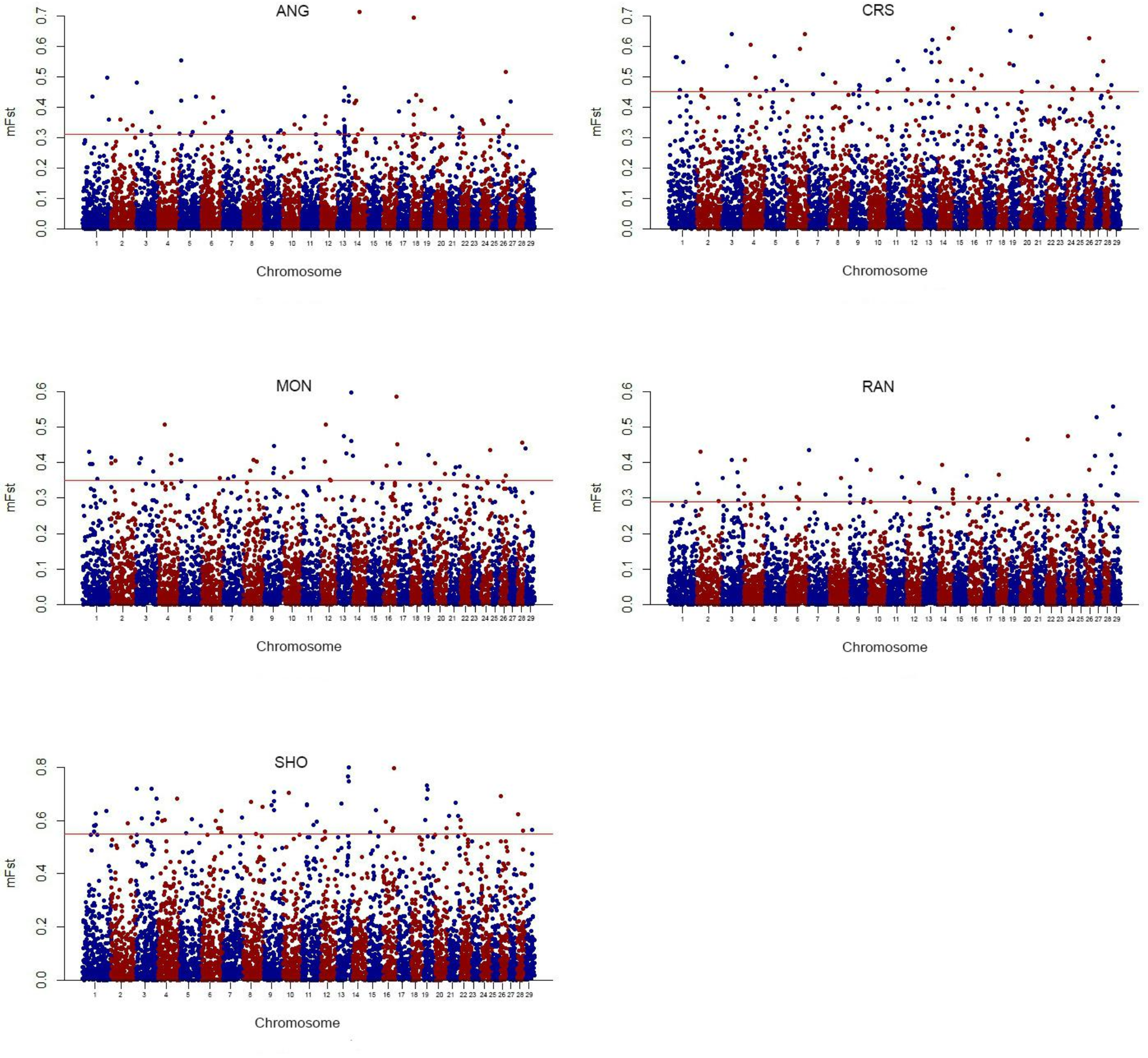
Fig. 4

The plots visualize the Fst values obtained from the comparison of five cattle breeds with the RACS breed. The significance threshold values for the top 1% were shown in red in the middle of the Manhattan plots.

The plots visualize the Fst values obtained from the comparison of five cattle breeds with the RACS breed. The significance threshold values for the top 1% were shown in red in the middle of the Manhattan plots.