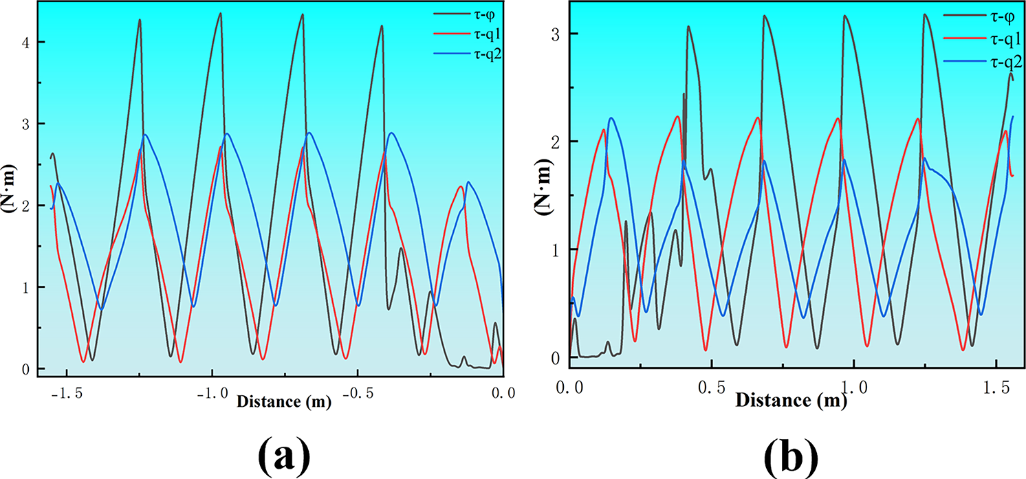
Fig. 23
From: RWD-DOF: a dual-degree-of-freedom reconfigurable wheel design for improved robotic mobility

Moment variation curves of wheels overcoming bilateral steps. (a) Represents the moment when climbing the left-hand step; (b) represents the moment when climbing the left-hand step.