Abstract
Understanding the dynamic behavior of kinetochores is crucial for understanding the mechanisms of accurate chromosome segregation during cell division. In this study, we introduced non-linear exponents p and q into two new systems to capture the complex movements that govern the intersister movement of kinetochores during chromosome segregation. Our analysis revealed a power-law relationship between these exponents and the maximum amplitude A of sister kinetochore 2, indicating that even small adjustments in p and q lead to significant changes in kinetochore movement. This sensitivity suggests that kinetochore dynamics are governed by scale-invariant principles, potentially reflecting intrinsic properties of the kinetochore-microtubule interface such as motor protein activity. We observed that the Type II model with perturbation functions, demonstrated stability with rapidly dampening oscillations across various forms of noise and sudden shocks. This highlights the effectiveness of adaptable regulatory mechanisms in maintaining stability during mitosis. In contrast, the Type I model without such regulatory parameters exhibited sustained, bounded oscillations that did not dampen over time and showed significant fragility under stochastic noise, potentially compromising chromosome segregation fidelity. Our findings highlight the role of the exponents p and q in modulating kinetochore behavior and suggest that enhancing or mimicking these regulatory mechanisms could be a potential strategy for improving cell division fidelity as shown in our theoretical work.
Similar content being viewed by others
Introduction
Kinetochores are essential structures that ensure the accurate segregation of chromosomes during cell division. Located at the centromere, the constricted region of a chromosome where sister chromatids are held together, kinetochores are complex protein assemblies composed of two main parts. The kinetochore interacts with microtubules of the mitotic spindle, the structure responsible for pulling chromosomes apart during division. These microtubules extend from two spindle poles located at opposite ends of the cell towards the chromosomes. Microtubules search for and attach to the kinetochores of chromosomes. For accurate chromosome segregation, each sister chromatid must attach to microtubules originating from opposite spindle poles, a process known as bi-orientation. In this arrangement, one kinetochore attaches to microtubules from one pole, while the sister kinetochore attaches to microtubules from the opposite pole.
The attachment of kinetochores to microtubules generates tension, which is used for the proper alignment and segregation of chromosomes1,2,3. The cell employs the spindle assembly checkpoint (SAC)4,5,6 to monitor both the attachment and the tension at kinetochores. If the kinetochores are not under appropriate tension or are incorrectly attached, the SAC will delay the progression of cell division. This allows the cell time to correct these errors. This ensures that chromosomes are accurately aligned at the metaphase plate, the equatorial plane of the cell, where they are positioned for equal distribution to the daughter cells.
When all chromosomes are properly aligned and the SAC is satisfied, the cell progresses to anaphase where the chromatids separate. The kinetochores drive this separation by pulling the sister chromatids apart as the microtubules shorten, moving them toward opposite poles of the cell. This movement ensures that each daughter cell will receive one copy of each chromosome. The kinetochores ability to employ error correction mechanisms7to release incorrect attachments and attempt proper bi-orientation prevents chromosomal abnormalities to maintain genetic stability. If kinetochore-microtubule attachments have errors it can lead to aneuploidy8,9, a condition often associated with diseases such as cancer10.
To better understand the underlying mechanisms driving these kinetochore oscillations, several mathematical models have been proposed11,12, incorporating various mechanical and chemical feedback processes.
While kinetochores are structurally identical, their functional behaviour can be asymmetric due to differential microtubule attachments, mechanical tension, and regulatory feedback mechanisms. Our model does not assume an intrinsic, static asymmetry between kinetochores but instead incorporates an emergent asymmetry as a result of coupled feedback mechanisms that regulate sister kinetochore movement. Such asymmetries have been observed in kinetochore-microtubule interactions and force transmission mechanisms, which can lead to differential responses between sister kinetochores. There are also several studies that have reported asymmetries in kinetochore function13.
Kinetochores also possess directionally asymmetric grip strengths on microtubules. This difference in attachment strength could lead to differential responses to mechanical forces, causing one kinetochore to exert a stronger pulling force while the other kinetochore resists or remains passive14. The age of centrosomes has been shown to impose functional asymmetry on the mitotic spindle, affecting kinetochore-microtubule stability and chromosome alignment. Proteins such as cenexin localize at the older centrosome, leading to asymmetric forces that influence kinetochore behaviour15.
In Drosophila male germline stem cells16, asymmetric centrosome activity leads to differences in kinetochore function, with one kinetochore experiencing preferential microtubule attachment. This asymmetry influences chromosome segregation and suggests that kinetochores can exhibit distinct roles even within the same cell division. These studies suggest that kinetochores may structurally be identical, their interactions with microtubules and regulatory proteins lead to functional asymmetries.
We first assess the two systems and analyze the stability with different real-valued perturbations. In cases where asymptotic stability exists, the system is modeled with truncated Gaussian noise, which replaces the values c and d in the perturbations. This ensures that the noise remains within a controlled range while preserving the system’s stability. Monte Carlo simulations are performed to assess the variance in the oscillatory behaviour exhibited by the system. We use noise governed by the Ornstein-Uhlenbeck process to introduce stochasticity because it provides a mean-reverting behavior, maintains temporal correlation, and ensures an exponentially decaying auto-correlation function. As the noise at one time point is correlated with the noise at a nearby time point it ensures the long-term behaviour of the system to ‘converge’ to a value which would ensure that the oscillations fade and the system is asymptotically stable. Asymptotic stability is preferred because it guarantees that oscillations subside, indicating that sister kinetochores have successfully sorted the chromosomes. Their primary function is to ensure accurate chromosome segregation is completed during anaphase which would be over once oscillations stop meaning that sorting has finished and the cell is ready to divide into two daughter cells. We have exponents q and p which govern the nonlinear behaviour in the system where q controls the degree of oscillations observed (larger q means more oscillations observed but the magnitude decreases) and p controls when oscillations finish and the system stabilizes (larger p means that oscillations finish faster).
We assess the robustness of these models by introducing sudden perturbations known as shocks into the system along with different types of noise. We evaluate how fast do kinetochores return to a stable condition after a shock and whether the oscillations damper, persist or become more erratic post-shock and whether stability is compromised. We analytically assess the stability of the systems and show that perturbations that mimic external factors are needed to model kinetochore dynamics.
This is done to understand how kinetochores respond to sudden disruptions is crucial for uncovering the mechanisms that ensure accurate chromosome segregation during cell division. Such disruptions, whether due to changes in microtubule dynamics or external forces, can challenge the stability of kinetochore attachments and potentially lead to aneuploidy, a condition linked to cancer17 and other genetic disorders. Investigating these responses helps us understand how the mitotic checkpoint, a critical safeguard in cell division, detects and corrects errors, thereby maintaining genomic integrity. Moreover, insights gained from these studies can inform cancer therapies that target the unique vulnerabilities of cells with impaired kinetochore function, offering new avenues for treatment strategies that disrupt cell division selectively in cancer cells while minimizing harm to healthy tissue.
In light of these complexities, we propose a new mathematical model with two different functional responses, where a perturbation is added to assess the long-term behaviour of the system. This model simulates the oscillations of kinetochores. By modeling kinetochore dynamics in this way, we can reproduce realistic oscillation periods and amplitudes, capturing the observed phenomena.
The mathematical modeling of kinetochore function is crucial not only for understanding the precise mechanisms of chromosome segregation but also for predicting the outcomes of various perturbations18. These models provide valuable insights into the regulatory processes that govern kinetochore behavior, offering potential therapeutic targets for diseases associated with kinetochore malfunction. Through this paper, we explore the significance of kinetochore function, the importance of their oscillatory behavior, and the role of mathematical modeling in advancing our understanding of these critical cellular processes.
In some cases, the stopping of oscillations could indicate that a checkpoint has been satisfied, such as the spindle assembly checkpoint (SAC), allowing the cell to proceed to the next phase of division. This would mean that the chromatids are correctly attached to the spindle and under appropriate tension.
Section 2 introduces the systems with linear and sigmoidal functional responses used to model kinetochore dynamics with external perturbations. These models incorporate biological parameters such as inhibitory and excitatory interaction strengths, and non-linear exponents p and q to capture the complex mechanisms underlying chromosome segregation during cell division. Section 3 presents three distinct external perturbations: static noise, dynamic noise sampled from a half-normal distribution, and Ornstein-Uhlenbeck noise which is a temporally correlated, mean-reverting stochastic process that models fluctuations around a stable value. To evaluate the resilience and robustness of the systems, six different types of shocks are examined, introducing sudden changes in kinetochore dynamics at different time points. Section 4 analyzes whether the systems are locally asymptotically stable under different types of perturbations and highlights a key feature in the Type I model, where bounded oscillations are exhibited without perturbations and the implications this has on chromosome segregation. Section 5 discusses the results and the power-law relationship that arises between the exponents and the amplitude of sister kinetochore 2. The impact of sudden perturbations and stochastic noise is also explored. Finally, Section 6 presents the main results and their implications for genomic stability, investigates the physiological aspects of the findings, and concludes the paper.
Model formulation
We consider two different systems to describe kinetochore dynamics with external perturbations. The systems proposed have two different functional responses where one is linear and the other is sigmoidal. The first system with a linear response known as Type I is given as follows,
The system that is Type II with a sigmoid functional response is given as,
As stated in19, deformation in a sole kinetochore is responsible for the change between the inner and outer components and has an effect on reaching the checkpoint and this stretching is independent of the tension between kinetochores. It has been proposed that it is the attachment to the microtubules even though tension is still important20, which is detected by SAC. This means that the tension between sister kinetochores may stem from their bi-orientation and alignment on the mitotic spindle, whereas the expansion within a single kinetochore, along with mitotic checkpoint activation, is primarily regulated by its dynamic interactions with microtubules21,22. For Aurora B we see that tension helps stabilize correct attachments, but it is not the main signal for checkpoint activation23,24,24,25.
Low tension promotes error correction in Aurora B, while high tension stabilizes correct attachments and without directly including tension in our model we are able to still show that stabilization can happen. We propose a mathematical theoretical model for the collective dynamics with noise added as a noise term which can mimic the effects of fluctuating attachment stability that can mimic tension-driven correction.
Taking this into account we have formulated a mathematical model to theoretically explore the effects of feedback mechanisms using noise (kinetochores exhibit noisy movements even in stable attachments). We propose a different way to model the collective kinetochore oscillations using other important features such as inhibitory effects since biochemical reactions and the tension within kinetochores are directly correlated to one another19. These fluctuations in tension arise due to dynamic instability in microtubule attachments, molecular motor activity, and the stochastic nature of biochemical signalling pathways.
Our model is an analogous approach in modeling the collective dynamics of the kinetochores. Also note that experimental evidence suggests that kinetochores exhibit noisy movements even in the presence of stable microtubule attachments. Therefore, fluctuations in kinetochore motion due to microtubule dynamics and regulatory feedback mechanisms can serve as a functional substitute for tension-dependent regulation. Our model incorporating noise still captures kinetochore instability and correction mechanisms without requiring explicit mechanical tension.
In addition to noise, our model incorporates regulatory mechanisms through nonlinear interactions between kinetochores. The parameters in our model capture aspects of kinetochore dynamics, including excitatory and inhibitory influences which can mimic regulatory mechanisms such as Aurora B kinase activity and microtubule destabilization. We also include a saturation effect to limit interaction strength to prevent unbounded kinetochore movement.
In both models of kinetochore dynamics, each parameter is designed to capture aspects of the biological interactions that are related to the chemical signalling pathways which are directly correlated to tension19. herefore we propose a mathematical model that models the signalling processes to drive kinetochore oscillations and we explore this analogous model to the tension models.
The strength of the inhibitory interaction, indicated as a, represents the effect of kinetochore 2 exerting an inhibitory influence on kinetochore 1. This inhibition may arise from mechanical constraints, microtubule depolymerization, or regulatory pathways such as Aurora B kinase activity, which destabilizes incorrect kinetochore attachments19. The excitatory interaction strength, b, accounts for the stimulatory effect of kinetochore 1 on kinetochore 2, analogous to the stabilizing influence of correctly attached microtubules26. The saturation constant, h, ensures that interaction effects plateau at high kinetochore positions, accounting for the limited number of available binding sites on microtubules and the force generation capacity of motor proteins27,28.
The self-movement coefficient,r, represents the intrinsic ability of kinetochore 1 to move, incorporating molecular motor activity and the polymerization or depolymerization of microtubules28. This self-propulsion is influenced by factors such as the activity of associated motor proteins and the dynamics of microtubule polymerization and depolymerization.
The damping coefficient, m, accounts for resistive forces that slow down kinetochore movement, such as opposing microtubule dynamics and regulatory mechanisms that moderate kinetochore function29,30. Incorporating m into the model allows us to account for the natural deceleration forces acting on kinetochore 2, which are essential for the oscillatory movements observed during metaphase.
Additionally, the nonlinear exponents p and q were introduced to capture the nonlinear nature of kinetochore oscillations, reflecting experimentally observed dependencies of movement on microtubule attachment states and SAC activation1.
The introduction of nonlinear dependence on kinetochore position, through the exponents p and q, allows for a more general representation of kinetochore-microtubule interactions, capturing both linear and nonlinear behaviors31. These parameters reflect how force generation and regulatory feedback scale with kinetochore displacement. Furthermore, the excitatory and inhibitory coupling terms involving a and b are motivated by interactions between microtubule and kinetochores32,33. To prevent unbounded kinetochore movement, the Type II model introduces a sigmoidal functional response to account for saturation effects, which are commonly observed in experimental studies of kinetochore-microtubule interactions34. The parameters their values used in simulations are provided in Table 1.
Note that the case where \(p=1\) and \(q=1\) have been studied before and analyzed in31 with only simple perturbations based on static noise. Therefore we study the case where we introduce exponents that can be varied by assessing the behaviour of systems where the exponents can take on other values which introduces nonlinear behaviour in the system. Further we look at different perturbations such as dynamic noise, static noise, and noise governed by the a mean reverting stochastic process that is temporally correlated. We also explore different cases of perturbations that arise from a sudden perturbation in the system such as a shock which tests the concept of the SAC not being fulfilled. Doing so assess the system with realistic perturbations where fluctuations do not shrink or grow endlessly and when the system may face a sudden error in kinetochore-microtubule attachment.
The case where specifically the Type I model with \(q=0\) and \(p>1\) has been analysed without perturbations35 to describe marine phage population dynamics. Moreover, for the Type I model, for \(q=1\) and \(q=1\) a fractional-order model has been adapted to fit the competition model to observable data36. In terms of kinetochore-microtubule attachment, research has been done in which a theoretical two-phase model with force-dependent kinetics has been proposed to explain the shortening and lengthening of the microtubules that cause the oscillatory behaviour28. Meanwhile, applied Markov chains have been used to explain the probabilistic switching between the attachment states of kinetochores26.
Perturbations and noise from external factors
Our model is a different approach in modeling the collective dynamics of the kinetochores without specifically including the tension. Experimental evidence indicates that kinetochores exhibit stochastic movements even when microtubule attachments are stable. These fluctuations in kinetochore motion arise from microtubule dynamics and regulatory feedback mechanisms, which can functionally substitute for tension-dependent regulation. For instance, studies have shown that kinetochores sliding along the side of a microtubule until they reach the end to firmly attach, with kinesin-8 motor protein Kip3 guiding this movement37. This suggests that motor proteins facilitate stable kinetochore attachment to microtubule plus ends through lateral movements and regulation of microtubule dynamics instead of relying on mechanical tension.
Therefore in kinetochore dynamics, fluctuations in microtubule forces and motor protein activities do not exhibit purely random behavior but instead demonstrate temporal correlations. Studies have shown that kinetochore movements exhibit oscillatory behavior due to a balance between microtubule depolymerization forces and tension-sensitive regulation by motor proteins and the spindle assembly checkpoint (SAC)2,3.
Ornstein-Uhlenbeck process is widely used to model biological systems with temporally correlated fluctuations. Unlike noise that is random, which leads to unbounded variations, the mean-reverting property ensures that the system does not drift uncontrollably but instead fluctuates around a biologically meaningful steady state38,39,40. Persistent fluctuations without mean reversion could lead to failed chromosome alignment or missegregation, disrupting proper cell division5. This is particularly relevant for kinetochore dynamics as the system moves towards anaphase completion41. This result is consistent with experimental studies where kinetochore oscillations, though stochastic, tend to stabilize before anaphase40.
Ornstein-Uhlenbeck (OU) noise represents a temporally correlated, mean-reverting stochastic process that models fluctuations around a stable value. This type of noise is particularly useful for simulating external forces, such as fluctuations in motor protein activity or microtubule dynamics38,42, which tend to vary around a central equilibrium. Static noise, on the other hand, introduces constant perturbations, representing external factors that are time-independent. These could include inherent structural imperfections within the mitotic spindle or persistent asymmetries in the cellular environment that continuously affect kinetochore movement43,44. Dynamic noise, which evolves with time, models random, time-dependent fluctuations. Kinesin-8 motors, for example, are known to regulate microtubule dynamics45 and can introduce variability in the forces applied to kinetochores, contributing to the stochastic nature of their movements41,46,47.
Consequently, we check different noise models (static, dynamic, and Ornstein-Uhlenbeck) since the model relies on signaling processes these fluctuations must be captured alongside random perturbations from the environment. Additionally, studies using force-dependent models of kinetochore-microtubule interactions have shown that fluctuations in attachment tension exhibit time correlations and do not behave as pure random noise42.
Dynamic noise - half-normal noise
dynamic noise processes \(\xi _x(t)\) and \(\xi _y(t)\) are considered as perturbations, each following a half-normal distribution. These noise processes are incorporated into the functions C(x) and D(y) , which perturb the movement of the sister kinetochores respectively.
In these formulations, \(\xi _x(t)\) and \(\xi _y(t)\) represent the noise processes affecting the kinetochore sisters. Both noise terms are drawn from a half-normal distribution at each time point with mean 0 and standard deviation 0.01, with any zeros replaced by a small positive value \((10^{-5})\) to avoid singularities in simulations.
The half-normal distribution ensures that the perturbations \(\xi _x(t)\) and \(\xi _y(t)\) are non-negative, reflecting realistic scenarios where the noise contributes positively or not at all to the system’s dynamics. When incorporated into the functions C(x) and D(y), these noise terms are either applied directly or scaled by the corresponding state variables x and y. This allows the perturbations to adapt dynamically, ensuring that the impact of the noise is properly scaled relative to the current state of the system.
Ornstein-Uhlenbeck noise
White noise is a type of randomness that lacks any correlation over time, which can cause unpredictable and unbounded variations in a system. This can be problematic because it might destabilize the system, causing it to experience continuous, never-ending oscillations. In the case of kinetochores, such unending oscillations would mean that the kinetochores never finish sorting the chromosomes, potentially preventing successful error correction.
To address this, Ornstein-Uhlenbeck (OU) noise \(\eta (t)\) offers a more controlled alternative. Unlike white noise, OU noise has a mean-reverting property, meaning it tends to pull the system back towards a central value over time. This type of noise is governed by a stochastic process that is temporally correlated, meaning that current noise values are influenced by past values, leading to smoother and more realistic fluctuations.
The mean-reverting behavior helps ensure that any disturbances in the system don’t spiral out of control but instead settle around a central value. This is especially important in our model since we aim for the system to eventually stabilize over time. In a real-world scenario, it is unrealistic for fluctuations to keep growing or shrinking endlessly. By using noise that is temporally correlated, a situation is created where changes happen more gradually and are less likely to throw the system off balance. This stability is crucial because we want the oscillations to eventually stop, signaling that chromosome segregation has been successfully completed.
The perturbations that use OU noise provides a realistic way to introduce stochastic variability. The functions C(x) and D(y) incorporate OU noise to adjust the system’s disturbances according to its current state. This method ensures that the effects of noise are properly balanced, offering a more accurate and controllable way to represent environmental changes or other factors that might impact the kinetochores. Therefore, the model reflects how these influences persist over time but also tend to stabilize, avoiding the unchecked growth or decline that could result from simpler types of noise.
Hence the OU noise processes \(\eta _x(t)\) and \(\eta _y(t)\) are represented by the following stochastic differential equations (SDEs),
Here, \(\theta\) represents the mean reversion rate, which dictates how quickly the noise returns to its mean whilst the parameter \(\sigma\) determine the intensity of the noise, influencing the magnitude of the fluctuations, while \(dW_x(t)\) and \(dW_y(t)\) are independent Wiener processes (Brownian motion), representing the source of randomness in the system.
Static noise
Static noise can be seen as a simplified or special case of dynamic noise. While dynamic noise would vary at each time step, static noise introduces a consistent perturbation across the system, maintaining the same value for \(\xi _x\) and \(\xi _y\) throughout the interval.We use this approach to model scenarios where the system is subjected to a constant external influence or where the focus is on understanding the impact of a fixed perturbation over time.
Therefore, C(x) and D(y) represent perturbations within the system that are driven by static noise processes, \(\xi _x\) and \(\xi _y\) where these values are sampled once from a half-normal distribution, ensuring that the noise is non-negative.
The perturbation functions C(x) and D(y) are defined as,
Therefore we assess the behaviour of the system when it is under steady, unchanging external conditions.
Sudden large perturbation - shock
To evaluate the resilience of the system, we apply three shocks at different time points: \(t = 500\), \(t = 750\), and \(t = 900\). Note that a positive or negative shock in the kinetochore dynamics refers to a sudden change in the distance moved by the kinetochores from their equilibrium positions. This perturbation can either increase or decrease the distance they move, to simulate an external disturbance.These external disruptions that apply abrupt changes in the system can be directly from abrupt changes in microtubule dynamics or shifts in the forces acting on the kinetochores. Each shock uniquely alters the positions of the two sister kinetochores to assess how the system adapts to different types of sudden perturbations.
In the first shock, both sister kinetochores experience a simultaneous 50% change in distance, mimicking a uniform disturbance affecting both kinetochores equally. The second shock introduces asymmetry by increasing or decreasing the distance of only sister kinetochore 1 by 50%, while sister kinetochore 2 remains unaffected, simulating a scenario where only one kinetochore is perturbed. Finally, the third shock switches the roles: sister kinetochore 2 undergoes a 50% change in distance, and sister kinetochore 1 is left stationary.
This sequence of shocks is carefully designed to test the system’s ability to recover from both symmetric and asymmetric disturbances. After each shock, we observe the response of the system, particularly how quickly the kinetochores return to their regular oscillatory movements and how these movements change. By running multiple Monte Carlo simulations, we capture the variability in these responses under different conditions, allowing us to better understand the stability and robustness of kinetochore dynamics in the face of sudden perturbations.
Stability assessment
We have observed that in the supplementary information provided by31, specifically for the case where \(p = 1\) and \(q = 1\), the reported values for the trace and determinant of the Jacobian matrix are incorrect for certain cases. In our analysis where the results are shown in Table 2 which show the nature of equlibria for a Type I and Type II model. For further details Table S1,Table S2 and Table S3, we present the corrected values for the trace, determinant, and equilibrium points for our models under the conditions where we have the exponents p and q. By setting these to 1 we get the correct trace and determinants for the case set out in31. Our results for \(p = 1\) and \(q = 1\) provide the accurate trace and determinant for the models, and we have corroborated these findings through numerical verification.
In the specific case of our Type II model with \(C(x) = 0\) and \(D(y) = \frac{d}{y}\), finding an analytical solution for the equilibrium point is not feasible due to the complexity introduced by the perturbation function D(y). Therefore, we employed numerical methods to determine the equilibrium point, as well as the trace and determinant of the Jacobian matrix at that point. These numerical results are provided in the Supplementary Information for reference.
Despite the analytical challenges, our analysis reveals that the Type II model under this type of perturbation remains locally asymptotically stable. This outcome highlights the robustness of the Type II model, demonstrating its ability to maintain stability even when subjected to perturbations that complicate analytical treatment. The resilience of the model in the presence of such perturbations underscores its potential applicability in modeling biological systems where similar complexities and disturbances are inherent.
It is worth noting that the behavior of the Type I model suggests that without additional regulatory mechanisms or perturbations that introduce damping effects, the system lacks the ability to stabilize kinetochore movements. This highlights the importance of regulatory factors in the biological system that can dampen oscillations and ensure proper kinetochore function. Therefore these perturbations are necessary since their absence is related to the malfunction of proteins and mechanisms that normally contribute to stabilizing kinetochore-microtubule attachments. These perturbations are necessary to add the noise related to the tension-sensing mechanisms of the SAC, microtubule-associated proteins that regulate dynamics, and motor proteins that generate forces necessary for proper alignment.
This specific example of the Type I model with no perturbations is important in highlighting a key point. Perturbations that model external factors are necessary. In the absence of such mechanisms, the cell would be unable to satisfy the spindle assembly checkpoint, leading to a failure in proper chromosome segregation.
It is highly critical that the segregation process is properly satisfied by satisfying the SAC. If the SAC is not properly met it can lead to premature progression to anaphase with misaligned or improperly attached chromosomes, resulting in aneuploidy. This would cause cells to have an abnormal number of chromosomes which is associated with risks such as cancer and genomic instability .
Results
Powerlaw relationship between amplitude and exponents
The power-law model describes a non-linear relationship. A represents the change in the maximum movement of sister kinetochore 2, q is the independent variable, \(\alpha\) controls the scaling and \(\beta\) defines the rate of change. Therefore, the power-law model which we use to model the relationship between the movement of sister kinetochore 2 and the parameter q (as well as parameter q), is given as,
To estimate \(\alpha\) and \(\beta\), a non-linear curve fitting is performed using least squares optimization. We minimize the difference between the observed data and the predicted values from the model to fit the curve48,49,50. This is done by finding the best-fit parameters that describe the observed relationship between q and the movement of sister kinetochore 2.
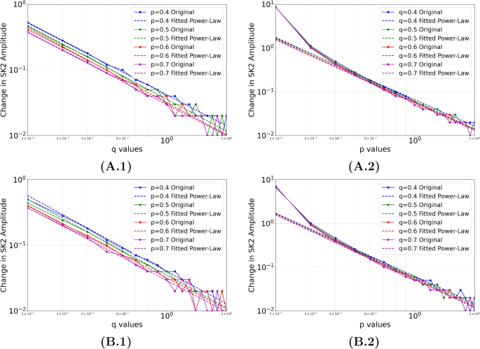
Consequently, in Fig. 2, the changes in the maximum movement of sister kinetochore 2 are shown as a function of the parameter q for various values of p (0.4, 0.5, 0.6, and 0.7). The original data reveal a decreasing trend in the movement of sister kinetochore 2 as q increases. To capture this relationship, power-law models were fitted to the data for each p. The close alignment between the fitted models and the observed data suggests that the relationship between q and the change in sister kinetochore 2 movement can be effectively modeled by a power-law function. This strong agreement indicates that the power-law model successfully captures the underlying dynamics influencing the movements of sister kinetochores in this system across the parameter range.
For various values of q (0.4, 0.5, 0.6, and 0.7) changes in the maximum amplitude of sister kinetochore 2 are shown as a function of the parameter p. We show that the exponent p also holds a power-law relationship with the movements of sister kinetochore 2. These results are reflected for all perturbations with the examples given that use a static noise perturbation.
(A.1,A.2) For the Type II model with static noise perturbation \(\xi /x\), the exponent q is varied for specific values of p as shown in (A.1) with the exponent p varied for different cases of q as shown in (A.2) to show the powerlaw relationship between the exponents and the change in maximum amplitude of sister kinetochore 2. The dashed lines show the powerlaw function fitted whilst the solid line is shown for the observed data. (B.1,B.2) The same is shown for the Type II model with static noise perturbation \(\xi /y\).
To combine multiple Pearson correlation coefficients, we use Fisher’s Z-transformation, which converts the correlation values into normally distributed Z-scores. This allows for the averaging of correlations, as Pearson coefficients are not directly additive. After computing the average of the Z-scores, we then apply the inverse Fisher transformation to convert the combined Z-value back into a Pearson correlation. This method provides a reliable approach for aggregating correlation coefficients across different datasets, ensuring that the combined statistic accurately reflects the overall relationship.
Fisher’s method combines multiple p-values by summing their logarithms, providing an overall measure of significance across independent tests. This method is particularly sensitive to small p-values, meaning that even one or two very small p-values, which indicates strong evidence against the null hypothesis which can heavily influence the combined result. As a result, Fisher’s method effectively captures situations where a few highly significant outcomes may be sufficient to reject the null hypothesis. By applying this approach, we aggregate the results from multiple tests, ensuring a robust evaluation of the models’ performance.
Table 3 presents the combined Pearson correlation coefficients and p-values for two models (Type I and Type II), each subjected to the four different perturbations outlined. The results provide insight into how each perturbation affects the model’s ability to explain the data.
For Type I, the Pearson correlation coefficients are consistently high, ranging from 0.771 to 0.821, with highly significant p-values on the order of \(10^{-13}\) to \(10^{-17}\). This indicates strong correlations and a robust ability of the model to capture the underlying dynamics across all perturbations. Notably, the highest correlations are observed under the \(\xi _x\) and \(\xi _y\),\(\frac{\xi _y}{y}\) perturbations, with correlation values of 0.821 and 0.819, respectively, and extremely small p-values in the \(10^{-17}\) range, highlighting the model’s strong performance under these conditions.
Type II, while slightly less robust than Type I, still exhibits strong Pearson correlation coefficients, ranging from 0.720 to 0.728, with p-values in the order of \(10^{-10}\). The highest correlation for Type II is found under the \(\xi _y\) perturbation, with a correlation of 0.728 and a p-value of \(1.63 \times 10^{-10}\). Although the correlations are marginally lower than those of Type I, the results still demonstrate a strong relationship between the model and the perturbations.
Overall, both models exhibit strong correlations across all perturbations, with Type I performing slightly more robust than Type II as it maintains stronger correlations and higher statistical significance across all perturbations. The perturbations, particularly \(\xi _x\) and \(\xi _y\), have a significant and positive impact on both models’ performance. The consistency in the Pearson correlations, despite the variation in perturbation types, further reinforces the robustness of both models under different conditions. This suggests that both models are stable and perform reliably, although Type I exhibits a marginally greater resilience and explanatory power across perturbations.
Both models appear to be relatively insensitive to the specific form of the perturbation (\(\xi _x\), \(\frac{\xi _x}{x}\), \(\xi _y\), and \(\frac{\xi _y}{y}\)), as indicated by the relatively narrow range of correlation values for each model. This suggests that the models perform consistently across different types of noise or disturbances, reinforcing their robustness.
Impact of sudden perturbations
The post-shock effects and oscillatory behaviors in the Type II system provide important insights into its stability under different noise conditions. Following each shock, the system exhibits oscillations, with the magnitude and duration of these oscillations varying depending on the type of noise applied.
In the Type I system, Under OU noise, the system displays strong and persistent oscillations after each shock, indicating that this type of noise introduces a higher degree of instability. These oscillations do not dampen significantly over time, which suggests that the system struggles to return to equilibrium after disturbances. The persistence of these oscillations highlights the ongoing influence of dynamic noise on the system, preventing it from stabilizing.
In contrast, OU noise in the Type II system produces moderate oscillations following the shocks. These oscillations gradually diminish as time progresses, indicating that the system has a better capacity to recover and return to equilibrium under this noise condition. Although the oscillations are present, the dampening effect is more evident, allowing the system to stabilize over time.
Under static noise in the type II model, the post-shock oscillations are minimal. The system exhibits a smooth recovery, with the oscillations quickly dampening after each shock. This suggests that static noise introduces very mild disturbances , allowing the system to maintain stability and quickly return to equilibrium showing the model’s resilience to this type of perturbation. However due the perturbation being static for all time periods the Monte Carlo simulations show that the standard deviation is the largest provided by this noise. Meanwhile OU noise and dynamic noise have almost negligible standard deviations as shown by the 100 Monte Carlo simulation in Fig. 3.
In the Type II model, six different shocks are applied to the system under varying noise conditions to investigate its response. The parameters used are detailed in the Supplementary Information. The standard deviation and the mean dynamics is given after running 100 Monte Carlo simulations. (A.1–B.1) correspond to dynamic noise perturbations \(\frac{\xi _x}{x}\), (A.2–B.2) to Ornstein-Uhlenbeck noise \(\frac{\eta _x}{x}\) and (A.3–B.3) to static noise. In each case, the following process is applied. (A.1–A.3) Positive shocks (increases in distance) are administered as follows: In the first shock, the distance moved by sister kinetochores 1 and 2 is increased by 50%. In the second shock, only sister kinetochore 1 experiences a 50% increase in distance, while sister kinetochore 2 remains stationary. In the third shock, only sister kinetochore 2 undergoes a 50% increase in distance. (B.1–B.3) The same scenarios are illustrated the same process with negative shocks where a 50% decrease in distance is applied under the same conditions for each type of noise.
Moreover in the Type I model, under dynamic noise the system after the shocks is still able to stabilise quickly much like the Type II model. However the standard deviation is larger than the one produced by Type II. Static noise produces the largest variability in the dynamics and the system although it stabilises over time it takes much longer compared to dynamic noise.
Overall, the system’s response to shocks is the most stable for dynamic noise where oscillations dampen quickly, followed by OU noise for the Type II model and static noise for the Type I model, where oscillations are moderate but diminish over time. OU noise for the Type I model, however, induces persistent oscillations, preventing the system from reaching equilibrium. These findings highlight the varying impact of noise on system stability, with OU noise presenting the greatest challenge to post-shock stabilization for the Type I model.
Effect of stochastic noise
As mentioned in the previous section, the system’s behaviour under different conditions of shock and noise show the fragility of the Type I model and the resilience of the Type II model.
The Type I model under OU noise tends to represent more realistic, temporally correlated fluctuations, simulating environmental or system-related memory effects. With this perturbation, the system is very fragile and breaks easily showing that the model is not robust when these types of perturbation are introduced. However the system is resilient when met with dynamic or static noise. Nevertheless, static noise shows significant fragility compared to dynamic noise, with both sister kinetochores exhibiting high variability and erratic behavior following shocks, indicating that static noise greatly amplifies the destabilizing effects of shocks. However the system does tend towards equilibrium over time, but takes longer than dynamic noise.
Hence, the Type I system appears highly fragile under OU noise with kinetochores exhibiting extreme sensitivity to combined noise and shocks. This indicates a high degree of vulnerability to this type of perturbation.
Meanwhile for the Type II model, the model is shown to be resilient towards all perturbations. In fact, the variation is very small whilst the variation with a constant source of noise (static noise) is notably higher in comparison. The Type II model does not exhibit fragility and tends towards an equilibrium in all cases.
Discussion and conclusion
In this study, we introduced the exponents p and q into our models to capture the non-linear dynamics of sister kinetochore movements. Our analysis revealed a power-law relationship between these exponents p and q and the maximum amplitude A of sister kinetochore 2, described by Equation 5.1.
By systematically varying p and q, we observed that even small adjustments in these exponents led to significant changes in kinetochore movement (Fig. 1). This sensitivity highlights the pivotal role of p and q in modulating kinetochore behavior.
Biologically, these exponents may reflect intrinsic properties of the kinetochore-microtubule interface, such as attachment strength or motor protein activity. The power-law relationship suggests that the dynamics of the models that adhere to the power-law relationship are governed by scale-invariant principles for valus of \(p>0.4\) and \(q>1\) since for values outside this the power-law relationship is not well respected as seen in Figure 2.
Our models exhibited distinct differences in how both types responded to perturbations, highlighting the importance of regulatory mechanisms in kinetochore function. Section 4 highlights the importance of introducing perturbations to model external factors. Notably, we found that the Type I model without perturbations exhibits sustained, bounded oscillations that do not dampen over time. This persistent oscillatory behavior suggests that the spindle assembly checkpoint (SAC) is never fully satisfied, potentially leading to improper chromosome segregation and continuous activation of the SAC. This scenario could result in prolonged cell cycle arrest or genomic instability due to missegregation of chromosomes.
In contrast, the Type II model demonstrates stability, with oscillations that dampen quickly even when subjected to perturbations. This highlights the crucial role of regulatory mechanisms represented by the exponents p and q and the perturbation functions in ensuring proper kinetochore function and fidelity during cell division.
The Type II model also demonstrated remarkable resilience across all forms of noise-dynamic, static, and Ornstein-Uhlenbeck (OU) noise. After sudden shocks, this model quickly returned to equilibrium, with oscillations damping rapidly regardless of the noise type (Fig. 3). This suggests that biological systems may employ similar strategies to maintain stability during mitosis, quickly correcting deviations to prevent errors in chromosome segregation.
In contrast, the Type I model showed significant fragility, particularly under OU noise, which simulates temporally correlated fluctuations akin to environmental memory effects. Persistent oscillations and prolonged recovery times were evident (Fig. 4), indicating that without robust regulatory parameters such as as p and q, the system struggles to cope with fluctuations. This increased variability could compromise the fidelity of chromosome segregation, leading to potential genomic instability. Meanwhile, Fig. 5 show that high intensity fluctuations have more variance but the overall effects of shocks on the amplitude remain consistent for both noise intensities 0.01 and 0.001.
For the Type I model, positive shocks are applied to the system under varying noise conditions to investigate its response. The parameters used are detailed in Information. The standard deviation and the mean dynamics is given after running 100 Monte Carlo simulations. (A) correspond to dynamic noise perturbations \(\frac{\xi _x}{x}\), and (B) corresponds static noise. In each case, the following process is applied. Positive shocks (increases in distance) are administered as follows: In the first shock, the distance moved by sister kinetochores 1 and 2 is increased by 50%. In the second shock, only sister kinetochore 1 experiences a 50% increase in distance, while sister kinetochore 2 remains stationary. In the third shock, only sister kinetochore 2 undergoes a 50% increase in distance.
Monte Carlo simulations of the Type II model under dynamic noise perturbations of the form \(\frac{\eta _x}{x}\). Individual trajectories (100 realizations) are shown for different noise intensities: (A) \(\sigma = 0.01\) representing higher-intensity fluctuations, and (B) \(\sigma = 0.001\) representing lower-intensity fluctuations.
Our findings align with previous studies emphasizing the importance of non-linear and scale-invariant properties in cellular processes. Power-law behaviors have been observed in various biological systems, reflecting the the underlying organizational principles that allow for adaptability and robustness51,52. Specifically, the non-linear response of kinetochores to tension and the regulation of microtubule dynamics by motor proteins have been shown to exhibit similar scaling behaviors34,53.
The resilience of the Type II model supports the notion that additional layers of regulation enhance kinetochore stability, as suggested by studies on the complex interplay of proteins at the kinetochore-microtubule interface21. Conversely, the fragility of the Type I model underlines the risks associated with insufficient regulatory mechanisms, corroborating findings where deficiencies in checkpoint proteins lead to chromosomal instability54.
The ability of the Type II model to swiftly stabilize after perturbations highlights the importance of adaptable regulatory mechanisms in ensuring the high fidelity of chromosome segregation. The exponents p and q appear to facilitate rapid adjustments in kinetochore mechanical properties or motor activities, allowing cells to respond effectively to both intrinsic and extrinsic fluctuations.
This adaptability reduces the likelihood of errors during mitosis, such as misattachments or missegregation of chromosomes, which can lead to aneuploidy. Our results suggest that enhancing or mimicking these regulatory mechanisms could be a potential strategy for improving cell division fidelity.
Further, exploring the effects of more complex and physiologically accurate noise patterns, including spatial correlations and non-Gaussian fluctuations, could provide deeper insights into how cells maintain robustness amidst intrinsic and extrinsic perturbations. Studying these models under varying conditions could reveal how cells optimize kinetochore function to prevent errors during chromosome segregation.
Data availability
There is no datasets used in this study due to the theoretical nature of the work. Source code will be made available at https://github.com/fmuk23/Kinetochore_Osc.git upon publication. For further information, Farzona Mukhamedova can be contacted at Farzona.mukhamedova@kcl.ac.uk.
Code availability
Source code will be made available at https://github.com/fmuk23/Kinetochore_Osc.git upon publication. For further information, Farzona Mukhamedova can be contacted at Farzona.mukhamedova@kcl.ac.uk.
References
Skibbens, R. V., Skeen, V. P. & Salmon, E. D. Directional instability of kinetochore motility during chromosome congression and segregation in mitotic newt lung cells: a push-pull mechanism. J. Cell Biol. 122(4), 859–875 (1993).
Jaqaman, K. et al. Kinetochore alignment within the metaphase plate is regulated by centromere stiffness and microtubule depolymerases. J. Cell Biol. 188(5), 665–679 (2010).
Wan, X., Cimini, D., Cameron, L. A. & Salmon, E. D. The coupling between sister kinetochore directional instability and oscillations in centromere stretch in metaphase ptk1 cells. Mol. Biol. Cell 23(6), 1035–1046 (2012).
Rudner, A. D. & Murray, A. W. The spindle assembly checkpoint. Curr. Opin. Cell Biol. 8(6), 773–780 (1996).
Rieder, C. L., Schultz, A., Cole, R. & Sluder, G. Anaphase onset in vertebrate somatic cells is controlled by a checkpoint that monitors sister kinetochore attachment to the spindle. J. Cell Biol. 127(5), 1301–1310 (1994).
Rieder, C. L., Cole, R. W., Khodjakov, A. & Sluder, G. The checkpoint delaying anaphase in response to chromosome monoorientation is mediated by an inhibitory signal produced by unattached kinetochores. J. Cell Biol. 130(4), 941–948 (1995).
Ha, G., Dieterle, P., Shen, H., Amir, A. & Needleman, D. J. Measuring and modeling the dynamics of mitotic error correction. Proc. Natl. Acad. Sci. 121(25), e2323009121 (2024).
Baker, T. M., Waise, S., Tarabichi, M. & Van Loo, P. Aneuploidy and complex genomic rearrangements in cancer evolution. Nat. Cancer 5(2), 228–239 (2024).
Truong, M. A. et al. A kinesin-based approach for inducing chromosome-specific mis-segregation in human cells. EMBO J. 42(10), e111559 (2023).
Iemura, K., Yoshizaki, Y., Kuniyasu, K. & Tanaka, K. Attenuated chromosome oscillation as a cause of chromosomal instability in cancer cells. Cancers 13(18), 4531 (2021).
Civelekoglu-Scholey, G. & Cimini, D. Modelling chromosome dynamics in mitosis: a historical perspective on models of metaphase and anaphase in eukaryotic cells. Interface Focus 4(3), 20130073 (2014).
Edelmaier, C. et al. Mechanisms of chromosome biorientation and bipolar spindle assembly analyzed by computational modeling. Elife 9, e48787 (2020).
Cozma, Christian, Westermann, Stefan: Kinetochores get a grip! J. Cell Biol. 224(1), (2025).
Larson, Joshua D., Heitkamp, Natalie A., Murray, Lucas E., Popchock, Andrew R., Biggins, Sue, & Asbury, Charles L. Kinetochores grip microtubules with directionally asymmetric strength. J. Cell Biol. 224(1), (2025).
Gasic, I., Nerurkar, P. & Meraldi, P. Centrosome age regulates kinetochore-microtubule stability and biases chromosome mis-segregation. Elife 4, e07909 (2015).
Sunchu, B. & Cabernard, C. Principles and mechanisms of asymmetric cell division. Development 147(13), dev167650 (2020).
Iemura, Kenji, Tanaka, Kozo: Chromosomal instability induced by chromosome dynamics in cancer cells. Fund. Biol. Princip. Cancer 3, (2022).
Sergei Vladimirovich Kozyrev. Lotka-volterra model with mutations and generative adversarial networks. Theor. Math. Phys. 218(2), 276–284 (2024).
Lampson, M. A. & Cheeseman, I. M. Sensing centromere tension: Aurora b and the regulation of kinetochore function. Trends Cell Biol. 21(3), 133–140 (2011).
Bruce Nicklas, R., Waters, J. C., Salmon, E. D. & Ward, S. C. Checkpoint signals in grasshopper meiosis are sensitive to microtubule attachment, but tension is still essential. J. Cell Sci. 114(23), 4173–4183 (2001).
Bruce, R. N. How cells get the right chromosomes. Science 275(5300), 632–637 (1997).
Khodjakov, A. & Pines, J. Centromere tension: a divisive issue. Nat. Cell Biol. 12(10), 919–923 (2010).
Liu, D. & Lampson, M. A. Regulation of kinetochore-microtubule attachments by aurora b kinase. Biochem. Soc. Trans. 37(5), 976–980 (2009).
Liu, D., Vader, G., Vromans, M. J. M., Lampson, M. A. & Lens, S. M. A. Sensing chromosome bi-orientation by spatial separation of aurora b kinase from kinetochore substrates. Science 323(5919), 1350–1353 (2009).
Bruce Nicklas, R. & Ward, S. C. Elements of error correction in mitosis: microtubule capture, release, and tension. J. Cell Biol. 126(5), 1241–1253 (1994).
Joglekar, A. P. & Hunt, A. J. A simple mechanistic model for directional instability during mitotic chromosome movements. Biophys. J. 83(1), 42–58 (2002).
Magidson, V. et al. Adaptive changes in the kinetochore architecture facilitate proper spindle assembly. Nat. Cell Biol. 17(9), 1134–1144 (2015).
Hill, T. L. Theoretical problems related to the attachment of microtubules to kinetochores. Proc. Natl. Acad. Sci. 82(13), 4404–4408 (1985).
Umbreit, N. T. et al. The ndc80 kinetochore complex directly modulates microtubule dynamics. Proc. Natl. Acad. Sci. 109(40), 16113–16118 (2012).
Manning, A. L. et al. Clasp1, astrin and kif2b form a molecular switch that regulates kinetochore-microtubule dynamics to promote mitotic progression and fidelity. EMBO J. 29(20), 3531–3543 (2010).
Tahara, T. et al. Asymptotic stability of a modified lotka-volterra model with small immigrations. Sci. Rep. 8(1), 7029 (2018).
Barton, N. R. & Goldstein, L. S. Going mobile: microtubule motors and chromosome segregation. Proc. Natl. Acad. Sci. 93(5), 1735–1742 (1996).
Drechsler, H. & McAinsh, A. D. Kinesin-12 motors cooperate to suppress microtubule catastrophes and drive the formation of parallel microtubule bundles. Proc. Natl. Acad. Sci. 113(12), E1635–E1644 (2016).
Kolomeisky, A. B. & Fisher, M. E. Molecular motors: a theorist’s perspective. Annu. Rev. Phys. Chem. 58(1), 675–695 (2007).
Gavin, C., Pokrovskii, A., Prentice, M. & Sobolev, V. Dynamics of a lotka-volterra type model with applications to marine phage population dynamics. J. Phys. Conf. Ser. 55, 80 (2006).
DarAssi, M. H., Khan, F., Muhammad, A. & Alqarni, M. S. Analysis of the competition system using parameterized fractional differential equations: application to real data. Symmetry 15(2), 542 (2023).
Torvi, J. R. et al. Reconstitution of kinetochore motility and microtubule dynamics reveals a role for a kinesin-8 in establishing end-on attachments. Elife 11, e78450 (2022).
Armond, J. W., Harry, E. F., McAinsh, A. D. & Burroughs, N. J. Inferring the forces controlling metaphase kinetochore oscillations by reverse engineering system dynamics. PLoS Comput. Biol. 11(11), e1004607 (2015).
Dudka, D. et al. Complete microtubule-kinetochore occupancy favours the segregation of merotelic attachments. Nat. Commun. 9(1), 2042 (2018).
Medina, M. A. C., Iemura, K., Kimura, A. & Tanaka, K. A mathematical model of kinetochore-microtubule attachment regulated by aurora a activity gradient describes chromosome oscillation and correction of erroneous attachments. Biomed. Res. 42(5), 203–219 (2021).
Maiato, H., Jennifer, D., Salmon, E. D. & Earnshaw, W. C. The dynamic kinetochore-microtubule interface. J. Cell Sci. 117(23), 5461–5477 (2004).
Hunter, A. W. & Wordeman, L. How motor proteins influence microtubule polymerization dynamics. J. Cell Sci. 113(24), 4379–4389 (2000).
Prosser, S. L. & Pelletier, L. Mitotic spindle assembly in animal cells: a fine balancing act. Nat. Rev. Mol. Cell Biol. 18(3), 187–201 (2017).
Tolić, I. M. Mitotic spindle: kinetochore fibers hold on tight to interpolar bundles. Eur. Biophys. J. 47(3), 191–203 (2018).
Shtylla, B. & Keener, J. P. A mathematical model for force generation at the kinetochore-microtubule interface. SIAM J. Appl. Math. 71(5), 1821–1848 (2011).
Hara, M. & Fukagawa, T. Dynamics of kinetochore structure and its regulations during mitotic progression. Cell. Mol. Life Sci. 77(15), 2981–2995 (2020).
Lin, Y., Wei, Y.-L. & She, Z.-Y. Kinesin-8 motors: regulation of microtubule dynamics and chromosome movements. Chromosoma 129(2), 99–110 (2020).
Goldstein, M. L., Morris, S. A. & Yen, G. G. Problems with fitting to the power-law distribution. Eur. Phys. J. B-Condensed Matter Complex Syst. 41, 255–258 (2004).
West, G. B. The origin of universal scaling laws in biology. Physica A 263(1–4), 104–113 (1999).
Luscombe, N. M., Qian, J., Zhang, Z., Johnson, T. & Gerstein, M. The dominance of the population by a selected few: power-law behaviour applies to a wide variety of genomic properties. Genome Biol. 3, 1–7 (2002).
West, G. B., Brown, J. H. & Enquist, B. J. The fourth dimension of life: fractal geometry and allometric scaling of organisms. Science 284(5420), 1677–1679 (1999).
Ali Tabei, S. M. et al. Intracellular transport of insulin granules is a subordinated random walk. Proc. Natl. Acad. Sci. 110(13), 4911–4916 (2013).
Akiyoshi, B. et al. Tension directly stabilizes reconstituted kinetochore-microtubule attachments. Nature 468(7323), 576–579 (2010).
Musacchio, A. & Desai, A. A molecular view of kinetochore assembly and function. Biology 6(1), 5 (2017).
Acknowledgements
We would like to thank the editor as well as the referees for their insightful perspective that has led to significant improvements in our work. The second named author (F.M.) acknowledges support from the UAEU UPAR Grant No. G00004962.
Author information
Authors and Affiliations
Contributions
F.M., and F.M. conceived the presented idea, conducted the experiments, developed the methods, discussed and wrote the final manuscript.
Corresponding author
Ethics declarations
Competing interests
The authors declare no competing interests.
Additional information
Publisher’s note
Springer Nature remains neutral with regard to jurisdictional claims in published maps and institutional affiliations.
Supplementary Information
Rights and permissions
Open Access This article is licensed under a Creative Commons Attribution-NonCommercial-NoDerivatives 4.0 International License, which permits any non-commercial use, sharing, distribution and reproduction in any medium or format, as long as you give appropriate credit to the original author(s) and the source, provide a link to the Creative Commons licence, and indicate if you modified the licensed material. You do not have permission under this licence to share adapted material derived from this article or parts of it. The images or other third party material in this article are included in the article’s Creative Commons licence, unless indicated otherwise in a credit line to the material. If material is not included in the article’s Creative Commons licence and your intended use is not permitted by statutory regulation or exceeds the permitted use, you will need to obtain permission directly from the copyright holder. To view a copy of this licence, visit http://creativecommons.org/licenses/by-nc-nd/4.0/.
About this article
Cite this article
Mukhamedova, F., Mukhamedov, F. Stability and robustness of kinetochore dynamics under sudden perturbations and stochastic influences. Sci Rep 15, 14883 (2025). https://doi.org/10.1038/s41598-025-98415-z
Received:
Accepted:
Published:
Version of record:
DOI: https://doi.org/10.1038/s41598-025-98415-z







