Abstract
Energy technology plays a crucial role in driving innovative and sustainable solutions in the evolving energy sector. This study addresses the fragmented understanding of the regulatory, economic, environmental, and social enablers essential for technological development in sustainable energy enterprises (SEEs). The study addresses the gap in the literature concerning how social, economic, technological, and environmental factors interrelate to influence technology innovation development. This research aims to identify and rank critical success factors (CSFs), analyze their interdependencies, and examine their driving power and dependence. Data were collected from eleven energy entrepreneurs, and the relationships among eight factors were evaluated via total interpretive structural modeling (TISM), and cross-impact matrix multiplication applied to classification (MICMAC) was employed to categorize autonomous, driving, dependent, and linkage factors. The results highlight market dynamics as the foundation factor for technological development, whereas long-term sustainability emerges as the most dependent factor. Risk management, resilience, partnerships, and collaboration are identified as key linkage factors that influence SEE innovation. While the small sample size is a limitation, the findings provide valuable insights for energy entrepreneurs, practitioners, and policymakers by identifying CSFs that support informed decision-making, resource allocation, and strategy development for effective technology development. The study recommends fostering partnerships, adopting cost-reduction approaches to enhance performance, and investing in continuous research and development to ensure technological feasibility, differentiation, and market adaptability. The theoretical contribution lies in bridging research gaps through empirical insights, integrating existing theories, and paving the way for future studies in the growing field of sustainable energy innovation.
Similar content being viewed by others
Introduction
Increasing concerns about environmental sustainability underscore the urgent need for clean energy solutions1,2. Recent assessments, including the Intergovernmental Panel on Climate Change (IPCC) 2023 Synthesis Report, emphasize that the immediate adoption of sustainable energy systems is critical for mitigating future risks3. The International Energy Agency underlines the importance of technological innovation in advancing energy technologies to achieve net-zero targets and strengthen energy security4. Amid this urgency, the global shift toward renewable energy has gained considerable momentum5. In this context, the United Nations Sustainable Development Goals (SDGs), particularly SDG 7 (Affordable and Clean Energy), and forums such as the Conference of the Parties to the United Nations Framework Convention on Climate Change (COP 26, COP 29) highlight the necessity of climate action and sustainable energy transitions6,7. These transitions encompass not only new energy solutions but also far-reaching changes across economic, social, and environmental systems8.
Despite increased attention, the energy sector still faces considerable challenges. Entrepreneurial activities in this domain—measured by new startups and corporate innovation—remain relatively low9,10,11. Nonetheless, sustainable energy entrepreneurs incorporate green technologies to gain competitive advantages through product differentiation12. Many sustainable energy enterprises (SEEs) now rely on renewable sources to reinforce environmental goals13,14. Sustainable energy enterprises can be characterized as entities that secure and manage energy resources deemed socially, economically, and environmentally viable to ensure affordable modern energy services15. They emphasize environmentally responsible management, energy efficiency, and continuous technological innovation to meet current energy demands without jeopardizing the needs of future generations16. This holistic commitment to long-term sustainability differentiates SEEs from traditional energy-focused ventures. We proposed the following definition of SEEs; SEEs are enterprises that focus on the securing and management of energy depending on the socially and economically feasible and beneficial energy source for providing affordable modern energy services by ensuring sustainable-driven management practices, energy efficiency, prioritizing environmental management, incorporating technology innovations, and ensuring corporate sustainability which satisfies the present demands without sacrificing the ability of the future generation to meet needs with an aim of the long-term sustainability. In the study context, they are small and micro-level enterprises registered under the Indian Micro, Small, and Medium Enterprises (MSME) Act.
The success of technological innovation in SEEs depends more on demand-side policies than on overcoming financial constraints, reinforcing the need for strategic market interventions to drive clean energy adoption17. Broader trends, including the liberalization of energy markets and the decentralization of distribution networks, create additional opportunities for technology-focused enterprises9. The global energy innovation index, which assesses the advancement of clean technology across countries, reflects a need for proactive policy and market support18. Government interventions—through subsidies, policy incentives, or carbon pricing—can facilitate cleaner technologies but also depend heavily on the broader context of market forces, stakeholder collaboration, and consumer awareness5,19,20. Energy sector digitalization has emerged as a strategic priority for mitigating GHG emissions, ensuring energy security, and spurring economic development21,22. Renewable energy technologies provide a pathway for environmentally responsible growth by optimizing resource usage and encouraging sustainable consumption5,22. These technologies can be scaled or transferred across regions, effectively overcoming barriers to adoption and promoting widespread clean-energy deployment23.
Innovation in clean energy technologies has a bidirectional relationship with carbon emission levels and can significantly influence energy efficiency24,25,26. Hybrid renewable energy systems (HRES)—integrating resources such as solar and wind—illustrate how new technologies optimize the energy supply across different scenarios27,28. Given the strong correlation between energy consumption and GHG emissions, the role of renewable energy in mitigating climate change is increasingly evident29. Storage solutions and grid consistency also advance renewable energy uptake30. Significant obstacles—covering regulatory, economic, and technological dimensions—need to be addressed to foster widespread adoption31,32.
Existing research offers fragmented insights into the critical success factors (CSFs) that propel technological innovation within sustainable energy enterprises. For instance, regulatory support is often highlighted33,34, whereas financial resources are deemed crucial35. Infrastructure, education, and training further reinforce entrepreneurial activities10,11,36. Personal motivations and environmental considerations influence entrepreneurs’ decisions37. However, the literature rarely examines how these drivers interact comprehensively to accelerate sustainable energy solutions. Addressing this gap through a holistic framework can offer strategic insights for policy-makers, entrepreneurs, investors, and community stakeholders. This study is motivated to fill this knowledge gap for fostering technological innovation.
India represents an important case for studying such technological transitions in the energy sector38,39,40,41. The country’s entrepreneurial ecosystem has experienced rapid growth, bolstered by supportive policies and market conditions42 and, more recently, with low-carbon technology startups16,43. India boasts the world’s second-largest population, which drives increasing energy demand44,45. It already sources approximately 40% of its energy from renewable resources and ranks among the top producers of wind and solar power globally46,47. As of March 2019, India’s total installed power capacity reached 356 GW, with 21.8%—equivalent to 77.64 GW—derived from renewables. Pavagada Solar Park, the largest solar power plant in the world with a capacity of 2.05 GW, further underscores India’s leadership in large-scale renewable infrastructure48. At COP 26, the country pledged to achieve 500 GW of renewable energy by 2030, highlighting its commitment to sustained green energy expansion49. Such ambitions, alongside India’s standing as the fourth-largest renewable energy leader (REN21, Renewables 2022 Global Status Report), illuminate the importance of understanding how local enterprises develop, implement, and scale new technologies to meet rising energy needs.
Given India’s expansive and complex energy landscape, a comprehensive examination of the CSFs governing technological innovation in SEEs is both timely and necessary. Prior research frequently addresses individual variables—financial constraints or regulatory frameworks50,51,52,53—without integrating them into a unified perspective. By capturing the interplay among regulatory, economic, environmental, social, and market-oriented dimensions, this study addresses the existing research gap. It also contributes to broader debates on climate change mitigation and energy transition through an emerging-economy lens. We focused on the feasibility of the technology which relates to the adaptability and integration of innovation with the existing system as a critical success factor. Along with this rationale, another novelty of the study is the application of the total interpretive structural modeling (TISM) to reveal hierarchical relationships among the identified CSFs and cross-impact matrix multiplication applied to classification (MICMAC) analysis to categorize these factors by their driving power and dependence. These tools collectively offer a framework for decision-makers seeking to foster sustainable energy solutions in the face of environmental, policy, and market uncertainties. The following are the research objectives and contributions of our research.
The goal of this study is to identify and analyze the critical success factors (CSFs) that shape technological innovation in sustainable energy enterprises (SEEs). In doing so, we address a gap in the literature concerning how social, economic, technological, and environmental factors interrelate to influence energy sector entrepreneurship. Two primary research objectives guided this research:
-
1.
To identify and examine the levels of interdependence of CSFs influencing technological development in SEEs.
This objective focuses on identifying and ranking the CSFs that influence technological development in SEEs, encompassing social, economic, technological, and environmental dimensions. By prioritizing eight major factors, we offer insights into which CSFs are most crucial for advancing energy technologies. Importantly, this ranking goes beyond a static list: it also explores how different factors—such as technological feasibility, market dynamics, and risk management—interact. Understanding these interdependencies provides a holistic view of the SEE ecosystem, enabling enterprises to allocate resources more effectively for efficiency, innovation, and sustainability. Such knowledge is especially relevant in a dynamic energy sector, where the interplay of multiple factors can significantly influence long-term viability.
-
2.
To examine the driving power and dependence of the critical success factors of technological innovation in SEEs through MICMAC analysis of prioritization.
The second objective leverages MICMAC analysis to classify the identified CSFs according to their driving power and dependence. This categorization distinguishes autonomous factors (low driving, low dependence), dependent factors (low driving, high dependence), linkage factors (high driving, high dependence), and independent factors (high driving, low dependence). By clarifying these relationships, we highlight which CSFs exert the greatest strategic influence on innovation and which rely more heavily on other elements. These insights can guide risk management, resource allocation, and strategic planning in SEEs. They also inform policymakers on where targeted support may catalyze broader gains, thereby reinforcing sustainable technology development.
These objectives offer tangible benefits for multiple stakeholders in the sustainable energy ecosystem. Practitioners—including entrepreneurs and managers—can use the identified CSFs and their interdependencies to make informed decisions regarding resource optimization, risk mitigation, and the design of innovative business models. Policymakers have clarified which factors most urgently require regulatory or financial support, aiding in the formulation of policies that accelerate clean energy transitions. Researchers benefit from an expanded empirical and theoretical foundation, which not only bridges current knowledge gaps but also suggests new avenues for future work in sustainable energy entrepreneurship. Through this integrated approach, the study enriches the literature while providing practical strategies for enhancing technology-driven solutions in the renewable energy domain.
This exploration helps energy entrepreneurs, managers, and policymakers with informed decision-making, resource allocation, and framing strategies for effective technology development. For practitioners, the study provides actionable recommendations on which factor is the most relevant critical success factor, which is dependent, and how these factors are related. Each will help in informed decision-making on resource optimization, managing risks, increasing innovations, formulating strategic plans, and areas where more focus is required for entrepreneurial success. This will guide policymakers in terms of where support is necessary and formulate policies that help increase sustainable technology development based on CSFs. This will also help researchers add to the existing body of knowledge by providing an empirical understanding of existing theories and filling the existing research gap. This examination also opens further research possibilities in this growing field of sustainable energy.
This research paper is organized as follows: an introduction showing the purpose, scope, significance, and objectives and a short snapshot of how the study will contribute. The literature review describes the current body of knowledge highlighting SEEs, their contribution to the SDGs, theoretical frameworks, and explanations of identified factors. The research methodology explains the methodology and the process of execution. The fourth section, Results, illustrates the results of the analysis and interpretation of how each factor is influenced. The fifth section highlights the core findings of the study, followed by the next section, which presents a discussion of these findings with existing research. The seventh section outlines the contributions of the study, followed by its limitations and future research scope. The last section presents the conclusions of the study.
Literature review
Sustainable energy enterprises
Energy is fundamental to human life, yet certain energy sources contribute to environmental and social challenges through harmful byproducts. Enterprises in the energy sector leverage technological innovation to increase the efficiency, sustainability, and economic viability of power generation. Sustainable energy development is recognized as a key driver of national growth, as reflected in policies and strategic plans worldwide54. Governments and enterprises increasingly invest in research and development (R&D) to advance clean energy solutions, as seen in Malaysia’s Five Fuel Diversification Policy, which incorporated renewable energy into the national energy mix in 200055.
Sustainable energy enterprises (SEEs) are central to this transformation, as they integrate renewable energy adoption, energy efficiency, environmental management, and corporate sustainability into their operations56,57. The sustainable energy system developed by these enterprises prioritizes secure, cost-effective, and environmentally beneficial energy supplies on the basis of socially and economically viable sources58. Four fundamental pillars—energy accessibility, security, sustainability, and demand management—guide SEE strategies, ensuring long-term resilience in the energy transition. However, energy alone is not the sole determinant of sustainable development; instead, a systems-based approach incorporating economic and social dimensions is necessary56.
SEEs focus on reducing waste, minimizing environmental damage, and developing innovative energy technologies across production and distribution stages58. They rely on renewable and nondepletable resources such as solar, wind, and biomass, which have lower environmental impacts than fossil fuels55,59. SEEs incorporate energy management systems (EMSs) to support sustainable practices, often aligning with international standards such as ISO 50,001 for EMS certification60,61. These systems enhance operational efficiency and reinforce SEE commitments to eco-modernization, fostering favorable environmental outcomes through technology-driven solutions60.
Beyond technological advancements, SEEs embed corporate sustainability strategies that align with triple-bottom-line goals, balancing economic, environmental, and social objectives62. The relationship between CSFs and sustainable energy projects in the context of Pakistan reveals the importance of sustainability for the successful running of energy ventures63. These studies underscore the strategic importance of sustainability for the long-term success of energy ventures. However, a deeper exploration of the interdependencies among CSFs is needed to understand how they collectively drive technological innovation in SEEs. Addressing this gap can enhance decision-making for resource allocation, risk management, and policy development, ensuring that sustainable energy enterprises remain at the forefront of the clean energy transition.
Contribution of SSEs to the SDGs
The United Nations Sustainable Development Goals (SDGs) serve as a global framework for achieving balanced social, economic, and environmental progress across all nations64. Sustainable energy enterprises (SEEs) play a crucial role in advancing these goals by leveraging technological innovation and renewable energy technologies, which mitigate environmental impacts and promote long-term sustainability65,66,67.
One of the most direct contributions of SEEs to the SDGs is through increasing the share of renewable energy in the total energy mix, enhancing equitable access to modern energy services, and aligning with SDG 7 (Affordable and Clean Energy)30,68,69. SEEs contribute to SDG 9 (Industry, Innovation, and Infrastructure) by investing in resilient energy infrastructure, integrating renewable energy into industrial operations, and fostering supply chain sustainability. Advancements include the development of energy storage systems, microgrids, and smart grid solutions, which improve energy efficiency and reliability68.
By focusing on renewable energy technologies, SEEs significantly contribute to SDG 13 (climate action) by reducing carbon emissions and dependency on fossil fuels70,71. In addition to their environmental benefits, SEEs also promote economic growth and employment generation, aligning with SDG 8 (Decent Work and Economic Growth). For example, the expansion of solar PV plants has created new job opportunities, contributing to a higher human development index (HDI) through improved income levels and life expectancy71. The following Fig. 1 shows the interlink of the SEEs and SDGs.
SEEs enhance sustainable consumption and production patterns, reinforcing SDG 12 (Responsible Consumption and Production) by reducing waste, optimizing resource utilization, and fostering green innovation. The interdependence of various technological advancements within the innovation ecosystem plays a vital role in accelerating sustainable energy solutions72. Artificial intelligence (AI) integration in renewable energy further strengthens SEEs’ contributions to SDG 7, SDG 9, and SDG 13, driving greater efficiency, predictive analytics, and adaptive energy management systems30.
Theoretical framework for CSFs
Theoretical perspectives provide a structured framework for understanding the critical success factors (CSFs) influencing technological innovation in sustainable energy enterprises (SEEs). Five key theories—the resource-based view (RBV), dynamic capability theory (DCT), stakeholder theory, diffusion of innovation (DOI) theory, and Schumpeter’s innovation theory (SIT)—collectively explain how resources, adaptability, stakeholder engagement, technological diffusion, and continuous innovation shape the success of SEEs.
The resource-based view (RBV) emphasizes that enterprises gain a competitive advantage by effectively utilizing Valuable, Rare, Inimitable, and Organized (VRIO) resources73. Originally developed by Wernerfelt and refined by Barney, the RBV highlights the importance of both tangible and intangible resources—including technologies, skilled human capital, and innovation capabilities74. In SEEs, access to clean energy technologies, intellectual property, and financial resources determines their ability to foster sustainability. The RBV acknowledges the dynamic nature of resource value, emphasizing that enterprises must continuously evolve in response to changing market and policy conditions75,76.
Building on the RBV, dynamic capability theory (DCT) expands the focus to how enterprises reconfigure and adapt their resources in rapidly changing environments77. As proposed by Teece and colleagues, DCT underscores strategic agility, innovation capabilities, and resilience—factors essential for SEEs operating in a policy-sensitive and volatile energy sector. SEEs must develop and realign competencies, such as investing in R&D, responding to regulatory shifts, and managing technological disruptions, to maintain long-term sustainability78. DCT provides a framework for understanding how SEEs enhance their technological capabilities while ensuring operational resilience.
SEEs operate in a complex ecosystem where multiple stakeholders—employees, investors, policymakers, consumers, and local communities—contribute to and benefit from sustainable energy innovations. Stakeholder theory. Veronica et al.79 emphasizes value cocreation, advocating for collaborative decision-making in sustainable ventures. For example, stakeholder engagement in green technology development accelerates the transition toward low-carbon energy solutions80. In SEEs, collaborations between policymakers, energy firms, and research institutions foster innovation while addressing environmental and social challenges. Stakeholder-driven strategies ensure the adoption and scaling of sustainable energy technologies.
Everett Rogers’ diffusion of innovation (DOI) theory explains how technological innovations spread across enterprises and industries81. The five key stages of innovation diffusion—knowledge, persuasion, decision, implementation, and confirmation—are crucial in understanding how SEEs adopt and deploy renewable energy technologies. Adoption patterns vary among innovators, early adopters, early majority, late majority, and laggards, affecting the pace of sustainable energy adoption82. Factors such as relative advantage, compatibility, complexity, trialability, and observability influence the rate at which SEEs integrate emerging energy technologies.
Schumpeter’s innovation theory (SIT) highlights the role of entrepreneurs in driving economic and technological progress through continuous innovation83. In SEEs, energy entrepreneurs develop and commercialize new energy technologies, contributing to both financial sustainability and environmental impact reduction. This theory underscores the need for new products, processes, and business models that enhance energy efficiency and sustainability. The emphasis on technological breakthroughs in renewable energy aligns with the long-term success of SEEs, making innovation a core driver of sustainable energy transitions.
Together, these theories provide a comprehensive foundation for understanding technological innovation in SEEs. The RBV and DCT explain how SEEs leverage and reconfigure resources for competitive advantage, whereas stakeholder theory highlights the role of collaborative engagement. DOI theory sheds light on the adoption process of renewable technologies, and SIT underscores the entrepreneurial drive behind sustainable innovations. By integrating these perspectives, this study examines the CSFs that enable SEEs to scale sustainable energy solutions, ensuring long-term viability in an evolving global energy landscape.
CSFs for technological development in SEEs
The success of the development of sustainable energy technologies is based on certain factors. The following factors need to be carefully considered to ensure success in developing the technology in the SSEs. These factors are related to existing theories. Table 1 shows the eight identified factors from the literature and expert opinions. The detailed working definition of each factor is explained below;
The identified CSFs are related to the RBV, DCT, stakeholder theory, DOI theory, and SIT. Cost-effectiveness and economic viability (F1) are related to the RBV on the importance of the usage of VRIO resources. This factor aligns with the RBV because efficient energy technological innovation resource allocation aims for cost-effectiveness, and the advantage of economic value creation leads to economic viability. Technological feasibility and differentiation (F2) is connected with the DCT, highlighting the importance of innovation. SEEs can reshuffle with the changing environment to develop sustainable innovation. The technology should have dynamic capabilities. Similarly, scalability and adaptability (F3) are also related to DCTs, which emphasize agility. The technologies must be adaptable and should feature changing demands or conditions. DOI is related to the market dynamics that determine the success of sustainable ventures. Hence, the development of technologies that are capable of meeting the diffusion of innovations and market dynamics is another significant factor. In other words, this will influence the situation such that sustainable energy technology will increase demand, provide a relative advantage, and lead to market leader. Partnerships and Collaboration (F5) is identified from stakeholder theory, which focuses on stakeholder engagement and collaboration for sustainable energy technology development. Risk management and resilience (F6) is oriented such that DCTs emphasize the importance of the effective management of risk and resilience. DCT technologies, which are capable of managing risks and ensuring resilience, help with stability and facing disruptions. SIT is the basis for the identification of the factor of long-term sustainability (F7) because it focuses on the theory of SEE’s ability to achieve long-term sustainability by relying on perpetual innovations and sustainable practices aligned with standards. The last factor, regulatory compliance (F8), is connected with institutional theory, which includes the influence of regulatory, legal, and policy frameworks. The technology development of SSEs must adhere to regulatory standards, and strict compliance mandatory in each stage will improve trust and legitimacy. Figure 2 shows the connection of CSFs with theories.
Methods
The research design of the study with the study participant selection criteria, overview, and stage of methods are explained in this section.
Research design
The study used a quantitative research approach to understand the relationships among CSFs for technology development in SEEs. The results are interpreted qualitatively. TISM has the advantage of qualitatively discussing the analysis results by interpreting each relationship in detail. The participants identified through the purposive and snowball sampling technique who met the inclusion and exclusion criteria to become treated as experts are presented in Fig. 3. Initially, purposive sampling is applied to identify the respondents meeting the prefixed eligibility criteria outlined in the following figure. Snowball sampling is used to reach out to the respondents who are most suitable for the study on the basis of the references of the previous participants, ensuring expertise in this field. These are effective sampling techniques for understanding the relationships among factors109.
The interviews with eligible study participants were conducted between May 2024 and August 2024 via a closed-ended questionnaire comprising 56 questions that examined the relationships among eight critical factors. To refine the contextual relationships between these factors, face-to-face interviews were conducted with 11 experts, including Senior Project Research Scientists, Senior Energy Consultants, General Secretaries, Principal Consultants, Senior Research Associates, Joint Directors, Energy Auditors, and Engineer-Energy Systems. These experts, all based in India, had entrepreneurial experience in the energy sector ranging from over one year to 36 years, spanning small- to large-scale ventures. Each interview lasted between 45 min and 1 h. The first 15 min were dedicated to explaining the factors, ensuring that the participants fully understood their significance. Following this, the experts rated the relationships between factors, such as by evaluating the influence of Factor 1 (F1) on Factor 2 (F2). This structured approach facilitated a comprehensive assessment of the interdependencies shaping technological innovation in sustainable energy enterprises.
The sample size was limited to 11 experts for several key reasons. First, data saturation was reached during the interviews. The discussions focused on the relationships between factors, identified the most significant connections, and classified factors as driving, linking, autonomous, or dependent. By the 11th interview, the responses were consistent, with no new insights emerging. In total interpretive structural modeling (TISM), when repeated responses confirm established relationships, additional interviews become redundant, making further data collection unnecessary. Second, the methodology itself requires a small sample size. Similar studies have successfully used a limited number of experts, such as Dalvi-Esfahani et al.110, who examined barriers to green computing with 15 experts, and Kharb et al.111, who explored barriers to green financing for environmental sustainability with 12 experts. These studies align with the approach taken in this research, demonstrating that a small but highly qualified sample is sufficient for robust insights. Finally, expertise and relevance were prioritized in participant selection. Only professionals with substantial experience in energy ventures were interviewed, ensuring well-informed and credible responses. Many of the respondents were certified energy auditors actively involved in running their ventures, further validating their qualifications to contribute meaningful insights. Given these factors, a sample size of 11 was deemed appropriate for achieving reliable and actionable conclusions.
Table 2 illustrates the existing research related to the energy and energy technologies in which TISM and MICMAC analysis were applied. This reveals the importance of these methods in the energy field and highlights the methodological gap prevailing in the current body of knowledge on the application of these methods in CSFs for technological development in the energy enterprise context. Following table provides the existing research focus related to energy and energy technologies by using methods to highlight the application areas and reveal the methodological gap filled by this research.
TISM
TISM has advantages over ISM and other MCDM techniques. Interpretive structural modeling (ISM) is an effective technique for identifying the relationships among factors that define problems, and various researchers use it to understand the interrelationship of the selected factors117. However, transparency and explanations are missing and incomplete for the structural links in ISM. This is the reason for the extension of the ISM to TISM118. Another limitation of ISM is that the link-level digraph interpretation is not good119. Compared with exploratory factor analysis, TISM is preferred because it overcomes the inability of the intensity of the relationship to manage the two factors comprehensively rather than just grouping and checking the correlation120. TISM provides an interpretative understanding of other techniques, such as the analytic hierarchy process (AHP) and best‒worst method (BWM), in terms of their relationships with the core underlying aspects119,121. TISM is used to examine the relationships between nodes and linkages122. Many researchers have used the TISM approach for analyzing factor relationships in manufacturing and service industries.
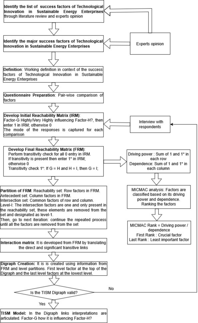
This paper uses the TISM approach to analyze the interrelationships among the success factors for technological development in SEEs. The flow of the research methodology steps is shown in Fig. 4. TISM, a model proposed by Sushil, promotes the interpretation of nodes and links with analytics together with the conceptualization and validation of theories123. TISM is also suitable for pairwise comparisons with ensuing accuracy at different trials. It is one of the best tools for identifying relationships and visualizing hierarchical structures124. The major steps in TISM are as follows:
The following steps are adopted122 for the successful application of the TISM model:
-
1.
Identification of the factors: The first step was to identify the success factors for technological development in SEEs. This was identified through a literature review and expert opinion. The identified major factors are listed in Table 1.
-
2.
The interconnectedness between factors must be established: The initial reachability matrix (IRM) is a matrix that shows the influence of each factor in this process. For example, in the first question, which addresses how much F1 influences F2, the next relationship is also identified. the influence level is identified through the rating of each relationship on a likert scale ranging from very high to very low. However, 0 denotes very low influence, and 4 indicates very high influence. For arriving at the IRM, “mode”, a measure of central tendency, is used for the compilation of the individual experts’ responses. To arrive at the IRM, contextual relationships between the factors must be established. In the IRM, all the highly and very highly influential relationships are converted into 1, and the very low, low, and moderate influence influential relationships are changed to 0. We required only highly and very highly influential relationships for ranking the factors and understanding their significant influence. IRM is an interpretation of the relationship of each element to answer the questions of what, why, and how influence occurs. Table 3 illustrates the IRM matrix
-
3.
Interpretation of the relationships among factors: In the TISM approach, this step answers the question of ‘how’ and aims to understand how factor A influences factor B.
-
4.
The final reachability matrix (FRM) is developed after checking for transitivity: A transitivity check must be performed before arriving at the FRM. A transitivity check must be performed on all the entries with ‘0’ in the IRM. Table 4 contains the FRM. The FRM was developed from the IRM after carefully considering that all the relationships, including transitive relationships, are included and logically explained. The transitive relationship is that if the first factor influences the second factor, the second factor influences the third factor, and the first factor influences the third factor. For example, if A influences B and B influences C, then A should influence C125. A transitivity check must be performed on all the entries with ‘0’ in the IRM126. If the pair factors have a transitive link, then transitivity is presented with a star (*). It may be 1*, or 1**, etc. 1* (First-level transitivity): G=H; H=I; hence, G=I; 1** (Second-level transitivity): G=H; H=I; I=J; hence, G=J. Here, we can see “1”, “0”, and “1*” in the FRM. The transitivity is checked following Sushil127.
-
5.
Partitioning of the factors from the FRM into levels: The partition reachability matrix arrives from the FRM124. This is used mainly for identifying hierarchical levels and it is shown in appendix Tables A1-A6.
-
6.
Designing the interaction matrix: Direct and significant transitive links are used to design the interaction matrix. The data are depicted in Table 5.
-
7.
Creating the digraph and the TISM model: The digraph, also known as a directed graph, is created by using data from the interaction matrix and the level partitions128. In the digraph, factors at the top of the model are called first-level factors, and subsequent levels are ranked in ascending order. Using the digraph and the interpretive interaction matrix, the TISM model is developed.
MICMAC
MICMAC is an effective technique proposed by Dupejrin and Godet in 1973 for examining the factors in a system129. This also helps in the identification of factors belonging to the driving power and the dependence of each set130. The classification of the relationships along with the hierarchical cycle involves analyzing the degree of influence and forming a quadratic system that contains four quadrants: driving, linkage, autonomous, and dependence factors. This shows the utility of the MICMAC for differentiating the factors and helps in recommending managerial implications and interventions for forming strategies120. The X-axis in the diagram represents the driving power, and the y-axis represents the dependence. The X-axis helps to identify the independent factors that force or impact CSFs and that are dependent on or influence CSFs for technological development. MICMAC is applied here to understand the foundational factors that require more importance and which factors are influenced by the driving factors. Compared with manual ISM, MICMAC analysis has the advantages of a lower chance of error and complexity through a systematic process of classifying factors into four quadrants. It has another advantage over other MCDM techniques in its versatility and application in different problems related to decision-making in different domains, such as sustainability, digital transformation, and supply chain management131. The use of MICMAC reduces the complexity and potential errors associated with manual ISM applications by providing a systematic approach to classifying and analyzing variables.
The major steps include the following:
-
1.
Autonomous factors (Zone-I): Factors that have weak dependence and weak driving power are known as autonomous factors113.
-
2.
Dependent factors (Zone II): Factors that have greater dependence on other factors but less driving power are known as dependence factors.
-
3.
Linkage factors (Zone III): Factors that have strong dependence and strong driving power are known as linkage factors132.
-
4.
Driving or independent factors (Zone IV): Factors that have strong driving power but weak dependence are known as driving factors or independent factors133.
Hence, the TISM and MICMAC methods are relevant for identifying the relationships among the eight identified CSFs to answer the two research questions.
Results
The TISM model is shown in Fig. 5, and the reasons behind the direct and significant transitive links are discussed in section “Interpretation of the TISM digraph”. This figure represents the graphical representation of the TISM analysis of the CSFs for technological development in SEEs.
Interpretation of the TISM digraph
Level VI: level six has one factor, which is factor 4
F4 influencing F2: market dynamics influencing technological feasibility and differentiation
The market dynamics mainly consist of changes in consumer preferences, demand in the market, and competition, which impact the development of technology. The best example, in this case, is that entrepreneurs are required to develop feasible and distinguished technologies from conventional technologies if there is a demand for renewable and clean energy rather than nonrenewable sources. Entrepreneurs need to focus on efficient solar energy with smart grid technologies and wind solution storage systems that are capable of eliminating the issue of the energy supply, which is also the influence of F4 on F2. The market dynamics influence entrepreneurs, especially startups, who rely on techniques to develop products and solutions that are economically viable and sustainable to overcome the extensive competition in the market. The best example in this scenario is the development of battery technologies in electric vehicles (EVs) that can be stored and are sustainable because of increasing marketing factors. A lithium battery is the key outcome of this influence.
F4 influencing F3: market dynamics influencing scalability and adaptability
The demand in the market for sustainable energy products has increased, resulting in enterprise growth, which has resulted in scalability and improved adaptability to dynamic environments. Market growth allows enterprises to make their products available in different geographical locations. Scalability comes into this picture, and they need to ensure that innovations are adaptable to the macro and micro environments consisting of customer preference, regulation, and location. This influences the development of technology capable of satisfying the demands of various contexts. The preference for renewable energy increases solar panel installation in rural and urban areas for both residential and industrial purposes (scalability), the building of turbines for wind solutions according to the wind conditions and environment, and the development of microgrids to satisfy community requirements on the basis of the adaptability of the specific climate portrays.
F4 influencing F5: market dynamics influencing partnerships and collaboration
Collaboration among stakeholders, such as governments, investors, technology developers, and intermediaries, is essential for SEEs to sustain a competitive market. The partnership is driven mainly by breakthroughs in innovation that open the door for rapid development opportunities, the success of the ultimate desirable product, and the required advancement with additional technology. The entrepreneurs are motivated to collaborate with stakeholders for their next growth level and to overcome the challenges strategically, especially in infrastructure projects on solar grids and wind farms, which require collaboration with investors, the government for regulatory permissions, and technology developers. It is difficult for an entrepreneur to survive in the market with existing technologies, and startups are required to further develop the minimum viable product into the ultimate desirable product. The partnership promotes reducing costs and resource optimization and sharing better expertise, knowledge exchange, and idea generation for technology development. The best examples are the European offshore wind energy market, partnerships of the North Sea Wind Power Hub, and alliances of Denmark, the Netherlands, and Germany for developing offshore wind farms to deliver renewable energy in Europe.
F4 influencing F6: market dynamics influencing risk management and resilience
The uncertainties in the market call for effective risk management strategies to be resilient. Changes in price, regulations, especially energy policies, and technological advancements must be carefully observed, and risk management needs to be undertaken. The startups are aiming for rapid development. Startups introduce a competitor’s innovative technology, reduce the price, and offer innovative solutions. The operational challenges and contingency possibilities are high due to changes in market dynamics. For example, a regulatory change in the reduction of subsidies for solar energy impacts enterprise functioning. Likewise, the global disruptions that change market dynamics also influence market dynamics. These necessities handle risk through flexible financing options, portfolio diversification, and new business models for technological innovations. The best scenario in the energy sector applicable in this case is the impact of COVID-19, and the Russian and Saudi Arabian oil war significantly affects the energy sector. Compared with fossil fuel consumption, oil price collapse reduces the demand for renewable energy. Hence, entrepreneurs should develop technologies addressing changes in market dynamics, and effective risk management plans will increase the smooth development of innovations.
F4 influencing F7: market dynamics influencing long-term sustainability
The dynamics in the market enhance awareness of sustainability and environmental impact. The shift to green technologies in the market necessitates that entrepreneurs need technologies that ensure long-term sustainability and advantages. The investment to increase the awareness of customers through effective programs educating customers on clean and affordable renewable energy drives entrepreneurs to optimize resources and emphasize viable products on the basis of technology. Loyalty and growth are backed by these factors. This desire influences the decision on technology development among energy entrepreneurs. The best example in this case is the customer education approach of the solar division of Tesla for educating and imparting customers on the economics and environmental benefits of battery technologies and their solar panels. This results in demand for energy solutions and helps in long-term sustainability.
F4 influencing F8: market dynamics influencing regulatory compliance
The government and policymakers need to develop regulations and offer incentives and strict guidance to follow standards when market dynamics in sustainable energy solutions consider industry and public demands. Carbon taxes, energy credits, etc., are initiated by policymakers or schemes that are driven by the demand for green energy. The pushing factors lead to the introduction or revision of existing or new policies that support renewable energy dependence and growth. SEEs are forced to follow these regulations to sustain and fear penalties. The federal government in the U.S. is interested in renewable energy promotion due to the demand for clean energy by providing tax credits and incentives, which leads to regulations supporting solar and wind solutions.
Level V: level five has two factors, which are factor 3 and factor 8
F3 influencing F1: scalability and adaptability influencing cost-effectiveness and economic viability
The scaling of operations and the development of adaptive technology enhance the reduction in costs and result in financial viability and resilience in the long term. Scalability and adaptability influence cost-effectiveness and economic viability in SEEs. This is due mainly to the decrease in costs per unit when the technology is scaled up. The incorporation of adaptable technology can flexibly meet market demand and policy standards, fit the dynamic environment without incurring extra costs, decrease waste, increase resource efficiency utilization, and satisfy more than one market with its ultimate desirable product. The influence of F3 on F1 is significant for sustainable energy solutions in the competitive market. It also contributes to an increase in investment, the number of customers, and customer satisfaction, which has an impact on both residential and industrial purposes. The main example of this influence is that the scalable wind turbine solutions offered by Siemens Gamesa increase production, which helps reduce the cost, and ultimately, their approach creates more accessible and financially viable wind solutions in different regions.
F3 influences F2: scalability and adaptability influence technological feasibility and differentiation
F3 influences F2 in SEEs. A technology with scalability features can grow beyond the current demand and adapt to different markets according to the uncertainties. Compared with competitors, adaptable technology can meet market changes, access different environments, respond to regulatory changes, increase competitive advantage, and increase the fruitfulness of differentiated product development. SEEs that rely on adaptable and scalable technologies help solve the limits of the local region, which are usually the characteristics of energy enterprises. Technology feasibility and product differentiation heavily depend on the scalability and adaptability of the technologies used to deliver flexible solutions and feasibility toward the grid system. A power wall, a storage system of Tesla Energy, can adapt to residential and industrial applications and offers differentiated orders through developing feasibility in diverse markets.
F3 influencing F5: scalability and adaptability influencing partnerships and collaboration
The scalability and adaptability necessitate the need for partnership and collaboration SEEs. For the development of technology that is scalable, adaptable, and feasible, a partnership is needed. The development of technology with these features requires high expertise, skill, knowledge, finance, infrastructure, etc. Entering into partnerships and collaboration for technology development helps with information, knowledge, skill, cost, and risk exchange. The partnership is crucial for scalable technology integration into operations, which require high investments and infrastructure. This will also promote satisfying demand across regions. In Africa, partnerships between local governments and enterprises focused on renewable energy are the best examples of this influence. Collaboration between Power Africa and energy enterprises in the private sector helps with scalable and adaptable energy innovations. Therefore, technologies that are scalable and adaptable need to be developed for SEEs. The development of technologies with these features requires partnerships and collaboration, especially for sharing resources.
F3 influences F6: scalability and adaptability influencing risk management and resilience
Scalability and adaptability influence risk management. SEE’s ability to scale and adapt helps in the proper management of risk associated with changes in demand, regulatory changes, natural disasters, etc. The mitigation of economic loss and the capacity to develop new innovative products and solutions based on disruptions can be achieved through scalable and adaptable technologies. The risk can be managed during high or low levels of demand or contingencies by making changes in production on the basis of scalable and adaptable technology without reducing profits. The microgrids are developed to overcome the failures of the energy grid. They are capable of providing energy power responses to uncertainties such as natural disasters, peak demand, and low demand through scaled technology, which promotes proper risk management and ensures resilience.
F3 influencing F7: scalability and adaptability influencing long-term sustainability
The viable products and solutions offered by SEEs rely on technologies that are scalable and adaptable according to fluctuations in market and consumer preferences. The scalable technologies help in offering quality and sustainability solutions that meet peak demands for renewable energy solutions. Adaptable technologies promote the development and offering of products on the basis of market segments. Educating customers regarding the utilities and strategies for the effective usage of energy technology is mandatory while scaling operations, which ensures long-term sustainability. The opportunity for customer education, their engagement, and their value for solutions will impact them in the long run. This contributes to long-term sustainability. Solar energy enterprises are focusing on providing customer education programs with solutions. SunPower conducts customer education programs to help customers understand solutions along with solar panels, which are scalable.
F3 influencing F8: scalability and adaptability influencing regulatory compliance
Scalability and adaptability influence regulatory compliance. The regulation is different across regions. The scalability and adaptability of energy technology led entrepreneurs to comply with the regulations more carefully across regions. The adaptable technologies can manage or fit with the local standards in the market, regulations regarding safety, and laws relating to the environment. Adherence to the laws will mitigate the penalties and fines, which ensures access to the markets and smooth functioning. Scalable and adaptable technologies foster entry into new market segments in compliance with regulations. Tesla operates in different markets with scalable and adaptable energy technologies that comply with regulations. The scalability and adaptability of technologies significantly influence and necessitate regulatory compliance concerning the safety, environment, modification, and diversification of products.
F8 influencing F2: regulatory compliance influencing technological feasibility and differentiation
The design, development, and application of the technology required approval from the regulations. Compliance with regional and international regulations is crucial for technological development. The development of compliance with regulatory standards leads to resilience. The standards effectively specify the usage of materials, guidelines for the process, and carbon and other greenhouse gas emission thresholds in terms of technology feasibility. Products that differ from competitors also need to adhere to regulations and standards, and innovative solutions or products offer incomparable and prominent performance, customer friendliness, and sustainability. The viability and feasibility of technological innovation are influenced by regulatory conformities that foster cutting-edge solutions and customer attention. The regulations for renewable energy are stringent in Europe. Enterprises need to comply with the EU Renewable Energy Directive. First, solar energy complies with the circular economy principles of recycling, and they also concentrate on reducing the carbon footprint in panels with the aim of sustainability, making them different from others.
F8 influencing F3: regulatory compliance influencing scalability and adaptability
The regulations and standards for the scalability and adaptability of technologies are crucial in SEEs. Local and international regulations influence the development of technology in different markets. Changes in the laws and standards of countries influence the market entry of ventures. Smooth expansion and adaptation are driven by compliance with regulations in diverse marketing environments. The solutions and products that are developed on a large scale and without redesigning and regulatory delays require law compliance for new market entry. Vestas has provided wind solutions since 1997. The design of wind turbines complies with the different regulations in countries. It is helping to scale and adapt the technology to extend its operations across countries and becomes a powerful actor in the energy sector.
F8 influencing F5: regulatory compliance influencing partnerships and collaboration
Standards and regulations influence partnerships and collaboration among different stakeholders and third parties. In SEEs, collaboration between the public and private is high because of the need for cross-border collaboration. Energy enterprises that adhere to the regulatory framework have a high chance of collaborating with public and private entities for permission for new technologies, funding support, and infrastructure development in technology advancement. The government, NGOs, financial institutions, venture capitalists, and private entities are motivated to collaborate with regulatory-complied SEEs, which eliminates legal and reputation risks. The regulations call for mandatory collaboration in the renewable energy sector, where high infrastructure is needed, to achieve sustainability. Compliance with regulations makes businesses more attractive partners. Governments, NGOs, and private firms are more likely to collaborate with enterprises that adhere to legal and environmental standards, as this reduces the risk of reputational damage or legal complications, and new market entry fosters innovations.
F8 influencing F6: regulatory compliance influencing risk management and resilience
SEEs that comply with regulations lead to a reduction in economic, legal, and functional risk. The elimination of fines, penalties, shutdowns, etc., increases financial risk. Compliance with the laws will also lead to resilience and the framing of stable risk management strategies with clarity. The risk for compliance with regulations can be called a compliance risk. Effective risk management and adherence to regulations were revealed during the Fukushima nuclear disaster. Strict regulations and procedures during the postdisaster period necessitate systems for risk management with operational adaptability.
F8 influencing F7: regulatory compliance influencing long-term sustainability
Compliance with regulations and standards for SEEs determines long-term sustainability and meets standards regarding the environment and safety, which is essential for trust among people and the urgency of educating customers to achieve the ultimate objective. Compliance is not limited to the production and distribution function; it also plays a role in reporting and maintaining transparency. This will provide information to customers regarding the impact of the venture in the long term. The standard defining what is environmentally, economically socially sustainable, and responsible will force energy entrepreneurs to adopt the responsible parameters aligned with the regulations in their enterprise activities. Tesla provides electric vehicles as a substitute for conventional environmental transportation systems that receive customer loyalty due to innovation and responsible regulatory compliance across regions. The marketing and customer education initiatives also help increase resilience in the competitive market.
Level IV: level four has one factor, which is factor 6
F6 influencing F1: risk management and resilience influencing cost-effectiveness and economic viability
The effective handling of risk and the proper elimination of risk are essential in SEEs because of the dynamic environment. The risks in terms of demand fluctuation, competition, failure of technology, changes in standards and regulations, and risks associated with logistic and supply chain risks hinder the smooth operation of energy enterprises. The systemic risks that are uncontrollable require prior effective mechanisms of preparation to manage them to prevent economic loss. The heading of the price changes in the energy solutions according to standards will reduce the costs. The risk strategies related to operations, mechanisms of controlling costs, and improving efficiency lead to achieving cost-effectiveness and economic viability for energy enterprises. Cost-effectiveness in the long term is possible through operational resilience, eliminating downtime costs, and low levels of contingent expenses. Diverse energy portfolios are one of the risk management approaches for achieving cost-effectiveness and viability. The costs during peak and low demand times can be effectively managed via risk management strategies, which ensures financial viability through the elimination of economic losses.
F6 influencing F2: risk management and resilience influencing technological feasibility and differentiation
The feasible and different technologies have the features of functioning in a dynamic environment containing risk elements. The aim of every sustainable energy enterprise is resilience. The motive for resilience inculates the mindset to create feasible technology solutions through proper risk management strategies. The technologies that are capable of managing risk factors and formulating and developing effective mechanisms influence the development of feasible technologies. The reliability and feasibility of feature-oriented technologies provide the opportunity for an enterprise to differentiate its energy technology from the competition and enhance its effectiveness. The respondents said that this can be accomplished through the mitigation of risk through efficient mechanisms and the quest for resilience. Weather conditions are significant for offshore wind turbines. The Ørsted focusing on green energy and the design of enterprises that withstand the environment, and resilience fosters technological feasibility and provides unique features of turbines from competitors.
F6 influencing F5: risk management and resilience influencing partnerships and collaboration
Partnerships and collaboration are high for enterprises with risk management strategies. As a part of risk mitigation, enterprises undergo partnerships and collaborations with parties to obtain shared knowledge, skills, resources, technology, etc. Effective risk management strategies attract others because of the lower chance of loss and competition or development of technology within a given period. Partnerships and collaboration are driven mainly by the motive of scaling particular technologies or products. The assessment of risk builds trust among collaborators and reduces the degree of risk. Renewable energy solutions, particularly on a large scale, collaborate with their government, investors, and technology developers to develop novel technology. The collaboration of Siemens Games with stakeholders is an example of this influence.
F6 influencing F7: risk management and resilience influencing long-term sustainability
The management of risk is the most important for entrepreneurial success. Proper risk management leads to the sustainability of SEEs in the long run. Strategies to manage the risk of innovations in energy technologies for a long period of time will determine their success. The customer’s preferences for the reliable solution increased. The long-term sustainability and proper management strategies for risks also lead to the awareness of customers regarding the pros and cons of energy technologies. The management of risk helps ensure sustainability with fewer disruptions. Long-term sustainability is developed through the trust of customers and stakeholders in energy enterprises. Tesla’s initiatives in battery storage focus on customer education regarding the reliability and sustainability of energy solutions.
Level III: level three has one factor, which is factor 5
F5 influencing F1: partnerships and collaboration influencing cost-effectiveness and economic viability
The relationship between partnership and collaboration is positive concerning cost-effectiveness and economic viability. This is the purview of resource sharing, infrastructure sharing, skill exchange, knowledge transfer, and the sharing of risks. These advantages of collaboration and partnership help reduce costs and enhance viability. Collaboration for resources reduces financial pressure, and combined efforts increase outcomes and effectiveness. Financial and operational risks are mitigated when collaborative innovation leads to the offering of affordable pricing to customers and viability. The offshore wing enterprises required collaboration at a high level. In collaboration with Generic Electric and other enterprises, infrastructure and energy technology are exchanged, which creates financially viable solutions.
F5 influencing F2: partnerships and collaboration influencing technological feasibility and differentiation
The sharing of resources through collaboration and partnership also influences technological feasibility and differentiation. High-end solutions through collaboration create the feasibility and differentiative of technologies with the rest of the competitors in the market. The collaboration helps in acquiring the particular skill required for developing innovative and feasible, viable products in the energy market. Siemens is rich in automation expertise. BMW has high automotive knowledge. The partnership between these two products for technology products that consume less energy helps to offer advanced and differentiated outcomes. Siemens and BMW partnered to develop energy-efficient manufacturing technologies, combining Siemens’ expertise in automation with BMW’s automotive knowledge, resulting in differentiated, technologically advanced solutions.
F5 influencing F7: partnerships and collaboration influencing long-term sustainability
Collaboration across government NGOs, institutions, etc., helps SEEs measure through the awareness of customers, which helps enhance their resilience and leads to long-term sustainability in terms of the advantages and utilities of their energy innovations. Continuous team efforts for educating customers will increase the application rates of energy technologies and increase consumer awareness of informed decision-making strategies that demand more sustainable energy solutions. The Solar Energy Industries Association (SEIA), which was incorporated in 1974, collaborated with different enterprises for educational campaigns, highlighting the advantages of solar energy, resulting in an improved adoption rate and a shift in their mindset toward renewable energy solutions.
Level II: level two has two factors: factor 1 and factor 2
F1 influencing F2: Cost-effectiveness and economic viability influencing technological feasibility and differentiation
SEEs that can innovate at low costs and are viable are the factors in deciding how much a venture can contribute to feasible and innovative and low-cost differentiated renewable energy solutions. Energy technologies are highly expensive. The development and handling of energy technologies are tedious. The management of resources helps in the economic viability of operations and the possibilities for innovative high-end energy technologies. Financial sufficiency and sustainability determine resilience. Feasible solutions can be developed because of their cost-effectiveness. This differentiated technology also creates novel innovative energy solutions compared with competitors. A competitive advantage also leads to increased customer preference. The best example in this scenario is Resla, which focuses on investing in differentiated energy solutions, especially strategies related to high-end battery technologies and solar energy. The strong financial foundations resulting from cost-effective approaches develop the ability to break the borders of traditional approaches and ensure feasible technological solutions for renewable energy.
F1 influencing F7: Cost-effectiveness and economic viability influencing long-term sustainability and customer education
Resource efficiency is the key to entrepreneurial success. Likewise, resource optimization leads to reduced costs in SEEs. Adaptive, scalable, and feasible, reliable technologies can be developed when the enterprise effectively manages its expenses. Financial models oriented toward feasible technology development are essential for operational sustainability, increasing market demand, and managing uncertainties. Economic viability promotes economic flexibility and leads to long-term sustainability. Financially strong enterprises with cost effectiveness can offer competitive pricing, which motivates customers to access sustainable energy solutions by reducing the negative environmental impacts and the carbon footprint. F1 helps increase investments in both sustainability initiatives and customer awareness with the aim of social acceptance of energy technology and its solutions. Ørsted, an energy firm is the best instance that focuses on sustainable wind solutions by educating customers regarding the environmental, economic, and social advantages of technology, which results in a smaller carbon footprint.
F2 influencing F1: Cost-effectiveness and economic viability influencing long-term sustainability and customer education
Feasible technologies improve the performance of SEEs. They help minimize waste and lower costs in the long term, which contributes to resilience. The feasible and differentiated technology helps the enterprise pursue premium pricing because of customer acceptance, which results in economic viability. This also promotes the development of innovative, cost-reduced, efficient, automated, energy technologies. The technology of SunPower in solar panels leads to profitability by offering lower costs incurred by byproducts. This differentiated and feasible technological solution increases viability by motivating customers to spend on differentiated solutions. Consumers who are highly interested in environmental products are willing to pay for premium solutions.
F2 influencing F7: technological feasibility and differentiation influencing cost-effectiveness and economic viability
Different solutions and feasible solutions often lead to the sustainability of sustainable energy endeavors in the long term, creating the need to educate customers about the contribution of energy technologies to the environment and the reasons for their development. Sustainable innovations other than conventional solutions foster sustainability with different features. A reduction in the negative impact on the environment leads to survival in the long term. This will accelerate customer trust and further campaigns for education to understand the advantages of innovative solutions, leading to the creation of a friendly market for SEEs. An electric generator (GE) designs sustainable wind turbines by educating customers on renewable energy for sustainability. Efficient and innovative solutions encourage customers to transition to renewable energy solutions.
Level I: level one has one factor, which is factor 7
Long-term sustainability and customer education and awareness (F7) are related to the objective of this study.
F7 is the critical success factor, which is dependent on other factors. The importance of technology that supports sustainability in operations in the long run, ensuring the triple bottom-line benefits of energy technologies, is highlighted here. Technology not only contributes to the sustainability of a product but also promotes the stability and growth of enterprises in the competent market over time, denoting long-term sustainability. Customer awareness ensures energy conservation and changes the preferences of customers toward renewable energy. Customers’ awareness of long-term benefits based on informed choices of sustainable technologies is essential for resilience. Solar panels and LED lighting are products that have increased growth through customer education by IKEA, an enterprise that focuses on innovating energy efficiency solutions that lead to resilience and sustainability in the long run. The results clearly show that the factor dependent on the other factors is F7.
MICMAC analysis
Table 6 shows the MICMAC analysis results.
-
1.
Autonomous factors (Zone-I): In this study, no factors fell into the autonomous zone.
-
2.
Dependent factors (Zone II): Cost-effectiveness and economic viability (F1), technological feasibility and differentiation (F2), and long-term sustainability and customer education and awareness (F7) are the dependent factors. These factors are influenced when there are changes in other factors.
-
3.
Linkage factors (Zone III): Risk management and resilience (F6) and partnerships and collaboration (F5) are the linkage factors.
-
4.
Driving or independent factors (Zone IV): Market dynamics (F4), scalability and adaptability (F3), and regulatory compliance (F8) are the driving or key factors.
Figure 6 visually presents the factors belonging to the four quadrants.
Table 6 shows the ranking of the success factors for technological development in SEEs based on their driving power and dependence. According to the ranking, market dynamics (F4) is ranked first. This finding indicates that market dynamics is the major driving factor and influences the other seven factors. Long-term sustainability (F7) is ranked sixth in the MICMAC analysis ranking. This means that it has a greater dependence on other factors.
The results reveal that the major driving factor for technological innovation in SEEs is market dynamics. The major dependent factor that relies on other factors is long-term sustainability. This factor is achieved through the dependence on their factors.
Major findings
This study addresses the existing body of research that lacks the identification of CSFs in SEEs and their independence. The major highlights of this study are the attempt to fill the gaps in the fragmented approach and the lack of a holistic view of sustainable energy enterprise technology development. TISM with MICMAC analysis is an effective tool for analyzing the interdependence and ranking of the most crucial factors. This novel study aims to evaluate the driving and dependent power of CSFs. This helps in understanding the driving, dependent, autonomous, and linking factors. The study analyses the factors to offer direction to help energy entrepreneurs, managers, and policymakers with informed decision-making, resource allocation, and framing strategies for effective technology development, as well as a strategic understanding of innovation. The study reveals the following results.
To identify and examine the levels of interdependence of CSF factors influencing technological development in SEEs
The TISM result reveals the six-level relationship in various stages of the phases. Among the eight factors identified, market dynamics constitute the building or foundation factor crucial for technological development, which influences technological feasibility and differentiation, scalability and adaptability, partnerships and collaboration, risk management and resilience, long-term sustainability, and regulatory compliance. The next highest level of influence is scalability and adaptability, with cost-effectiveness and economic viability, technological feasibility and differentiation, partnerships and collaboration, risk management and resilience, long-term sustainability, and regulatory compliance. During the same phase, regulatory compliance also influences other factors. The fourth level of the phase shows the influence of risk management and resilience. The third phase illustrates the significant influence of partnership and collaboration, and the second phase illustrates the influence of the first and second factors: cost-effectiveness and economic viability, technological feasibility, and differentiation influences on others. The first level has only one factor that is most dependent on other factors: long-term sustainability (F7). From this, we can clearly understand the influence or interdependence on each factor at various levels from the most independent factor to the most dependent factor through direct and significant transitive links.
To examine the driving power and dependence of the critical success factors of technological innovation in SEEs through MICMAC analysis of prioritization
The MICMAC analysis reveals the ranking of factors in the four zones. The first zone is the autonomous factor, and no factor falls into this zone. The most dependent factors and those with less driving power, such as cost-effectiveness and economic viability (F1), technological feasibility and differentiation (F2), and long-term sustainability (F7), constitute the second zone of the dependent factors. Similarly, the factors called linkage factors with high dependence and driving power are risk management and resilience (F6) and partnerships and collaboration (F5). Most importantly, the independent or diving factors for technological innovation in sustainable entrepreneurship, namely, market dynamics (F4), scalability and adaptability (F3), and regulatory compliance (F8), are in the first three positions.
Discussion
This section explains how the lower-level factor influences the higher-level factors. Technological innovations are essential for achieving success and long-term sustainability (F7) SEEs. Technological advancement helps reduce costs and increase efficiency by better-managing technologies for large-scale enterprise operations. This study supports the findings of Nnabuife et al.134 concerning the importance of the development of electrolysis technologies for green hydrogen production. The case of sodium-ion batteries is another example of providing cost-effective and eco-friendly batteries other than lithium-ion batteries, showing the feasibility of renewable energy technology135. For this purpose, stakeholders’ collaboration and investment in the development of these technologies are necessary. This also helps in F2 and ensures long-run sustainability (F7). The integration of renewable energy technology, hybrid renewable energy systems (HRESs), and hybrid AC‒DC microgrids mitigates costs136,137. In support of their findings, economic viability (F1) and technological feasibility (F2) are essential for risk management and resilience (F6) for SEEs. The cost-effectiveness of HRES is achieved through the improved aquifer optimization (IAO) approach, which supports long-term sustainability and increases efficiency136. In biofuel production technologies, green hydrogen reduces the carbon footprint and enhances performance138,139. Both environmental advantages and technology integration promote long-term sustainability141. This will result in long-term sustainability (F7). Similarly, regulatory compliance (F8) and market dynamics (F4) also influence F7.
Regulatory guidelines for developing innovations in green hydrogen140. This research further expands this observation in identifying the importance of regulatory compliance (F8) for long-term sustainability and identifying the significance of market dynamics (F4). Another novelty of this research is the highlighting importance of the mediating role of risk management and resilience (F6) among the partnership and collaboration, cost-effectiveness, and economic viability for technology development (F1). This examination of biergarten fireworks by combining different factors and various dimensions expands the isolated research of Nnabuife et al.134 and Phogat et al.135, emphasizing particular technological innovations. The development of the economic model proposed by Zhou et al.136 is further built by adding the importance of regulatory compliance (F8) and market dynamics (F4) for technology development. The integrated relationship model identified in this research proves that the result of technology development is to ensure long-term sustainability.
Contributions
Enterprises and startups play crucial roles in advancing technological innovation in SEEs. TISM and MICMAC analysis provides actionable insights for managers, guiding decision-making and resource allocation toward key areas critical for successful technology development. The findings highlight the need for market-driven strategies, requiring practitioners to analyze trends, monitor competitors, and develop agile business models to manage market volatility. Investment in real-time analytics tools is essential for accurate demand forecasting and maintaining competitiveness. Technologies must be scalable, adaptable, and compliant with industry standards, with particular attention given to feasibility under different market conditions. The study identifies linkage factors, emphasizing the importance of partnerships and collaboration in risk management and innovation. By leveraging shared expertise, business models, and resources, entrepreneurs can reduce costs, accelerate innovation, and enhance resilience. Economic viability remains dependent on multiple factors, necessitating cost-effective approaches to optimize performance and ensure long-term sustainability in SEEs.
Continuous research and development (R&D) is essential for developing feasible and adaptable energy technologies. However, high costs pose challenges, particularly for small businesses, making cost-effective strategies crucial for minimizing financial burdens. Scenario analysis helps identify bottlenecks, ensuring efficient development. SEEs must also align with evolving regulatory standards and pursue green certifications, which enhance trust, credibility, and market differentiation, fostering long-term resilience. Process optimization plays a critical role in achieving economies of scale while integrating cost-benefit analysis to assess the feasibility of new technologies. Investment in market research and regulatory expertise strengthens growth by enabling informed decision-making. A systematic approach that prioritizes organizational goals and aligns with key CSFs ensures sustainable expansion.
These findings provide broader insights for sustainable energy entrepreneurs, practitioners, and policymakers. The study identifies independent and dependent CSFs, offering clarity on factor interdependencies for agile decision-making, resource allocation, operational efficiency, and risk management. Understanding these trade-offs enhances strategic innovation and investment in SEEs, ultimately improving sustainability outcomes. Additionally, this study contributes theoretically by filling gaps in sustainable energy entrepreneurship and technology innovation research. Evaluating the relationships among CSFs through the resource-based view (RBV), dynamic capability theory (DCT), diffusion of innovation (DOI), Schumpeter’s innovation theory (SIT), and stakeholder theory provides a comprehensive framework for analyzing technological development in SEEs.
Limitations and future research
While this study provides valuable insights, it acknowledges certain limitations. The sample size was relatively small, as the data were collected from a select group of SEEs. However, this approach aligns with qualitative methodologies where expert insights and in-depth analysis provide rich contextual understanding. The sample size was sufficient given the data saturation achieved, and similar studies have effectively utilized a limited number of expert respondents.
The eight major factors identified through the literature review and expert opinions may not encompass all possible CSFs as technological and market conditions continue to evolve. While TISM provides a structured approach for identifying interdependencies, it may not fully capture nonlinear relationships or complexities in the sustainable energy sector. Additional statistical methods, such as structural equation modeling (SEM), could further validate these findings. Future research could explore alternative methodologies to complement and enhance the current approach. Another limitation is that respondents’ perceptions may evolve as energy policies, market trends, and technological advancements shift. Longitudinal studies could provide deeper insights into how CSFs change over time in response to dynamic industry conditions. Despite these limitations, this study provides a strong foundation for understanding the critical factors driving technological innovation in SEEs, offering a pathway for further exploration.
Given the growing global emphasis on sustainability, future research could also examine how SEEs contribute to the SDGs via TISM and MICMAC analysis. This could further clarify how key factors influence sustainable energy entrepreneurs in achieving long-term sustainability objectives30. Future studies could also explore the role of emerging technologies, such as artificial intelligence, blockchain, and the IoT, in enhancing technological innovation and operational efficiency in SEEs. Investigating how these technologies integrate with existing energy infrastructures, optimize supply chains, and support decentralized energy systems would offer further strategic insights. The research could assess policy frameworks and financial models that support the scalability of renewable energy enterprises, particularly in developing economies where access to capital and regulatory uncertainties remain key challenges. These directions can help strengthen the adaptability and resilience of SEEs, ensuring their long-term contribution to energy transitions and sustainability goals.
Conclusion
Technological innovation development in sustainable energy enterprises (SEEs) is critical for advancing sustainability and achieving SDG-driven energy transitions. This study explores the critical success factors (CSFs) influencing SEE innovation, particularly in India’s evolving entrepreneurship and energy sector. The TISM results identify market dynamics as the primary driving factor shaping scalability, adaptability, feasibility, partnerships, and regulatory compliance—essential for sustainable-oriented innovations141. Institutional and knowledge-based strategic decisions further influence energy sector advancements142. Long-term sustainability emerges as the most dependent factor, reinforcing India’s sustainability-driven policies. MICMAC analysis highlights the need for resilience against weather disruptions and cyber threats143, whereas institutional and regulatory pressures shape sustainable strategies76. Regulatory compliance influences partnerships, risk management, and long-term sustainability, emphasizing the interconnected nature of these factors. Additionally, partnerships enhance cost-effectiveness, economic viability, and technological feasibility, aligning with findings on open innovation and collaboration in sustainable business models144. These findings reinforce the need for an integrated approach that considers multiple dimensions rather than isolated factors, providing comprehensive insights into technology development in SEEs.
Data availability
All data generated or analysed during this study are included in this manuscript Table 2.
References
Han, S., Peng, D., Guo, Y., Aslam, M. U. & Xu, R. Harnessing technological innovation and renewable energy and their impact on environmental pollution in G-20 countries. Sci. Rep. 15 (1), 2236 (2025).
Hassan, Q. et al. The renewable energy role in the global energy transformations. Renew. Energy Focus. 48, 100545 (2024).
Kanitkar, T., Mythri, A. & Jayaraman, T. Equity Assessment of Global Mitigation Pathways in the IPCC Sixth Assessment Report 1–20 (Climate Policy, 2024).
Caiafa, C., Hattori, T., Nam, H. & de Coninck, H. International technology innovation to accelerate energy transitions: The case of the international energy agency technology collaboration programmes. Environ. Innov. Soc. Transit. 48, 100766 (2023).
Khan, K., Su, C. W., Rehman, A. U. & Ullah, R. Is technological innovation a driver of renewable energy? Technol. Soc. 70, 102044 (2022).
Filho, W. L., Wall, T., Salvia, A. L., Dinis, M. A. P. & Mifsud, M. The central role of climate action in achieving the United Nations’ sustainable development goals. Sci. Rep. 13 (1), 20582 (2023).
Chopra, R., Rehman, M. A., Yadav, A. & Bhardwaj, S. Revisiting the EKC framework concerning COP-28 carbon neutrality management: Evidence from Top-5 carbon embittering countries. J. Environ. Manag. 356, 120690 (2024).
Yang, L., Chen, W. & Song, B. Unraveling energy hub dynamics and political economy toward sustainable urban energy: A multifaceted examination of policy decision making and implementation. Sustain. Cities Soc. 101, 105159 (2024).
Gitelman, L. D., Kozhevnikov, M. V., Starikov, E. M. & Rada, E. C. Scaling up the innovation process in the energy sector on the basis of technology entrepreneurship. WIT Trans. Ecol. Environ. 222, 1–12 (2019).
Karimi, M. S., Doostkouei, S. G., Shaiban, M., Easvaralingam, Y. & Khan, Y. A. Investigating the role of entrepreneurship in advancing renewable energy for sustainable development: Evidence from a System-GMM panel data approach. Sustain. Dev. 32 (4), 3329–3343 (2024).
Khezri, M. & Hasan, Q. M. Exploring the impacts of entrepreneurship indices on renewable energy mix: A cross-country study. Renew. Sustain. Energy Rev. 199, 114539 (2024).
Li, G., Wang, X., Su, S. & Su, Y. How green technological innovation ability influences enterprise competitiveness. Technol. Soc. 59, 101136 (2019).
Han, F., Ibrahim, R. L., Al-Mulali, U. & Al-Faryan, M. A. S. Tracking the roadmaps to sustainability: What do the symmetric effects of eco-digitalization, green technology, green finance, and renewable energy portend for China? Environ. Dev. Sustain. 26 (6), 13895–13919 (2024).
Wang, H. et al. Sustainable performance analysis and environmental protection optimization of green entrepreneurship-driven energy enterprises. Humanit. Soc. Sci. Commun. 12 (1), 1–13 (2025).
Andreopoulou, Z. & Koliouska, C. Benchmarking internet promotion of renewable energy enterprises: Is sustainability present? Sustainability 10 (11), 4187 (2018).
Sengupta, S., Sahay, A. & Hisrich, R. D. The social–market convergence in a renewable energy social enterprise. J. Clean. Prod. 270, 122516 (2020).
Van den Heuvel, M. & Popp, D. The role of venture capital and governments in clean energy: Lessons from the first cleantech bubble. Energy Econ. 124, 106877 (2023).
Kravchenko, M., Trofymenko, O., Kopishynska, K. & Pyshnograiev, I. Assessing the development of energy innovations and its impact on the sustainable development of countries. In System Analysis and Artificial Intelligence 419–437 (Springer Nature Switzerland, 2023).
Lilliestam, J., Patt, A. & Bersalli, G. The effect of carbon pricing on technological change for full energy decarbonization: A review of empirical ex-post evidence. Wiley Interdiscip. Rev. Clim. Change 12 (1), e681 (2021).
Newell, R. G., Pizer, W. A. & Raimi, D. US federal government subsidies for clean energy: Design choices and implications. Energy Econ. 80, 831–841 (2019).
Raman, R., Gunasekar, S., Dávid, L. D. & Nedungadi, P. Aligning sustainable aviation fuel research with sustainable development goals: Trends and thematic analysis. Energy Rep. 12, 2642–2652 (2024a).
Li, D. & Ge, A. New energy technology innovation and sustainable economic development in the complex scientific environment. Energy Rep. 9, 4214–4223 (2023).
Su, Y. & Fan, Q. M. Renewable energy technology innovation, industrial structure upgrading and green development from the perspective of China’s provinces. Technol. Forecast. Soc. Change 180, 121727 (2022).
Calvo, N., Monje-Amor, A. & Villarreal, O. When your value proposition is to improve others’ energy efficiency: Analyzing the internationalization dilemma of eco-innovations in SMEs. Technol. Forecast. Soc. Change 185, 122069 (2022).
Habiba, U. M. M. E., Xinbang, C. & Anwar, A. Do green technology innovations, financial development, and renewable energy use help to curb carbon emissions? Renew. Energy 193, 1082–1093 (2022).
Lin, B. & Zhu, J. Determinants of renewable energy technological innovation in China under CO2 emissions constraint. J. Environ. Manag. 247, 662–671 (2019).
Gandhi, R. A., Ravinthiran, A. & Palanikumar, K. Design and development of sail type wind turbine with solar panel. Mater. Today Proc. 46, 3989–3992 (2021).
Zebra, E. I. C., van der Windt, H. J., Nhumaio, G. & Faaij, A. P. A review of hybrid renewable energy systems in mini-grids for off-grid electrification in developing countries. Renew. Sustain. Energy Rev. 144, 111036 (2021).
Piao, X. & Managi, S. Household energy-saving behavior, its consumption, and life satisfaction in 37 countries. Sci. Rep. 13 (1), 1382 (2023).
Raman, R., Gunasekar, S., Kaliyaperumal, D. & Nedungadi, P. Navigating the Nexus of artificial intelligence and renewable energy for the advancement of sustainable development goals. Sustainability 16 (21), 9144 (2024b).
Streimikiene, D. & Mikalauskiene, A. Sustainable and responsible entrepreneurship for sustainable energy development. In Sustainable and Responsible Entrepreneurship and Key Drivers of Performance 1–32 (IGI Global, 2021).
Xue, C., Shahbaz, M., Ahmed, Z., Ahmad, M. & Sinha, A. Clean energy consumption, economic growth, and environmental sustainability: What is the role of economic policy uncertainty? Renew. Energy 184, 899–907 (2022).
Aparisi-Cerdá, I., Ribó-Pérez, D., García-Melón, M., D’Este, P. & Poveda-Bautista, R. Drivers and barriers to the adoption of decentralized renewable energy technologies: A multicriteria decision analysis. Energy 305, 132264 (2024).
Zhao, G., Ahmed, R. I., Ahmad, N., Yan, C. & Usmani, M. S. Prioritizing critical success factors for sustainable energy sector in China: A DEMATEL approach. Energy Strategy Rev. 35, 100635 (2021).
Lin, B. & Zhang, A. Digital finance, regional innovation environment and renewable energy technology innovation: Threshold effects. Renew. Energy 223, 120036 (2024).
El-Chaarani, H. et al. Key success factors for entrepreneurship in sustainable development projects. J. Strateg. Mark. 32, 1–15. https://doi.org/10.1080/0965254X.2023.2229336 (2023).
Haldar, S. Sustainable entrepreneurship development in the renewable energy sector: Insights from Gujarat, India. Afr. J. Sci. Technol. Innov. Dev. 13 (7), 873–885 (2021).
Bhattacharya, S., Banerjee, R., Ramadesigan, V., Liebman, A. & Dargaville, R. Bending the emission curve—the role of renewables and nuclear power in achieving a net-zero power system in India. Renew. Sustain. Energy Rev. 189, 113954 (2024).
Gulagi, A. et al. The role of renewables for rapid transitioning of the power sector across states in India. Nat. Commun. 13 (1), 5499 (2022).
Haldar, S. A landscape level analysis of entrepreneurship and sustainable energy transitions: Evidence from Gujarat, India. Sustain. Dev. 30 (4), 489–502 (2022).
Luhaniwal, J., Agarwal, S. & Mathur, T. An integrated DEA-fuzzy AHP method for prioritization of renewable energy sources in India. Sci. Rep. 15 (1), 838 (2025).
Singh, U., Rout, R., Dutta, G. & Patel, M. Role of technology innovations in providing cutting edge-entrepreneurial opportunities in India. J. Inf. Educ. Res. 4 (1) (2024).
Krishna, H., Kashyap, Y., Dutt, D., Sagar, A. D. & Malhotra, A. Understanding India’s low-carbon energy technology startup landscape. Nat. Energy 8 (1), 94–105 (2023).
Pradhan, B. K. & Ghosh, J. A computable general equilibrium (CGE) assessment of technological progress and carbon pricing in India’s green energy transition by furthering its renewable capacity. Energy Econ. 106, 105788 (2022).
Raihan, A., Sarker, T. & Zimon, G. An investigation on the prospects, challenges and policy consequences of renewable energy technology development for India’s environmental sustainability. WSEAS Trans. Environ. Dev. 20, 365–390 (2024).
Gielen, D. et al. The role of renewable energy in the global energy transformation. Energy Strategy Rev. 24, 38–50 (2019).
Gayen, D., Chatterjee, R. & Roy, S. A review on environmental impacts of renewable energy for sustainable development. Int. J. Environ. Sci. Technol. 21 (5), 5285–5310 (2024).
Haldar, S., Hoffman, J., Verma, M., Peddibhotla, A. & Bazaz, A. Reimagining energy infrastructure for justice: Power, politics, and institutional work in India’s 2.05 GW Pavagada solar park. Energy Res. Social Sci. 116, 103645 (2024).
Singh, K. et al. India’s renewable energy research and policies to phase down coal: Success after Paris agreement and possibilities post-Glasgow climate pact. Biomass Bioenerg. 177, 106944 (2023).
Cedeno, R. C. B. & Wei, J. Investigating factors to promote energy: Sociopolitical barriers to renewable energy sector in India. Electric. J. 37 (2), 107366 (2024).
Jiang, B. Does fintech promote the sustainable development of renewable energy enterprises? Environ. Sci. Pollut. Res. 30 (24), 65141–65148 (2023).
Pathak, S. K., Sharma, V., Chougule, S. S. & Goel, V. Prioritization of barriers to the development of renewable energy technologies in India using integrated modified Delphi and AHP method. Sustain. Energy Technol. Assess. 50, 101818 (2022).
Qayyum, M. et al. Nexus between financial development, renewable energy consumption, technological innovations and CO2 emissions: The case of India. Energies 14 (15), 4505 (2021).
Akpan, J. & Olanrewaju, O. Sustainable energy development: History and recent advances. Energies 16 (20), 7049 (2023).
Kaman, Z. K., Salleh, S. F. & Ishak, W. W. M. Renewable energy (RE) and theory on business sustainability: Malaysia policy development. Int. J. Eng. Adv. Technol. 8, 623–627 (2019).
Gunnarsdóttir, I., Davidsdottir, B., Worrell, E. & Sigurgeirsdóttir, S. Sustainable energy development: History of the concept and emerging themes. Renew. Sustain. Energy Rev. 141, 110770 (2021).
Olabi, A. G. et al. Renewable energy systems: Comparisons, challenges and barriers, sustainability indicators, and the contribution to UN sustainable development goals. Int. J. Thermofluids 20, 100498 (2023).
Ergün, M., Memiş, S., Korucuk, S. & Karamaşa, Ç. Rating the Sustainable Energy Problems in Manufacturing Businesses and Selecting the Best Energy Security Policy: The Case of Samsun 175–194 (Strategic Planning for Energy and the Environment, 2021).
Zhang, D. & Kong, Q. Green energy transition and sustainable development of energy firms: An assessment of renewable energy policy. Energy Econ. 111, 106060 (2022).
Rajić, M. N., Maksimović, R. M., Milosavljević, P. & Pavlović, D. Energy management system application for sustainable development in wood industry enterprises. Sustainability 12 (1), 76 (2019).
Mohan, H. M. & Dash, S. K. Renewable energy-based DC microgrid with hybrid energy management system supporting electric vehicle charging system. Systems 11 (6), 273 (2023).
Lu, J. et al. Corporate social responsibility and corruption: Implications for the sustainable energy sector. Sustainability 11 (15), 4128 (2019).
Zaman, S., Wang, Z., Rasool, F., Zaman, Q. & Raza, H. Impact of critical success factors and supportive leadership on the sustainable success of renewable energy projects: Empirical evidence from Pakistan. Energy Policy 162, 112793 (2022).
Raman, R., Lathabhai, H., Mandal, S., Kumar, C. & Nedungadi, P. Contribution of business research to sustainable development goals: Bibliometrics and science mapping analysis. Sustainability 15 (17), 12982 (2023).
Kunskaja, S., Bauer, J. F., Budzyński, A. & Jitea, I. C. A research analysis: The implementation of innovative energy technologies and their alignment with SDG 12. Eastern-Eur. J. Enterp. Technol. 5 (13), 6–25 (2023).
Tomita, M., Yokokawa, S., Terashima, S., Sato, A. & Yamamoto, E. Opportunities and challenges related to SDGS in the electric power sector: Analysis of companies in Japan and worldwide (2020).
Titova, N., Cherepovitsyna, A. & Guseva, T. Meeting the UN’s sustainable development goals in the decarbonization agenda: A case of Russian oil and gas companies. Resources 12 (10), 121 (2023).
Pata, S. K., Pata, U. K. & Wang, Q. Ecological power of energy storage, clean fuel innovation, and energy-related research and development technologies. Renew. Energy, 122377 (2025).
Alnsour, M. A. An integrated goal programming model applied for planning a National policy of sustainable development: A case of Jordan. Process. Integr. Optim. Sustain. 8 (5), 1411–1437 (2024).
Menéndez-Sánchez, J., Fernández-Gómez, J. & Araujo-de-la-Mata, A. Sustainability strategies by oil and gas companies, contribution to the SDGs and local innovation ecosystems. Energies 16 (6), 2552 (2023).
AlMallahi, M. N., Swailmeen, A., Abdelkareem, Y., Olabi, M. A., Elgendi, M. & A. G., & A path to sustainable development goals: A case study on the thirteen largest photovoltaic power plants. Energy Convers. Manag. X 22, 100553 (2024).
Xu, X. & Yuan, H. Exploring the effect of collaboration modes on firms’ breakthrough technological innovation: A perspective from the innovation ecosystem. Kybernetes (2024).
El Nemar, S., El-Chaarani, H., Dandachi, I. & Castellano, S. Resource-based view and sustainable advantage: A framework for SMEs. J. Strategic Mark., 1–24 (2022).
Chen, C. H. S., Liu, G., Roushan, G. & Nguyen, B. Exploring information technology capabilities from multiple aspects of the Resource-Based theory. Inform. Syst. Front., 1–31 (2024).
Zahra, S. A. The resource-based view, resourcefulness, and resource management in startup firms: A proposed research agenda. J. Manag. 47 (7), 1841–1860 (2021).
Zhang, Y. & Lim, W. Sustainable strategy: Encouraging implementation in small enterprises. Manag. Decis. (2024).
Leinonen, S., Reiman, A. & Kauppila, O. Dynamic capabilities in supply chain resilience management in the Finnish energy industry. Int. J. Qual. Res. 17 (4), 1061–1084 (2023).
Ghosh, S., Hughes, M., Hodgkinson, I. & Hughes, P. Digital transformation of industrial businesses: A dynamic capability approach. Technovation 113, 102414 (2022).
Veronica, S., Alexeis, G. P., Valentina, C. & Elisa, G. Do stakeholder capabilities promote sustainable business innovation in small and medium-sized enterprises? Evidence from Italy. J. Bus. Res. 119, 131–141 (2020).
Guo, X. Exploring the synergy of blockchain technology and low-carbon innovation for enterprise sustainability for unlocking a sustainable energy. Front. Energy Res. 11, 1273267 (2023).
Zeng, Y., Dong, P., Shi, Y. & Li, Y. On the disruptive innovation strategy of renewable energy technology diffusion: An agent-based model. Energies 11 (11), 3217 (2018).
Namirembe, G., Mukwaya, P. I., Mugagga, F. & Kisira, Y. Insights into home biogas technology adoption dynamics through the lens of the diffusion of innovation theory in Uganda. Energy Sustain. Dev. 80, 101425 (2024).
Wang, M., Wang, Y. & Wen, S. ESG performance and green innovation in new energy enterprises: Does institutional environment matter? Res. Int. Bus. Finance 71, 102495 (2024).
Vukovic, N. & Makogon, E. Waste-to-energy generation: Complex world project analysis. Sustainability 16 (9), 3531 (2024).
Sultanuzzaman, M. R., Yahya, F. & Lee, C. C. Exploring the complex interplay of green finance, business cycles, and energy development. Energy 306, 132479 (2024).
Bressler, M. & Bressler, L. A study of small business technology adoption and utilization. Acad. Entrep. J. 17, 49–60 (2011).
Karbasioun, M., Gholamalipour, A., Safaie, N., Shirazizadeh, R. & Amidpour, M. Developing sustainable power systems by evaluating techno-economic, environmental, and social indicators from a system dynamics approach. Util. Policy 82, 101566 (2023).
Planko, J., Cramer, J., Hekkert, M. P. & Chappin, M. M. Combining the technological innovation systems framework with the entrepreneurs’ perspective on innovation. Technol. Anal. Strateg. Manag. 29 (6), 614–625 (2017).
Liu, X., Wu, Y., Li, H. & Zhou, H. Design and development of pilot plant applied to wind and light abandonment power conversion: Electromagnetic heating of solid particles and steam generator. J. Clean. Prod. 470, 143313 (2024).
Eder, J. M., Mutsaerts, C. F. & Sriwannawit, P. Mini-grids and renewable energy in rural Africa: How diffusion theory explains adoption of electricity in Uganda. Energy Res. Soc. Sci. 5, 45–54 (2015).
Maqbool, R., Deng, X. & Rashid, Y. Stakeholders’ satisfaction as a key determinant of critical success factors in renewable energy projects. Energy Sustain. Soc. 10, 1–15 (2020).
Fischer, C. Who uses innovative energy technologies, when and why? The case of fuel cell microchp in households. Int. J. Environ. Technol. Manag. 9 (2–3), 236–258 (2008).
Jian, G., Xin, T. & Canfei, H. Impact of lead market on transition toward new energy technology in automobile industry in China. Beijing Da Xue Xue Bao. 59 (4), 671–680 (2023).
Voldsgaard, A. & Rüdiger, M. Innovative enterprise, industrial ecosystems, and sustainable transition: The case of transforming DONG energy to Ørsted. In Handbook of Climate Change Mitigation and Adaptation 3633–3684 (Springer International Publishing, 2022).
Groenewoudt, A. C. & Romijn, H. A. Limits of the corporate-led market approach to off-grid energy access: A review. Environ. Innov. Soc. Transit. 42, 27–43 (2022).
Malen, J. & Marcus, A. A. Promoting clean energy technology entrepreneurship: The role of external context. Energy Policy 102, 7–15 (2017).
Hattori, T., Nam, H. & Chapman, A. Multilateral energy technology cooperation: Improving collaboration effectiveness through evidence from international energy agency technology collaboration programmes. Energy Strategy Rev. 43, 100920 (2022).
Meygoonpoury, E., Ghadim, M. K. & Ziabakhsh-Ganji, Z. Internationalization of renewable energy base businesses with a combined approach to networking and collaborative competition. Results Eng. 21, 101726 (2024).
Kang, H. O., Lee, B. J. & Lim, S. G. Light water SMR development status in Korea. Nucl. Eng. Des. 419, 112966 (2024).
Sun, R., Liu, Y. & Zhao, J. Innovation network reconfiguration makes infrastructure megaprojects more resilient. Comput. Intell. Neurosci. 2022(1), 1727030 (2022).
Melander, L. Improving green product innovation through collaboration. IEEE Eng. Manag. Rev. 46 (2), 133–137 (2018).
Savetpanuvong, P., Tanlamai, U. & Lursinsap, C. Sustaining innovation in information technology entrepreneurship with a sufficiency economy philosophy. Int. J. Innov. Sci. 3 (2), 69–82 (2011).
Skillman, J. & Scott, M. Consolidated Edison Company of New York: Distributed Generation. Sustainable Electricity: Case Studies from Electric Power Companies in North America, 53–74 (2016).
Paoletti, G., Pascuas, P., Pernetti, R., Lollini, R. & R., & Nearly zero energy buildings: An overview of the main construction features across Europe. Buildings 7 (2), 43 (2017).
Lähteenmäki-Uutela, A. et al. The impacts of the sulphur emission regulation on the sulphur emission abatement innovation system in the Baltic Sea region. Clean Technol. Environ. Policy 21, 987–1000 (2019).
Šūmakaris, P., Korsakienė, R. & Ščeulovs, D. Determinants of energy efficient innovation: A systematic literature review. Energies 14 (22), 7777 (2021).
Schreiber, M. Governance of energy innovations. Swiss Energy Governance: Political, Economic and Legal Challenges and Opportunities in the Energy Transition, 175–193 (2022).
Grünhagen, M. & Berg, H. Modeling the antecedents of innovation-based growth intentions in entrepreneurial ventures: The role of perceived regulatory conditions in the German renewable energies and disease management industries. Int. J. Technol. Policy Manag. 11 (3–4), 220–249 (2011).
Sreenivasan, A. & Suresh, M. Factors Influencing Competitive Advantage in start-up Operations 4.0. Competitiveness Review (An International Business Journal, 2024). (ahead-of-print).
Dalvi-Esfahani, M., Nilashi, M., Abumalloh, R. A., Thurasamy, R. & Ahmad, M. S. Investigating the interrelationships between the barriers of green computing adoption: TISM-MICMAC-DEMATEL method. Qual. Quant. 1–64 (2024).
Kharb, R., Shri, C., Singh, P., Bhatia, S. & Saini, N. Modeling the barriers of green financing in achieving environmental sustainability: An analysis using TISM. Environ. Dev. Sustain, 1–34 (2024).
Gupta, L., Sarkar, B. D. & Shankar, R. Strategic modeling for sustainable power grids: A comprehensive study on energy storage integration in India. J. Model. Manag. (2025).
Chillayil, J., Suresh, M., Viswanathan, P. K. & Kottayil, S. K. Is imperfect evaluation a deterrent to adoption of energy audit recommendations? Int. J. Prod. Perform. Manag. (2021).
Kazançoğlu, Y., Gozacan, N., Luthra, S. & Kumar, A. Are we truly addressing the roadblocks to adoption of renewable and sustainable energy technologies? Total interpretive structural modeling approach. Environ. Sci. Pollut. Res. 31 (11), 16846–16864 (2024).
Alam, M. F. B. et al. Assessing the factors influencing the adoption of geothermal energy to support the national grid in emerging economies: Implications for sustainability. Sustain. Oper. Comput. (2024).
Archana. Modeling barriers for smart grid technology acceptance in India. Process. Integr. Optim. Sustain. 6 (4), 989–1010 (2022).
Attri, R., Dev, N. & Sharma, V. Interpretive structural modelling (ISM) approach: An overview. Res. J. Manag. Sci. 2319 (2), 1171 (2013).
Sushil. Interpreting the interpretive structural model. Global J. Flex. Syst. Manag. 13, 87–106 (2012).
Jain, V. & Raj, T. Modeling and analysis of FMS flexibility factors by TISM and fuzzy MICMAC. Int. J. Syst. Assur. Eng. Manag. 6, 350–371 (2015).
Zhao, L., Wang, Q. E., Hwang, B. G. & Chang-Richards, A. Y. Analysis of critical factors influencing sustainable infrastructure vulnerabilities using an ISM-MICMAC approach. Eng. Constr. Archit. Manag. (2024).
Kaur, B., Ahuja, L. & Kumar, V. Applications of ISM and TISM: Model building techniques. In 2019 International Conference on Machine Learning, Big Data, Cloud and Parallel Computing (COMITCon) 328–333 (IEEE, 2019).
Sreenivasan, A., Ma, S., Nedungadi, P., Sreedharan, V. R. & Raman, R. R. Interpretive structural modeling: Research trends, linkages to sustainable development goals, and impact of COVID-19. Sustainability 15 (5), 4195 (2023).
Vaishnavi, V., Suresh, M. & Dutta, P. A study on the influence of factors associated with organizational readiness for change in healthcare organizations using TISM. Benchmarking 26 (4), 1290–1313 (2019).
Menon, S. & Suresh, M. Factors influencing organizational agility in higher education. Benchmarking 28 (1), 307–332 (2020).
Sushil. Modified ISM/TISM process with simultaneous transitivity checks for reducing direct pair comparisons. Global J. Flex. Syst. Manag. 18 (4), 331–351 (2017).
Suresh, M., Nathan, A. R. & R.B Readiness for lean procurement in construction projects. Constr. Innov. 20 (4), 587–608 (2020).
Sushil. How to check correctness of total interpretive structural models? Ann. Oper. Res. 270 (1), 473–487 (2018).
Chacko, E., Suresh, M. & Sreenivasan, A. Factors influencing agility on start-ups: A TISM approach. Int. J. Agile Syst. Manag. 16 (1), 25–43 (2023).
Xiahou, X. et al. Critical success factors for the implementation of urban regeneration REITs in China: A TISM–MICMAC based approach. Eng. Constr. Archit. Manag. 31 (1), 363–385 (2024).
Shen, L., Song, X., Wu, Y., Liao, S. & Zhang, X. Interpretive structural modeling based factor analysis on the implementation of emission trading system in the Chinese building sector. J. Clean. Prod. 127, 214–227 (2016).
Ahmad, N. SmartISM 2.0: A roadmap and system to implement fuzzy ISM and fuzzy MICMAC. Sustainability 16 (20) (2024).
Suresh, M. & Dharunanand, R. Factors influencing sustainable maintenance in manufacturing industries. J. Qual. Maint. Eng. 29 (1), 94–113 (2023).
Menon, S. & Suresh, M. Modeling the enablers of sustainability in higher education institutions. J. Model. Manag. 17 (2), 405–439 (2022).
Nnabuife, S. G., Hamzat, A. K., Whidborne, J., Kuang, B. & Jenkins, K. W. Integration of renewable energy sources in tandem with electrolysis: A technology review for green hydrogen production. Int. J. Hydrog. Energy (2024).
Phogat, P., Dey, S. & Wan, M. Comprehensive review of sodium-ion batteries: Principles, materials, performance, challenges, and future perspectives. Mater. Sci. Eng. B 312, 117870 (2025).
Zhou, Y., Chen, Z., Gong, Z., Chen, P. & Razmjooy, S. The improved aquila optimization approach for cost-effective design of hybrid renewable energy systems. Heliyon, 10(6). (2024).
Xiong, Y. et al. Quantifying sustainable urban energy solutions: Statistical analysis of renewable adoption, economic viability, and technological innovations. Sustain. Cities Soc. 101, 105157 (2024).
El-Araby, R. Biofuel production: Exploring renewable energy solutions for a greener future. Biotechnol. Biofuels Bioprod. 17 (1), 129 (2024).
Jalil, M. F., Marikan, D. A. B. A., bin Jais, M. & bin Arip, M. A. Kickstart manufacturing SMEs’ go green journey: A green hydrogen acceptance framework to enhance low carbon emissions through green digital technologies. Int. J. Hydrog. Energy 105, 592–610 (2025).
Zaheb, H. et al. Comprehensive analysis and prioritization of sustainable energy resources using analytical hierarchy process. Sustainability 16 (11), 4873 (2024).
Inigo, E. A. & Albareda, L. Sustainability oriented innovation dynamics: Levels of dynamic capabilities and their path-dependent and self-reinforcing logics. Technol. Forecast. Soc. Change 139, 334–351 (2019).
Hartmann, J., Inkpen, A. C. & Ramaswamy, K. Different shades of green: Global oil and gas companies and renewable energy. J. Int. Bus. Stud. 52, 879–903 (2021).
Jasiūnas, J., Lund, P. D. & Mikkola, J. Energy system resilience—A review. Renew. Sustain. Energy Rev. 150, 111476 (2021).
Dall-Orsoletta, A., Romero, F. & Ferreira, P. Open and collaborative innovation for the energy transition: An exploratory study. Technol. Soc. 69, 101955 (2022).
Author information
Authors and Affiliations
Contributions
A.T.A. Data collection; Manuscript preparation; and Data analysis M.S. Model development, Analysis; R.R wrote the main manuscript text, Supervision. All authors reviewed the manuscript.
Corresponding author
Ethics declarations
Competing interests
The authors declare no competing interests.
Additional information
Publisher’s note
Springer Nature remains neutral with regard to jurisdictional claims in published maps and institutional affiliations.
Electronic supplementary material
Below is the link to the electronic supplementary material.
Rights and permissions
Open Access This article is licensed under a Creative Commons Attribution-NonCommercial-NoDerivatives 4.0 International License, which permits any non-commercial use, sharing, distribution and reproduction in any medium or format, as long as you give appropriate credit to the original author(s) and the source, provide a link to the Creative Commons licence, and indicate if you modified the licensed material. You do not have permission under this licence to share adapted material derived from this article or parts of it. The images or other third party material in this article are included in the article’s Creative Commons licence, unless indicated otherwise in a credit line to the material. If material is not included in the article’s Creative Commons licence and your intended use is not permitted by statutory regulation or exceeds the permitted use, you will need to obtain permission directly from the copyright holder. To view a copy of this licence, visit http://creativecommons.org/licenses/by-nc-nd/4.0/.
About this article
Cite this article
Alka, T.A., Raman, R. & Suresh, M. Critical success factors for successful technology innovation development in sustainable energy enterprises. Sci Rep 15, 14138 (2025). https://doi.org/10.1038/s41598-025-98725-2
Received:
Accepted:
Published:
Version of record:
DOI: https://doi.org/10.1038/s41598-025-98725-2








