adverse shock waves in the model, which can interfere with the calculation results. Therefore, unit deletion is not considered in the final calculation. Before the pore water pressure under explosive loading is calculated, the initial pore water pressure is first computed, as shown in Fig. 17. The calculated initial pore water pressure is basically consistent with the distribution pattern under natural sedimentary conditions.
Response analysis of the pore water pressure coefficient\({K_{{\text{sk}}}}\)
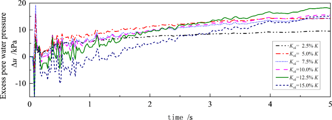
Figure 18 shows the time-history curves of the excess pore water pressure (\({K_{{\text{sk}}}}\)= 7.5% K) at the tracer points with detonation distances of 2.55 m, 3.39 m, and 4.92 m in the depth plane of the buried charge (d = 2 m). As shown in the figure, the excess pore water pressure decreases significantly with increasing burst distance. of The initial bulk modulus values of saturated sand, namely, 2.5%, 5.0%, 7.5%, 10%, 12.5%, and 15%, are selected as input values for the pore water pressure coefficient \({K_{{\text{sk}}}}\).
Figure 19 shows the influence curve of the coefficient \({K_{{\text{sk}}}}\) on the excess pore water pressure at the tracer point. The measurement point is located at a depth of 2 m (within the buried explosive plane), with a burst distance of 2.55 m. When Ksk/K is less than 15%, as \({K_{{\text{sk}}}}\) increases, the excess pore water pressure at the tracer point tends to increase. When Ksk/K is greater than 10%, as \({K_{{\text{sk}}}}\) increases, the calculation stability time significantly increases, and the unstable oscillation phenomenon of excess pore water pressure begins to appear in the later stage of calculation. When Ksk/K is high, the initial excess pore water pressure after the explosion exhibits a sudden negative pressure phenomenon. Studies by B A. Lewis and W Y. Lee revealed that numerical calculations can obtain satisfactory growth patterns and amplitudes of excess pore water pressure for Ksk/K values ranging from 5 to 10%.
Analysis of the influence of the initial vertical effective stress
Figure 20 shows the relationship curve between the excess pore water pressure \(\Delta u\) and the proportional distance Z under different initial vertical effective stress (drug package embedding depth) conditions. Before the saturated sand is in a fully liquefied state, the excess pore water pressure \(\Delta u\) rapidly decays with increasing proportional distance Z. Under the same proportional distance conditions, the excess pore water pressure \(\Delta u\) increases with increasing initial effective stress \(\sigma _{{{\text{v}}0}}^{\prime }\). This manifests as an increase in the thickness of the soil overlying the charge package, which, to some extent, increases the excess pore water pressure, but the growth rate of the excess pore water pressure gradually slows.
Figure 21 shows the effect of the initial vertical effective stress \(\sigma _{{{\text{v}}0}}^{\prime }\) on the ratio of the excess pore water pressure \({r_u}\) in the soil, which is compared with the logarithmic and power law formulas. When the burial depth of the charge is 2 m, it is a shallow-buried charge explosion problem, and the energy transfer process of the explosion is affected by the free surface, resulting in a small increase in the pressure of the excess pore water. In the area close to the explosion source, the energy of the explosion wave is relatively high, and the proportion of energy lost through the free surface is small. However, as the explosion energy decreases geometrically in space with increasing detonation distance, the influence of the free surface gradually increases. At this time, the excess pore water pressure ratio at the same detonation distance is significantly lower than that in a closed explosion situation. Because the initial vertical effective stress range applicable to empirical formulas is greater than 33 kPa, only empirical extrapolation can be used to predict the explosion liquefaction problem in saturated sandy soils with burial depths of 2 m, 2.5 m, and 3 m. This is also the main reason for the deviation in empirical prediction29.
Effect of the initial vertical effective stress on the excess pore water pressure ratio29(This figure was drawn by Excel 2019 version).
Conclusion and discussion
This article mainly focuses on the impact of multiple explosions on the stability of multi story building foundations on islands and reefs. It explores, experimentally and numerically, the mechanisms governing the liquefaction behavior of sandy soils mitigated through the electrolytic desaturation method and examines the dynamic response of buildings on coral sand foundations under explosive loads. The findings from the field experiments were combined with the results from numerical studies to provide insights into the feasibility of using the electrolytic desaturation method as a liquefaction countermeasure, particularly for liquefiable coral sand foundations and upper buildings subjected to explosive loads. The main conclusions are as follows.
-
(1)
The multicharge delay explosion results in a cumulative effect on the pore water pressure in the soil. An obvious “sand boiling” phenomenon was observed at the site. The excess pore pressure ratio at each monitoring point rapidly decayed exponentially with increasing proportional distance. The acceleration response of the upper structure exhibits a maximum value at the bottom layer of the structure and a minimum value at the top layer of the structure.
-
(2)
After 700 min of electrolysis at a constant current of 2 A, the saturation of the saturated coral sand foundation decreased from 100 to 85%, and the excess pore pressure ratio in the foundation was reduced by approximately 33%. Compared with the unsaturated condition, the acceleration response of the structure was less affected by electrolysis, and the vertical settlement of the structure was reduced by approximately 30%.
-
(3)
The LS-DYNA value calculation model was used to analyse the influence of the parameters of the explosion liquefaction design, and the results were compared with the results of multipoint millisecond explosion liquefaction tests. The results showed that the empirical prediction formula for multicharge explosion liquefaction can better reflect the trend of site liquefaction with increasing distance. For saturated loose coral sand sites with a small thickness of the soil layer above the charge, the Student empirical model is suitable for prediction.
The physical and chemical properties of calcareous sand on different coral reef maybe different. There are also certain differences between reshaped sand samples and undisturbed sandy soil. Explosion tests also have a certain degree of randomness. All above factors may inevitably lead to errors between the experimental results and the actual on-site conditions. Therefore, this article is only an experiment under the specific conditions specified in this article. When the calcareous sand, the upper engineering or the explosion Load is different, targeted experimental research is essential.
Data availability
All data generated or analysed during this study are included in this published article.
References
Wang, M. Y., Zhao, Y. T. & Qian, Q. H. Study on dynamic behaviour and numerical method for saturated sand. Chin. J. Geotech. Eng. 24 (06), 737–742 (2002).
Zhang, Z. C., Liu, H. L. & Liu, J. Analysis of liquefaction properties of saturated soil under explosive load. J. PLA Univ. Sci. Technol. (Natural Sci. Edition). 13 (04), 419–424 (2012).
Weiguo Wang. Research on Explosion Effects and Liquefaction Characteristics of Sand Sites [D] (Hohai University, 2015).
Allen, N. F., Richart, F. E. & Woods, R. D. Fluid wave propagation in saturated sand and nearly saturated sand. J. Geotech. Eng. 106 (GT3), 235–254 (1980).
Villano, E. J. & Charlie, W. A. Stress Wave Propagation in Unsaturated Sands (Vol. 2) [R]. Fort Collins, Colorado, Colorado State University, Report No. ESL-TR-92-73, (1993).
Bretz, T. E. Soil liquefaction resulting from blast-induced spherical stress waves[R]. Kirtland AFB, NM, Weapons Laboratory, Air Force Systems Command, Report No. WL-TR-89-100, (1990).
Qihu, Q. Wang Mingyang. Propagation of explosive wave in the Free-Field of Three-Phase saturated soil. Explosion Shock Waves, (02): 97–104. (1994).
Wang Mingyang, Z. & Yuetang Qian Qihu, Etl. Liquefaction model for saturated sand soil under explosive loading. J. PLA Univ. Sci. Technol. (Natural Sci. Edition). 2 (2), 50–54 (2001).
Zhao Yuetang, Z. & Daliang Wang Mingyang, Etl. Experimental investigation on time characteristics of explosive wave propagation. J. Disaster Prev. Mitigation Eng. 24 (2), 162–167 (2004).
Rollins, K. M. et al. Controlled blasting to simulate liquefaction for full-scale lateral load testing[C]. The 12th World Conference on Earthquake Engineering, New Zealand, (2000).
Eller, J. M. Predicting pore pressure response in in-situ liquefaction studies using controlled blasting.liquefaction, (2010).
Liu Hanlong, W., Weiguo, L. & Jun (eds), etl. Large-scale field tests on blast-induced liquefaction in saturated sand. Chinese Journal of Geotechnical Engineering, 39(4):8,601–608. (2017).
Okamura, M. & Teraoka, T. Seismic Performance and Simulation of Pile Foundations in Liquefied and Laterally Spreading Ground - Proceedings of a Workshop. Geotechnical Special Publication, : 282–293. (2006)(145).
Eseller-Bayat, E., Yegian, M. K. & Alshawabkeh, A. Liquefaction response of partially saturated sands. I: Experimental results. J. Geotech. GeoEnviron. Eng. 139 (6), 863–871 (2013).
He, J., Chu, J. & Ivanov, V. Mitigation of liquefaction of saturated sand using biogas. Geotechnique 63 (4), 267–275 (2013).
Yegian, M. K., Eseller-Bayat, E. & Alshawabkeh, A. Induced-Partial saturation for liquefaction mitigation: experimental Investigation. J. Geotech. GeoEnviron. Eng. 133 (3), 295–305 (2007).
Thevanayagam, S. & Martin, G. R. Liquefaction in silty soils - screening and remediation issues. Soil Dyn. Earthq. Eng. 22 (9–12), 1035–1042 (2002).
Yegian, M. K., Eseller-Bayat, E., Alshawabkeh, A. & Ali, S. Induced-partial saturation for liquefaction mitigation: Experimental investigation. J. Geotech. GeoEnviron. Eng. 133, 4372 (2007).
Chen Yumin, Z. & Yijiang Wang Weiguo, Etl. Experimental investigation into dynamic response of shallow-buried reinforced concrete structure in blast-induced liquefied sandy foundation. Rock. Soil. Mech. 37 (12), 3506–3512 (2016).
Chen Yumin, L., Hanlong, C. & Chenwei etl. Model tests on deformation of embankment in blast-induced liquefied field. Chinese Journal of Geotechnical Engineering, 39(11): 2009–2016. (2017).
Okamura, M. Yasumusa Soga. Effects on pore fluid compressibility on liquefaction resistance of partially saturated sand. Soils Found. 46 (5), 695–700 (2006).
Zeybek, A. & Madabhushi, S. P. G. Centrifuge testing to evaluate the liquefaction response of air-injected partially saturated soils beneath shallow foundations. Bull. Earthq. Eng.,. (2016).
Kyle Rollins, Joshua, K. S., Anderson, R., Robert Goughnour, A. K. & Mccain Liquefaction Hazard Mitigation Using Vertical Composite Drains[C]. 13th World Conference on Earthquake Engineering Vancouver, B.C., Canada August 1–6, 2004 Paper No. 2880.
Chen, Y. et al. Study on the liquefaction characteristics of saturated sands by millisecond delay blasting. Soil Dyn. Earthq. Eng. 164, 107584 (2023).
Archie, G. E. The electrical resistivity log as an aid in deter mining some reservoir characteristics. Trans. AIME. 146 (1), 54–62 (1942).
Chen, Y. M., He, S. K., Fang, Z. & Jiang, Q. Field tests on liquefaction resistance of desaturation measure of electrolysis. Yantu Gongcheng Xuebao/Chinese J. Geotech. Eng. 39, 832–838 (2017).
He, Senkai & Chen Yumin. Analysis of electrical characteristics of liquefiable foundation treatment by electrolytic reduction method. J. Geotech. Eng. 38 (08), 1434–1441 (2016).
Daryaei, R. & Eslami, A. Settlement evaluation of explosive compaction in saturated sands. Soil Dyn. Earthq. Eng. 97, 241–250 (2017).
Studer, J. & Kok, L. Blast-induced excess porewater pressure and liquefaction experience and application[C]. International Symposium on Soil under Cyclic and Transient Loading, Swansea, (1981).
Acknowledgements
This work was supported by the National Natural Science Foundation of China (Grant nos. 52179101) and Key Laboratory of Blasting Engineering in Hubei Province (Grant nos. 523007912).
Author information
Authors and Affiliations
Contributions
Author contributionsR.Z: Conceptualization, methodology, software, validation, formal analysis, investigation, resources, data curation, writing—original draft preparation. Z.S.: writing—review and editing, visualization, supervision, project, administration, funding acquisition. C.Y.: validation, analysis, investigation, data curation.All authors reviewed the manuscript.
Corresponding author
Ethics declarations
Competing interest
The authors declare no competing interests.
Additional information
Publisher’s note
Springer Nature remains neutral with regard to jurisdictional claims in published maps and institutional affiliations.
Rights and permissions
Open Access This article is licensed under a Creative Commons Attribution-NonCommercial-NoDerivatives 4.0 International License, which permits any non-commercial use, sharing, distribution and reproduction in any medium or format, as long as you give appropriate credit to the original author(s) and the source, provide a link to the Creative Commons licence, and indicate if you modified the licensed material. You do not have permission under this licence to share adapted material derived from this article or parts of it. The images or other third party material in this article are included in the article’s Creative Commons licence, unless indicated otherwise in a credit line to the material. If material is not included in the article’s Creative Commons licence and your intended use is not permitted by statutory regulation or exceeds the permitted use, you will need to obtain permission directly from the copyright holder. To view a copy of this licence, visit http://creativecommons.org/licenses/by-nc-nd/4.0/.
About this article
Cite this article
Zhongyue, R., Shichun, Z. & Yumin, C. Liquefaction characteristics of desaturated coral sand foundation with upper building. Sci Rep 15, 17006 (2025). https://doi.org/10.1038/s41598-025-97994-1
Received:
Accepted:
Published:
Version of record:
DOI: https://doi.org/10.1038/s41598-025-97994-1























