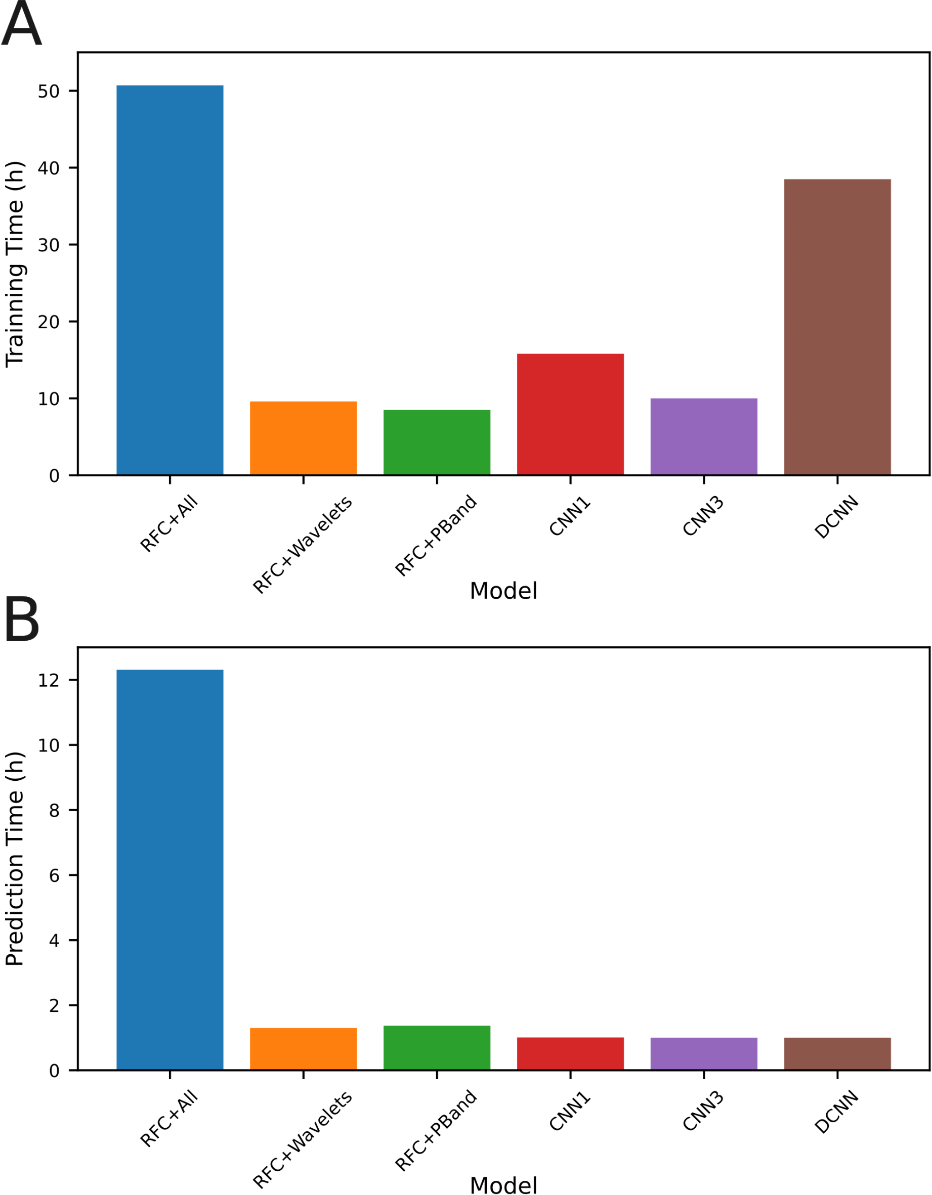
Fig. 5

(A) Total training duration in hours of each model used in the HOMI EEG. (B) Total duration of model classification on HOMI EEG. DCNN: deep convolutional neural network. CNN1: convolutional neural network 1. CNN3: convolutional neural network 3. RFC: random forest classifier. The RFC was trained with the combination of all calculated features (all), with the powerband feature calculation (Pband) and with the wavelets transform calculation.