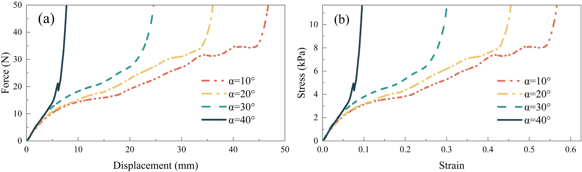
Fig. 12

(a) Force-displacement Stress–strain curves for different\(\:\:\alpha\:\) angles. (b) Stress–strain curves for different\(\:\:\alpha\:\) angles.

(a) Force-displacement Stress–strain curves for different\(\:\:\alpha\:\) angles. (b) Stress–strain curves for different\(\:\:\alpha\:\) angles.