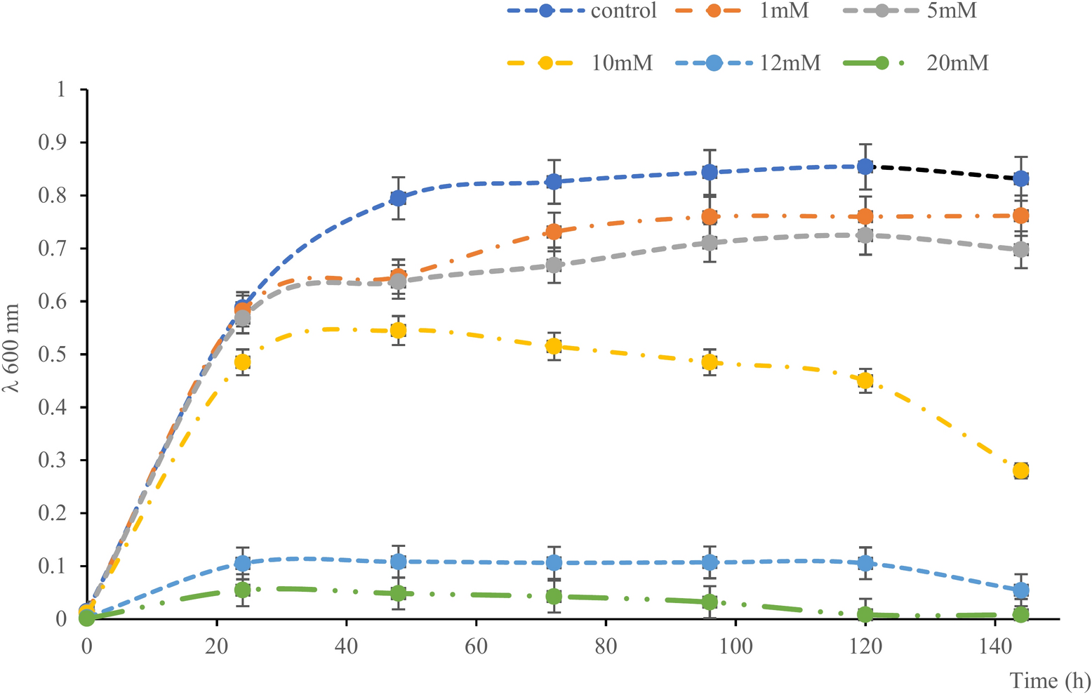
Fig. 1

Growth kinetics of M. hydrocarbonoxydans in NB medium added with different concentrations of As (III): 1 mM (orange line), 5 mM (gray line), 10 mM (yellow line), 12 mM (light blue line) y 20 mM (green line). A control without arsenite is also included (dark blue top line). Three separate assays were performed. Error bars represent standard deviation.