Fig. 3
From: Electrostatic solitary wave modeling in lunar wake plasma

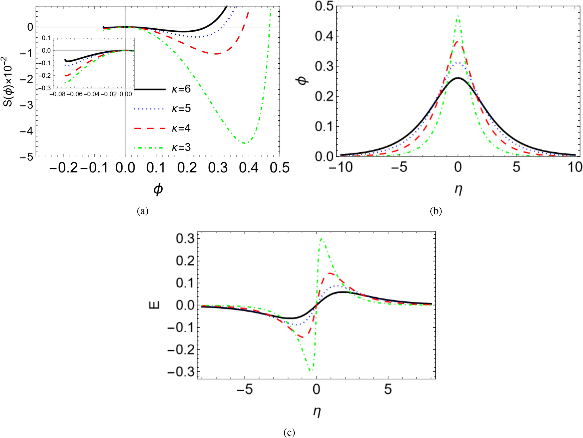
[Positive potential IA Solitary waves] Plots of (a) the Sagdeev pseudopotential, (b) the associated electrostatic potential pulse (\(\phi \)) and (c) the electric field (E) (bipolar pulse) profiles of ion-acoustic mode are presented versus the space coordinate \(\eta \), for different values of \(\kappa \). We have considered \(V=0.99\), \(\delta _b=0.01,\) \(\delta _\alpha =0.055\), \(\delta _e=1.1\), \(\delta _b = 1.1\), \(U_{b0}=17.14\), \(\mu _\alpha =4\), \(Q_\alpha =2\) and \(\mu _b=1/1836\) in these plots. The zoomed-in view in panel-(a) on the negative axis shows no negative polarity solitary waves exist for given parameters.