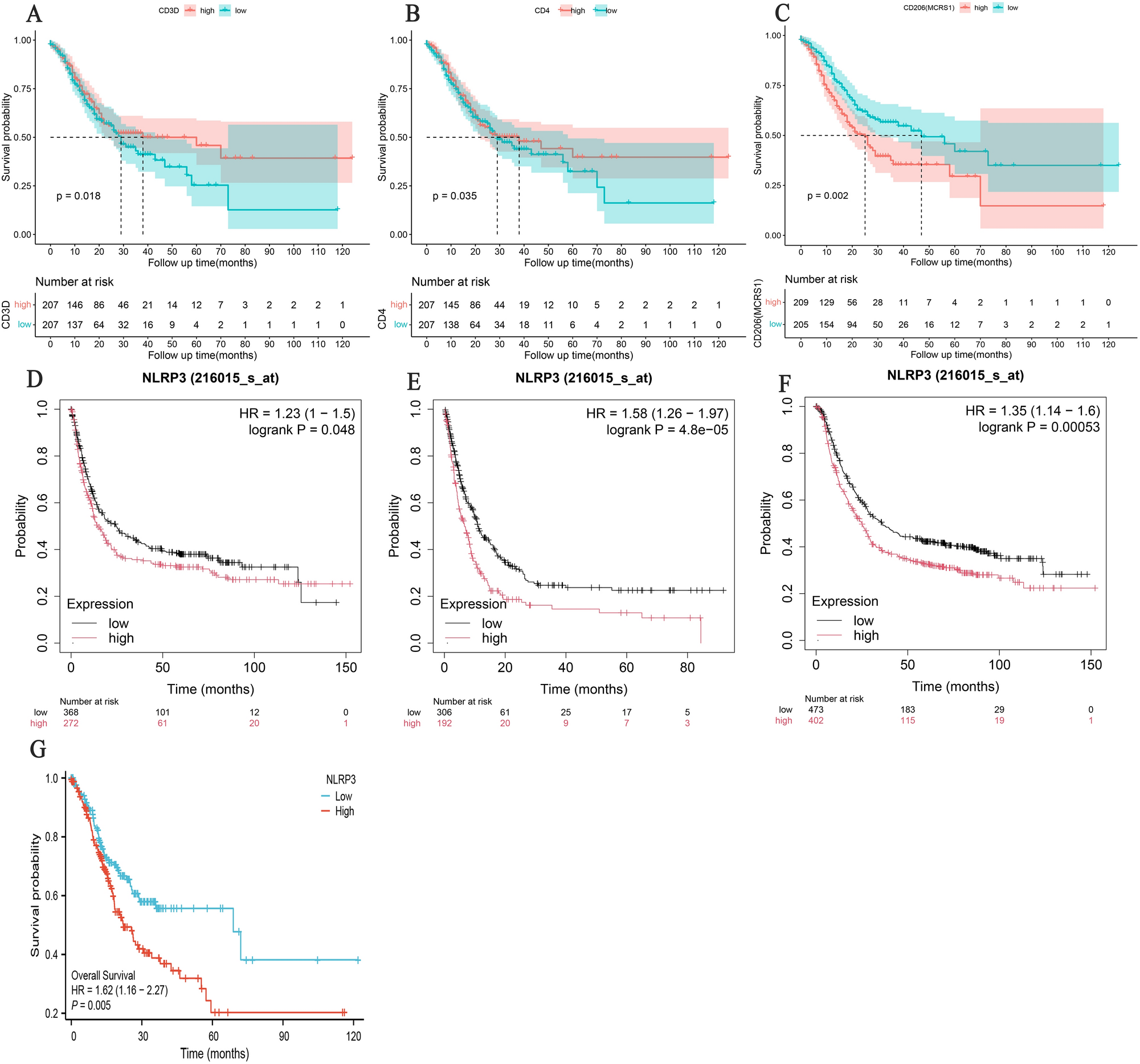
Fig. 5

NLRP3 High-expression and immune infiltration predicts poor prognosis in gastric cancer. (A) Survival curve of patients with CD3 + biomarker expression. (B) Survival curve of patients with CD4 + biomarker expression. (C) Survival curve of patients with CD206 + biomarker expression. Kaplan–Meier Plotter analysis of NLRP3 mRNA expression and its impact on survival prognosis in gastric cancer patients, including (D) overall survival, (E) progression-free survival, and (F) post-progression survival. (G) Survival curve analysis of 10-year survival rates in gastric cancer patients with high and low NLRP3 mRNA expression based on TCGA data.