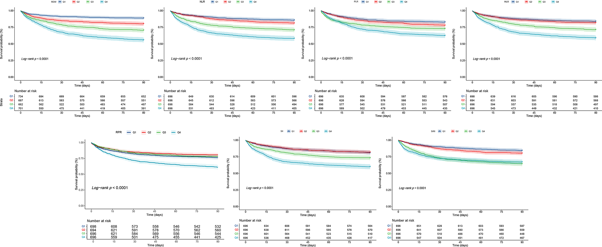
Fig. 3
From: The effect of inflammatory markers on mortality in patients with acute myocardial infarction

Kaplan-Mill survival analysis curves of all-cause mortality in patients with hospital 90-day mortality. RDW, red blood cell distribution width; NLR, neutrophil to lymphocyte ratio; PLR, platelet to lymphocyte ratio; MLR, monocyte to lymphocyte ratio; RPR, red blood cell volume distribution width to platelet ratio; SII, systemic immune inflammation index; SIRI, systemic inflammatory response index.