Abstract
This investigation is inspired by the first flyby of NASA’s ARTEMIS (Acceleration, Reconnection, Turbulence and Electrodynamics of the Moon’s Interaction with the Sun) mission, which observed the signatures of electrostatics waves in the lunar wake region. We have developed a lunar plasma model consisting of protons, α-particles, an electron beam originating from the solar wind and suprathermal electrons. A pseudopotential technique has been employed to investigate the existence of electrostatic solitary waves from first principles. Due to the presence of the beam, three harmonic modes may be excited, namely an ion-acoustic mode and two distinct beam-driven electron-acoustic modes, with different phase speed (to be referred to as the fast and slow mode). The coexistence of positive and negative polarity structures associated with the ion-acoustic mode has been examined. Only negative polarity structures may occur in relation with the fast (supersonic) or the slow (subsonic) electron-acoustic modes. The combined effects of the beam and electron superthermality have been analyzed parametrically. The results of this investigation are in good agreement with observations of electrostatic waves reported in the lunar wake region. Our findings should help unfold the (mostly unexplored) dynamical characteristics of nonlinear waves observed in the lunar wake region.
Similar content being viewed by others
Introduction
Electrostatic solitary waves (ESWs) are frequent occurrences in space plasma observations. Typically identified in combined density and electric field measurements, manifested as propagating bipolar E-field waveforms, these localized waves are characterized by a pulse-shaped excitation in the electrostatic potential and a localized disturbance in the electron/ion density, which propagate along the ambient magnetic field lines. Primarily, the modeling of ESWs relies on analytical tools developed independently by Sagdeev1 and Washimi and Taniuti2. Numerous comprehensive theoretical and experimental investigations have been dedicated to the study of solitary waves occurring in diverse plasma environments3,4,5,6,7,8,9,10,11,12,13,14,15. ESWs have been commonly observed in the Earth’s magnetosphere through spacecraft missions such as Viking16, Geotail17, FAST18, and Cluster5. Beyond near-Earth space plasma environments, planetary missions such as Cassini and MAVEN have also documented similar electrostatic structures (ESWs) in the magnetospheres of Saturn19 and Mars11,20, respectively. These observations have motivated plasma physicists to explore the genesis of ESWs in diverse space and planetary settings through theoretical models, subsequently followed by simulation studies of solitary waves in multicomponent plasmas13,21,22,23,24.
Various satellite missions have provided compelling evidence for the prevalence of energetic particles in diverse space and astrophysical environments. Notably, the electron velocity distribution in these environments exhibits a pronounced long-tailed pattern at large arguments, indicating a significant suprathermal component. This deviates from the conventional “textbook” scenario of a thermal (Maxwell-Boltzmann) distribution, as widely recognized in the literature25. The presence of suprathermal particles has been documented in different regions, including the Earth’s magnetosphere26 and auroral zones27. Additionally, MESSENGER data has revealed the existence of such particles in the magnetosphere of Mercury28. The introduction of a kappa-type (non-Maxwellian) distribution by Vasyliunas29 marked the first attempt to formulate a heuristic model, applied to interpret OGO 1 and OGO 3 spacecraft data collected in the Earth’s magnetosphere. Subsequently, suprathermal distributions have been employed to model particle distributions not only in the solar wind30 but also in the magnetospheres of various planets, including Earth, Saturn, and Jupiter31.
The interaction between the Moon and the solar wind has been extensively studied, e.g. based on data from the ARTEMIS mission32,33. (Our modeling is based on those earlier observations.) The Moon is an obstacle to the streaming solar wind, creating the lunar wake region in its shadow34. The plasma density immediately downstream of this wake region is significantly depleted compared to areas outside the wake. Observations indicate that when the solar wind interacts with the Moon, the lunar surface absorbs the solar wind plasma, forming a lunar wake on the Moon’s nightside32. Due to the absence of an intrinsic magnetic field and the relatively low conductivity of the Moon, the solar wind magnetic field penetrates the lunar surface more quickly than the solar wind particles. This density gradient drives the solar wind plasma to refill the wake region via ambipolar diffusion32,33. Guo et al.35 demonstrated a significant depression in the magnetic field, attributed to the refilling of dense plasma clouds (with densities of 0.20–0.47 cm\(^{-3}\)) into the near-lunar wake. The Moon immersed in the solar wind plasma comprised of different ion and electron populations in the lunar wake plasma.
The observations of the electrostatic bipolar pulses of frequency range \(\sim 10\) Hz–6 kHz with amplitudes of parallel electric field component \(E_{\parallel }\sim 5-15\) mV/m by the first flyby ARTEMIS (Acceleration, Reconnection, Turbulence and Electrodynamics of the Moon’s Interaction with the Sun) mission on the lunar wake region33. The THEMIS (Time History of Events and Macroscale Interactions during Substorms) mission comprises a constellation of five spacecraft. A derivative of THEMIS, the ARTEMIS (Acceleration, Reconnection, Turbulence, and Electrodynamics of the Moon’s Interaction with the Sun) mission involves two probes dedicated to lunar exploration, derived from the outermost spacecraft of the THEMIS constellation, namely THEMIS-B (designated as P1) and THEMIS-C (designated as P2). On February 2010, ARTEMIS P1 executed the initial lunar wake flyby at a distance of 3.5 lunar radii (\(R_L\)) downstream from the moon. The ARTEMIS mission encompasses a broad scope of lunar wake exploration, ranging from 1.1 to 12 \(R_L\)33. The location where ESWs were observed in the lunar wake region was addressed in Tao et al.33: see Figs. 1 and 2 therein.
Tao et al.33 developed a 1-D Vlasov simulation algorithm to model a four-component lunar wake plasma having protons, \(\alpha \)-particles, electron beam, and non-thermal electrons. They noticed that the observed waves lie in the frequency range of (0.1–0.4) \(f_{pe}\) which were mostly the electron beam mode. Additionally, they acknowledged that, despite not detecting well-defined ESWs, the possibility of ESW occurrence in the lunar wake was not entirely dismissed. Indeed, Hashimoto et al.36 have reported observations of ESWs in the lunar wake. One potential explanation for the absence of solitary waves in simulations might be that Tao et al.33 did not extend the simulation for a sufficiently long duration. Rubia et al.37 considered the same model with thermal(pressure) effects to verify the observations with theoretical predictions using a non-perturbative method.
It is worth pointing out that the methodology adopted in this study, and its actual outcome, i.e., prediction for solitary wave existence, is distinct from phase space holes, i.e. localized excitation resulting from a kinetic (statistical-mechanical) analytical framework38,39,40,41. That context refers to large amplitude excitations manifested as regions (in phase space) of high particle density concentration due to particle trapping by localized inomogeneities in the distibution function. Much as these predictions are qualitatively similar to solitary waves (and may be considered as equivalent, from an observational point of view), that modeling context is different (and predictions for their existence may differ from those for solitary waves).
In this manuscript, we present a model for the existence of electrostatic waves reported by Tao et al.33 in the lunar wake, specifically in the context of ion- and electron-acoustic solitons. Our approach involves a four-component fluid plasma model that encompasses protons, \(\alpha \)-particles, electron beams, and suprathermal electrons adhering to non-Maxwellian distribution. The analysis of the ESWs elucidates the characteristics of both low- and high-frequency waves observed in the lunar wake.
Multifluid plasma model
We have considered the lunar wake plasma consisting of proton (\(n_p\)), alpha particles (\(n_\alpha \)), electron beam (b) with drift velocity (\(u_{bo}\)) and kappa distributed electrons (\(n_e\)), based on observation by Tao et al.33. We have considered waves propagating along the ambient magnetic field (hence the Larmor force may be neglected in the algebra). The dynamics of protons, alpha particles, and electron beam in lunar plasma are described by following normalized multi-fluid equations42:
The charge neutrality condition is: \(Z_p n_p +Z_{\alpha } n_{\alpha }= n_e +n_b\), \(1+Q_{\alpha }\delta _{\alpha }=\delta _e +\delta _b.\)
The plasma state variables were normalized by suitable scaling quantities, as follows: \(n_j = {\tilde{n}_j}/{n_{p0}}\), \(u_j= {\tilde{u}_j}/{C_A}\) (where \(C_A=\left( {{Z_p k_B T_e}/{m_p}}\right) ^{1/2}\)), \(\phi ={e\tilde{\phi }}/{(k_B T_e)}\), \(x={\tilde{x}}/{\lambda _{D, e}}\) (\(\textrm{where} \,\, \lambda _{De}=\left[ {\epsilon _0 k_B T_e}/{(Z_p e^2 n_{p0})}\right] ^{1/2}\)) and \(t= \omega _{pp} \tilde{t}\) (where \( \quad \omega _{pp}= \left[ {e^{2}Z_{p}^{2}n_{p0}}/{(\epsilon _0 m_{p})}\right] ^{1/2}\) is the proton plasma angular frequency). Note that \(C_0\) and \(\lambda _{De}\) respectively represent the ion sound speed and the electron Debye length in an e-i plasma. The streaming velocity of the electron beam was also normalized as \(U_{b0}={\tilde{U}_{b0}}/{C_0}\). We have defined (for \(j=p, \alpha , b, e\)) the dimensionless parameters: \(\delta _j=n_{j0}/n_{p0}\), \(Q_j=Z_j/Z_p\) (hence \(Q_p = Q_e = Q_b = 1\), \(Q_\alpha = 2\)), \(\mu _j=m_j/m_p\) (i.e. \(\mu _p = 1\), \(\mu _\alpha = 4\) and \(\mu _e = \mu _b = m_e/m_p \approx 1/1836\)) and \(s_p = s_\alpha = -s_b = +1.\)
Harmonic analysis
Now, we will examine the linear stability of the system briefly. By linearizing Eqs. (1–3) and assuming harmonic oscillations of angular frequency \(\omega \) and wavenumber k, we obtain the linear dispersion relation
In the special case \(\delta _b=0\), the above relation reduces to
with \(c_1 = \delta _e \left( \frac{\kappa -\frac{1}{2}}{\kappa -\frac{3}{2}}\right) \), which is essentially the well-known ion-acoustic mode, modified in account of the presence of \(\alpha \)-particles. Furthermore, assuming \(\delta _\alpha =\delta _b=0\), the usual ion-acoustic mode for suprathermal electrons43 is obtained, viz.
In both of the above dispersion relations, note that \(c_1\) essentially denotes the (dimensionless) Debye wavenumber squared, thus reflecting the impact of the electron statistics on the Debye screening mechanism and also affecting the sound speed, as discussed e.g. in43.
The above dispersion relation, i.e. Eq. (4), can be rewritten as
Here,
Equation (7) is a quartic polynomial, that has four roots; among them, three are positive and the fourth one is negative for a sufficiently large beam speed value; remarkably, one of the positive branches (the slow EA one) comes out to be subsonic in the presence of a strong beam, as discussed previously13,44,45. The positive roots are identified as one ion-acoustic (IA), one fast (supersonic) and one slow (subsonic) beam-driven electron-acoustic (EA) mode and negative root associated with the EA mode on the negative axis (not symmetric any more, due to the beam), for a given specific value of \(U_{b0}\) (see Fig. 1). The negative mode needn’t be considered further, as we have focused on the positive modes in our analysis; cf.45. For small (values of the) beam speed, only the EA mode (i.e., one positive and one negative root in addition to their negative counterparts) is formed due to the beam, as discussed in42. Notice that the slow modes only occur when the beam speed is above a certain threshold value, as discussed in13,44. In the absence of a beam, only the EA mode exists as Eq. (7) essentially reduces to a quadratic equation (in addition to a trivial non-oscillating \(\omega ^2=0\) mode) that has only two roots (i.e., a positive and a negative branches) which are symmetric. This work mainly focuses on the above three mode, i.e. we will consider ion-acoustic, fast- and slow- (beam-driven) electron-acoustic waves.
Nonlinear analysis
To examine the characteristics of arbitrary amplitude electrostatic solitary waves, we transform the above equations into a stationary frame moving at speed v (i.e., solitary wave speed), i.e., \(\eta =(x-V t)\) where \(V=v/C_{a}\) is the normalized value of the pulse speed. Now find the expressions of the number densities of the proton, \(\alpha \)-particles, and electron beam by integrating continuity and momentum equations. The expressions for the number densities read
Substituting the above expressions into Poisson’s equation and adopting appropriate boundary conditions (for localized excitations), namely \(n_{j}\rightarrow 1\), \(u_{p,\alpha }\rightarrow 0\), \(u_{b}\rightarrow U_{b0}\), \(\phi \rightarrow 0\) as \(|\eta |\rightarrow \pm \infty \) and \(\phi \rightarrow 0\), for \(|\eta |\rightarrow \pm \infty \), one finds a pseudo-energy conservation equation in the form
where the pseudopotential function \(S(\phi ,V)\) reads
Existence domain(s) for electrostatic solitary waves
For analyzing the solitary waves to exist, the Sagdeev pseudopotential \(S(\phi , V)\) must satisfy the following conditions:
-
(i)
\(S(\phi , V)|_{\phi =0}=0\), \(S'(\phi , V)|_{\phi =0}=0\),
-
(ii)
\(S(\phi , V)=0|_{\phi =\phi _0}\) (where the root \(\phi _0\) represents the soliton amplitude),
-
(iii)
\(S(\phi , V)<0\) for \(0<|\phi |<|\phi _0|\).
-
(iv)
\(S^{\prime \prime }(\phi , V)|_{\phi =0}<0\),
-
(v)
\(S^{\prime \prime \prime }(\phi , V)|_{\phi =0}\) (to determine the polarity of soliton).
Lower velocity bound: the acoustic limit(s).
The penultimate (curvature related) condition is satisfied by imposing the inequality
An algebraic manipulation leads to the form:
where the various coefficients are given by
(Recall that \(c_1\) was defined earlier, in (5) above.) The left-hand side is a quartic polynomial that may change behavior, depending on the value of the beam velocity (value). A meticulous analytical search shows that for small (and even zero) values of \(U_{b,0}\), it has two real roots along with complex (conjugate) roots, as was discussed in42.
For sufficiently strong beam speed, Eq. (12) possesses four real roots, in fact three positive and one negative root(s)13,44. These positive roots (say, to be labeled as \(V_{1i}\), \(V_{1f}\), \(V_{1s}\)) represent the sound speed of three forward-propagating acoustic modes, namely an IA mode and two beam-driven EA fast (for subscript ‘f’) and slow (subscript ‘s’) modes, respectively. In our context, here, related to the condition (11), the subscripts 1(i, f, s) represent the acoustic limit(s) i.e. lower bounds for the IA, EA-fast and EA-slow modes, respectively.
An upper limit for the velocity (\(V_2\)) can be found by imposing, as an obvious requirement, that all state variables must be real. Recall that the number density variables were given by Eq. (8) above.
Different possibilities must be taken into consideration:
-
(a)
The electron beam density (\(n_b\)) in Eq. (8) should be real, which implies that \(\phi \ge -\frac{\mu _b(V_{2,-}-U_{b0})^2}{2} = \phi _{c, 1}\). For positive potential structures (\(\phi > 0\)), this is readily satisfied and needn’t be consider any further. For negative potential values (\(\phi < 0\)), however, the reality condition is satisfied by imposing the requirement \(S\left( \phi _{c, 1}, V\right) \ge 0\) for any acceptable value of V, which in our model entails
$$\begin{aligned} S(\phi _{c 1}, V)= & \delta _{\alpha } \mu _{\alpha } V^2\left[ 1-\left( 1+\frac{Q_{\alpha }\mu _b (V-U_{b0})^2}{\mu _{\alpha } V^2}\right) ^{1/2}\right] +V^2\left[ 1-\left( 1+\frac{\mu _b (V-U_{b0})^2}{V^2}\right) ^{1/2}\right] +\delta _b \mu _b (V-U_{b0})^2 \nonumber \\ & + \delta _e\left[ 1-\left( 1+\frac{\mu _b (V_{2,-}-U_{b0})^2}{2 \kappa -3}\right) ^{-\kappa +\frac{3}{2}}\right] \ge 0 \,. \qquad \qquad \qquad \end{aligned}$$(14)This condition imposes an upper bound in the velocity V, since one must satisfy \(V < V_{2,-}\) (i.e. the velocity V may not exceed a certain limit, say \(V_{2,-}\)); note that the value of \(V_{2,-}\) cannot be found analytically, but (only) by considering the equality sign in (14) and solving numerically.
Recall that, as mentioned above, the latter constraint must be obeyed by negative potential structures (only), which should satisfy \(|\phi | \le \frac{\mu _b(V_{2,-}-U_{b0})^2}{2}\) (in absolute value). For a negative root of \(S(\phi )\), therefore, assuming a negative polarity electrostatic potential pulse (i.e., \(\phi < 0\)) exists, the above condition is amenable to \(V \le V_{2, -}\), suggesting the existence of an upper bound \(V_{2, -}\), that may only be found numerically.
-
(b)
Analogous arguments may be formulated for the positive species’ densities, i.e. \(n_p\) and \(n_\alpha \), that should also be real. This requirement implies that \(\phi \le \textrm{min}\{\frac{V^2}{2}, \frac{\mu _\alpha V^2}{2Q_\alpha } \} = \phi _{c, 2}\); actually, it suffices to consider \(\phi _{c, 2}=\frac{V_{2,+}^2}{2}\) here, since \(\frac{V^2}{2}<\frac{\mu _\alpha V^2}{2Q_\alpha }\). For the model to be meaningful, neither the S function nor any of the state variables may be allowed to develop an imaginary part. This requirement is satisfied if we impose \(S\left( \phi ,\frac{V_{2,+}^2}{2}\right) \ge 0\), which in our model implies
$$\begin{aligned} S(\phi _{c, 2}, V)= \,\,& \delta _{\alpha } \mu _{\alpha } V ^2\left[ 1-\left( 1-\frac{Q_{\alpha }}{\mu _{\alpha }}\right) ^{1/2}\right] + V^2 + \delta _b \mu _b (V-U_{b0})^2\left[ 1-\left( 1+\frac{V^2}{\mu _b(V-U_{b0})^2}\right) ^{1/2}\right] \nonumber \\ & + \delta _e\left[ 1-\left( 1-\frac{V^2}{2 \kappa -3}\right) ^{-\kappa +\frac{3}{2}}\right] \ge 0. \end{aligned}$$(15)This must be satisfied for any permitted value of V.
By adopting an argument similar to the one in the preceding case (a), the reality condition for the positive species’ density needn’t be considered for negative-valued potential solutions \(\phi \), since these are always lower than the (positive) critical value. However, for positive polarity electrostatic potential pulses (i.e., \(\phi > 0\)), the above condition is amenable to \(V \le V_{2, +}\), suggesting the existence of an upper bound \(V_{2, +}\), that may be found numerically.
Note that, for the IA mode both positive and negative polarity electrostatic potential pulses are possible, since \(n_{p}\) and \(n_b\) given by Eq. (8) are real, for any value of \(\phi \). Only negative polarity electrostatic potential pulses are possible for beam-driven EA fast and slow modes.
Parametric analysis
To investigate the existence and characteristics of solitary waves in the lunar wake region, we have considered the parameters observed by Tao et al.33, who reported variations in the wavelengths of a series of observed waves across WB1, WB2, and WB3. To encompass these diverse wavelength ranges, two distinct runs, namely Run I and Run II, were conducted by Tao et al.33 by making use of a 1D Vlasov code. In our model, we adopted the precise parameters of the initial electron distribution from both runs, as specified by Tao et al.33, albeit with different normalization, i.e. converting those parameter values to align with our normalization standards (see Table 1). Figure 1 depicts the variation of the angular frequency \(\omega \) in the \(k-\kappa\) plane. Note that only three positive roots occur for any given set of plasma parameters. One of them is an ion-acoustic mode under the impact of the electron beam, while the other two are beam-driven (fast and slow) electron acoustic modes. The frequency and the phase speed of the ion-acoustic mode are lower for a non-Maxwellian distribution (i.e., for lowwer \(\kappa\)) than in the Maxwellian case, as shown in Fig. 1a. A similar trend is witnessed for the fast electron-acoustic mode in Fig. 1b. On the other hand, the opposite trend occurs for the slow electron-acoustic mode shown in Fig. 1c. The behavior for the slow mode was discussed by13.
Plot of the linear (angular) frequency (a) \(\omega _{IA}\) of the ion-acoustic mode, (b) \(\omega _{B, F}\) of the fast electron-acoustic mode, and (c) \(\omega _{B, S}\) of the slow electron-acoustic mode, in the \(k-\kappa \) plane. We have considered \(\delta _b=0.01\), \(\delta _\alpha =0.055\), \(\delta _e=1.1\), \(\delta _b = 1.1\), \(U_{b0}=17.14\), \(\mu _\alpha =4\), \(Q_\alpha =2\) and \(\mu _b=1/1836\) in these plots.
The dependence of the existence domain (i.e. the velocity range where solitary waves occur) on the spectral index (\(\kappa \)) as shown in Fig. 2 for \(U_{b0}=17.14\), where the solid curves correspond to the lower limit (\(V_{1}\)) and the dashed ones correspond to the upper limits (\(V_{2,\pm }\)). Solitary waves can only exist within these limits. The existence domain for IA solitary waves is depicted in Panel (a) whereas the remaining two modes i.e. the beam-driven fast and slow electron acoustic (solitary waves are depicted in Panel (b). Note that, for the IA mode, both positive and negative polarity ESWs are formed, whereas only negative polarity ESWs occur for beam-driven EA fast and slow modes.
Existence domain of solitary waves versus \(\kappa \) for (a) the IA mode and for (b) the fast and slow EA modes. Here, the black curves represent the ion-acoustic mode, the blue curves are for the fast beam-driven electron acoustic mode and the red curves depict the slow electron acoustic mode. Note that the solid curve distinguishes the lower limit (\(V_{1}\)) from the upper limit (\(V_{2,\pm }\)) that is given by the dashed curve(s). We have considered \(U_{b0}=17.14\), \(\delta _b=0.01\), \(\delta _\alpha =0.055\), \(\delta _e=1.1\), \(\delta _b = 1.1\), \(\mu _\alpha =4\), \(Q_\alpha =2\) and \(\mu _b=1/1836\) in these plots.
[Positive potential IA Solitary waves] Plots of (a) the Sagdeev pseudopotential, (b) the associated electrostatic potential pulse (\(\phi \)) and (c) the electric field (E) (bipolar pulse) profiles of ion-acoustic mode are presented versus the space coordinate \(\eta \), for different values of \(\kappa \). We have considered \(V=0.99\), \(\delta _b=0.01,\) \(\delta _\alpha =0.055\), \(\delta _e=1.1\), \(\delta _b = 1.1\), \(U_{b0}=17.14\), \(\mu _\alpha =4\), \(Q_\alpha =2\) and \(\mu _b=1/1836\) in these plots. The zoomed-in view in panel-(a) on the negative axis shows no negative polarity solitary waves exist for given parameters.
Figure 3a shows the variation of the Sagdeev pseudopotential profile of ion-acoustic mode for different values of the V corresponding to \(\kappa \). Note that only positive polarity solitary structures are formed(the polarity of can be determined from \(S'''(\phi , V)|_{\phi =0})\)).
As expected, the solitary waves’ amplitude is higher for smaller \(\kappa \) (i.e., for a stronger suprathermal component in the particle distribution), which enhances nonlinearity. This allows solitary waves to achieve higher amplitudes for small kappa values. Note that the amplitude is indeed expected to be higher for lower kappa (values) than in the Maxwellian case, as indicated in earlier works43,46,47.
Note that the zoomed screenshot on the negative \(\phi \)-axis shows that there is no negative polarity solitary waves coexit at \(V=0.99\). Figure 3b, c illustrates the associated potential pulse and electric field profiles corresponding to Fig. 3a.
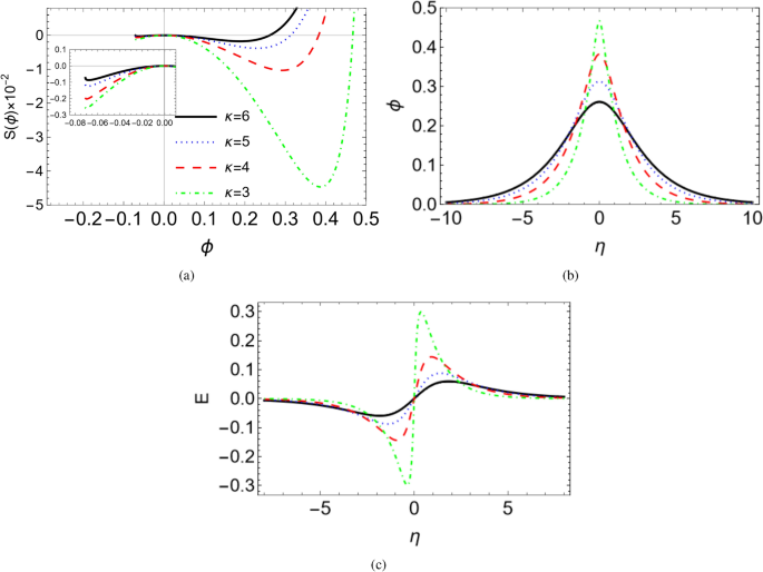
Figure 4 pinpoints the coexistence of positive and negative polarity solitary waves for the ion-acoustic mode, for different values of V corresponding to \(\kappa \). Note that both positive and negative polarity solitary structures may occur due to the effect of the beam (the polarity of can be determined from \(S'''(\phi , V)|_{\phi =0}\))). As expected, the amplitude of negative solitary structures is decreased as the value of either \(\kappa \) or V increase(s). Inversely, the amplitude of positive solitary structures is enhanced as the \(\kappa \) and V increase. Figure 4b, c illustrates the associated potential pulse and electric field profiles corresponding to Fig. 4a.
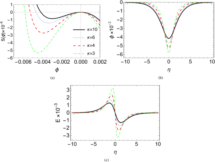
Figure 5a shows the variation of the Sagdeev pseudopotential profile of beam-driven fast EA mode for different values of \(\kappa \), for fixed V. Note that only negative polarity solitary structures occur, in relation with this mode. The amplitude of solitary waves reduces if either the value of \(\kappa \) or V increase(s) Note that the amplitude is higher as one deviates from the Maxwellian case (i.e. for finite kappa). Figure 5b, c illustrates the associated potential pulse and electric field profiles corresponding to Fig. 5a.
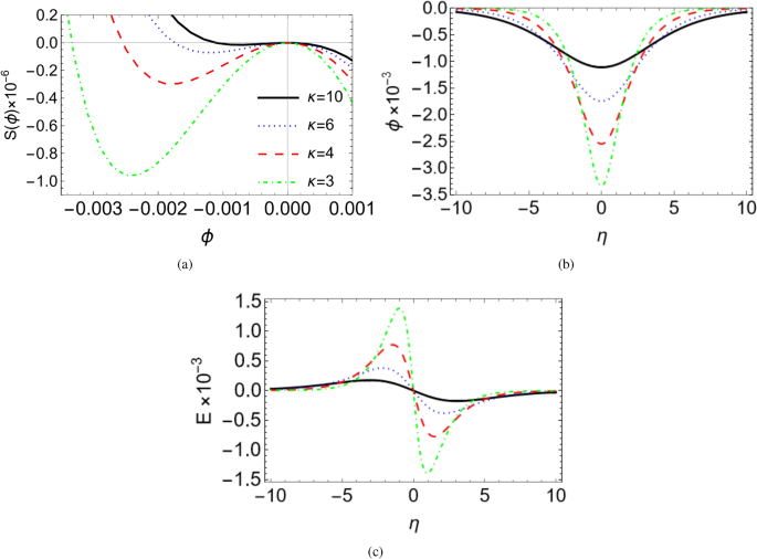
Figure 6a shows the variation of the Sagdeev pseudopotential profile of beam-driven slow (subsonic) EA mode for different values of \(\kappa \), for fixed V. Note that only negative polarity solitary structures are formed due to the effect of beam. The amplitude of solitary waves reduces as either \(\kappa \) or V increase(s). Figure 6b, c illustrates the associated potential pulse and electric field profiles corresponding to Fig. 6a.
Note that a similar behavior is witnessed for Run II. Therefore, the corresponding plots are not included.
[Coexistence of positive and negative polarity solitary waves] Plots of (a) Sagdeev pseudopotential, (b) associated electrostatic potential pulse (\(\phi \)) and (c) electric field (E) (bipolar pulse) profiles of ion-acoustic mode are depicted versus the space coordinate \(\eta \), for different values of V and \(\kappa \). We have considered \(\delta _b=0.01\), \(\delta _\alpha =0.055\), \(\delta _e=1.1\), \(\delta _b = 1.1\), \(U_{b0}=17.14\), \(\mu _\alpha =4\), \(Q_\alpha =2\) and \(\mu _b=1/1836\) in these plots.
[Fast electron-acoustic mode] Plot of (a) the Sagdeev pseudopotential, (b) the associated electrostatic potential pulse (\(\phi \)) and (c) electric field (E) (bipolar pulse) profiles for the fast electron-acoustic mode are depicted versus the space coordinate \(\eta \), for various values of \(\kappa \). We have considered \(V=22\), \(\delta _b=0.01\), \(\delta _\alpha =0.055\), \(\delta _e=1.1\), \(\delta _b = 1.1\), \(U_{b0}=17.14\), \(\mu _\alpha =4\), \(Q_\alpha =2\) and \(\mu _b=1/1836\) in these plots.
[Slow electron-acoustic mode.] Plot of (a) the Sagdeev pseudopotential, (b) the associated electrostatic potential pulse (\(\phi \)) and (c) electric field (E) (bipolar pulse) profiles, for the slow electron-acoustic mode, are depicted versus the space coordinate \(\eta \), for various values of \(\kappa \). We have considered \(V=13\), \(\delta _b=0.01\), \(\delta _\alpha =0.055\), \(\delta _e=1.1\), \(\delta _b = 1.1\), \(U_{b0}=17.14\), \(\mu _\alpha =4\), \(Q_\alpha =2\) and \(\mu _b=1/1836\) in these plots.
A similar behavior is seen for Run II. Therefore the corresponding plots are not shown here but the numerical values of different features of solitons, based on observations at WB1 and WB2/WB3 for both runs are summarized in Tables 2 and 3.
Possibility and evidence of the occurrence of ESWs in Lunar wake plasma
The THEMIS mission consists of a cluster of five spacecraft. The (thematically related) mission ARTEMIS involves two probes specifically designed for lunar exploration. These probes, known as ARTEMIS P1 (derived from THEMIS-B) and ARTEMIS P2 (derived from THEMIS-C), are dedicated to studying lunar phenomena. In February 2010, ARTEMIS P1 conducted its initial flyby of the lunar wake at a distance of 3.5 lunar radii (\(R_L\)) downstream from the moon. The ARTEMIS mission covers a wide range in near-lunar wake space exploration, spanning from 1.1 to 12 \(R_L\). During NASA’s first flyby as part of the ARTEMIS mission, electrostatic solitary waves were reported to have been observed in the lunar wake region. These waves exhibited a frequency range of approximately 10 Hz to 6 kHz, amplitudes of the parallel electric field between 5, 15 mV/m, phase speed of the order of 1000 km/s and a width of a few hundred meters upto a couple of thousands meters33.
In our investigation, we have adopted ad hoc the (two) sets of parameters given in Table 1 along with the parameters for WB1: ion acoustic speed \(C_A=52\) km/s, \(T_e= 28\) eV and \(\lambda _{De}=115\) m. Similarly, for WB2/WB3, we have taken \(C_A=46\) km/s, \(T_e= 22.64\) eV Hz and \(\lambda _{De}=53\) m (values adjusted to our normalization). The predicted solitary wave features in Runs I and II have been outlined in Tables 2 and 3, respectively. The values summarized in those Tables were derived from observations conducted at WB1 and WB2/WB3 by ARTEMIS33. It is important to note that, for both Run I and II, all modes occurred simultaneously, exhibiting speeds in the range of 47–1400 km/s approximately, with maximum electric field amplitude falling within the range of 0.2–26 mV/m, approximately, while the width was between 23 and 2000 m. We have also computed the peak amplitude of the soliton \(\sim \) 0.06–7 Volt. Strong alignment is thus found between between our results and the observations made by Tao et al.33.
(a) Plot of the fast Fourier transform (FFT) power spectra of the electric field for WB1 corresponding to Run I for different values of V related to all three modes. Note that the value of kappa was fixed at \(\kappa =6\) for both runs, based on the reported observations. The x-axis represents the logarithm log\(_{10} f\), where f is the frequency (expressed in Hertz). The y-axis represents the power of the electric field expressed in decibel units (mV/m/\(\sqrt{\textrm{Hz}}\)); (b) plot of the fast Fourier transform (FFT) power spectra of the electric field for WB2/WB3 corresponding to Run I. In the plots, we have taken \(\delta _b=0.01\), \(\delta _\alpha =0.055\), \(\delta _e=1.1\), \(\delta _b = 1.1\), \(U_{b0}=17.14\), \(\mu _\alpha =4\), \(Q_\alpha =2\) and \(\mu _b=1/1836\).
(a) Plot of the fast Fourier transform (FFT) power spectra of the electric field for WB1 corresponding to Run II, for different values of V related to all three modes. Note that the value of kappa is fixed to \(\kappa =6\) for both runs, based on the observations. The x-axis represents the logarithm log\(_{10} f\), where f is the frequency (expressed in Hertz). The y-axis represents the power of the electric field expressed in decibel units (mV/m/\(\sqrt{\textrm{Hz}}\)); (b) plot of the fast Fourier transform (FFT) power spectra of the electric field for WB2/WB3 corresponding to Run II. We have taken \(\delta _b=0.02\), \(\delta _\alpha =0.055\), \(\delta _e=1.09\), \(\delta _b = 1.1\), \(U_{b0}=17.14\), \(\mu _\alpha =4\), \(Q_\alpha =2\) and \(\mu _b=1/1836\) in these plots.
The relationship between the frequency of the electrostatic wave and the solitary waves arises from their nonlinear interaction within the plasma medium. The frequency of the electrostatic wave influences the phase velocity and dispersion characteristics, which in turn affect the formation and stability of solitary waves. Solitary waves often emerge as a balance between the nonlinear effects and dispersion effects . Therefore, the wave frequency plays a role in determining the conditions under which solitary waves can form, propagate, or remain stable. Therefore, we have presented the fast Fourier transform (FFT) power spectra of the electric field corresponding to WB1 and WB2/WB3 for both Run I and II in Figs. 7 and 8. These plots reveal maximum frequencies associated with the peaks in the power spectra for all modes at WB1 and WB2/WB3. Notably, all three modes coexist concurrently in both runs. Consequently, peak frequencies exhibit a range of approximately (20–1258) Hz = (0.006–0.38) \(f_{pe}\) for WB1, and (42–2951) Hz = (0.007–0.46) \(f_{pe}\) for WB2/WB3. Overall, the FFT power spectra of the electric field span the interval of approximately (0.01–0.46) \(f_{pe}\), precisely positioned between (0.01–0.4) \(f_{pe}\) Hz (where \(f_{pe}\) represents the electron plasma frequency, normalized as per33).
Thus, the observed frequencies in the power spectra (refer to Figs. 7 and 8), along with the computed values of ESW characteristics as summarized in Tables 2 and 3, provide compelling evidence aligning with the observations. This supports the conclusion that ESWs are indeed present in the Lunar wake plasma as detected by ARTEMIS33.
Conclusions
We have investigated the existence and dynamics of electrostatic solitary waves in the lunar wake region by considering a four-component plasma model consisting of protons, \(\alpha \)-particles, solar wind originated streaming electrons (beam) and suprathermal electrons. Due to the presence of the beam, three modes occur: ion-acoustic waves and two (coined “fast” and “slow”) beam-driven electron-acoustic modes. The possibility for coexistence of positive and negative polarity structures associated with the ion-acoustic mode has been investigated. Only negative polarity structures are predicted for (either of) the electron-acoustic modes. The combined effects of the beam and electron superthermality have been analyzed. We have considered two representative sets of values. Importantly, for both Run I and II considered, all modes are manifested, exhibiting speeds in the range of (47–1400) km/s approximately, with maximum electric amplitude falling within the range of (0.2–26) mV/m approximately, while the width spans values from 23 to 2000 m. The FFT power spectra of the electric field span the interval of approximately (0.01–0.46) \(f_{pe}\), precisely positioned between (0.01–0.4) \(f_{pe}\) Hz. The results of this investigation are in good agreement with the reported observations of the electrostatic waves in the lunar wake. Our findings will help unfold the (mostly unexplored) dynamical characteristics of nonlinear waves observed in the Lunar wake region based on ARTEMIS observations33. The detection of solitary waves helps explain energy transport and nonlinear dynamics in plasmas because these waves can carry energy over long distances without dissipating, due to their stable, localized structure. Unlike regular waves that spread out and lose energy, solitary waves maintain their shape, efficiently transferring energy through the plasma.
Data availability
All data generated or analysed during this study are included in this published article.
References
Sagdeev, R. Z. Cooperative phenomena and shock waves in collisionless plasmas. In Reviews of Plasma Phys., Vol. 4 (ed. Leontovich, M. A.) 23–91 (Consultants Bureau, 1966).
Washimi, H. & Taniuti, T. Propagation of ion-acoustic solitary waves of small amplitude. Phys. Rev. Lett. 17, 992 (1966).
Baboolal, S., Bharuthram, R. & Hellberg, M. A. Cut-off conditions and existence domains for large-amplitude ion-acoustic solitons and double layers in fluid plasmas. J. Plasma Phys. 44, 1 (1990).
Berthomier, M., Pottellete, R. & Malingre, M. Solitary waves and weak double layers in a two-electron temperature auroral plasma. J. Geophys. Res. 103, 4261 (1998).
Pickett, J. S. et al. Isolated electrostatic structures observed throughout the Cluster orbit: relationship to magnetic field strength. Ann. Geophys. 22, 2515 (2004).
Hellberg, M. A. & Verheest, F. Ion-acoustic solitons in plasmas with two-temperature ions. Phys. Plasmas 15, 062307 (2008).
Lakhina, G. S., Singh, S. V., Kakad, A. P. & Pickett, J. S. Generation of electrostatic solitary waves in the plasma sheet boundary layer. J. Geophys. Res. 116, A10218 (2011).
Rufai, O., Bharuthram, R., Singh, S. & Lakhina, G. Ion acoustic solitons and supersolitons in a magnetized plasma with nonthermal hot electrons and Boltzmann cool electrons. Phys. Plasmas 21, 082304 (2014).
Olivier, C. P., Verheest, F. & Hereman, W. A. Collision properties of overtaking supersolitons with small amplitudes. Phys. Plasmas 25, 032309 (2018).
Allen, J. E., Frantzeskakis, D. J., Karachalios, N. I., Kevrekidis, P. G. & Koukouloyannis, V. Solitary and periodic waves in collisionless plasmas: the Adlam-Allen model revisited. Phys. Rev. E 102, 013209 (2020).
Kakad, B., Kakad, A., Aravindakshan, H. & Kourakis, I. Debye-scale solitary structures in the Martian magnetosheath. Astrophys. J. 934, 126 (2022).
Rubia, R. et al. Electrostatic solitary waves in the Venusian ionosphere pervaded by the solar wind: a theoretical perspective. Astrophys. J. 950, 111 (2023).
Singh, K., Varghese, S. S., Verheest, F. & Kourakis, I. On the existence of subsonic solitary waves associated with reconnection jets in earth’s magnetotail. Astrophys. J. 957, 96 (2023).
Sreeraj, T., Singh, S. V. & Lakhina, G. S. Ion acoustic waves in lunar wake plasma. Adv. Space Res. 71, 4604 (2023).
Singh, K., Varghese, S. S., Saini, N. S. & Kourakis, I. Oblique electrostatic solitary and supersolitary waves in earth’s magnetosheath. Astrophys. J. 971, 25 (2024).
Boström, R. et al. Characteristics of solitary waves and weak double layers in the magnetospheric plasma. Phys. Rev. Lett. 61, 82 (1988).
Matsumoto, H. et al. Electrostatic solitary waves (ESW) in the magnetotail: BEN wave forms observed by GEOTAIL. Geophys. Res. Lett. 21, 2915 (1994).
Ergun, R. E. et al. FAST satellite observations of large-amplitude solitary structures. Geophys. Res. Lett. 25, 2041 (1998).
Pickett, J. S. et al. Electrostatic solitary waves observed at Saturn by Cassini inside 10 Rs and near Enceladus. J. Geophys. Res. 120, 6569 (2015).
Andersson, L. et al. The Langmuir probe and waves (LPW) instrument for MAVEN. Space Sci. Rev. 195, 173 (2015).
Kakad, A., Lotekar, A. & Kakad, B. First-ever model simulation of the new subclass of solitons “Supersolitons’’ in plasma. Phys. Plasmas 23, 110702 (2016).
Singh, K., Kakad, A., Kakad, B. & Saini, N. S. Evolution of ion acoustic solitary waves in pulsar wind. MNRAS 500, 161 (2021).
Singh, K., Kakad, A., Kakad, B. & Saini, N. S. Fluid simulation of ion acoustic solitary waves in electron-positron-ion plasma. EPJP 136, 14 (2021).
Singh, K., Kakad, A., Kakad, B. & Kourakis, I. Fluid simulation of dust-acoustic solitary waves in the presence of suprathermal particles: application to the magnetosphere of Saturn. A & A 666, A37 (2022).
Livadiotis, G. Kappa Distributions: Theory & Applications in Plasmas (Nikki Levy, 2017).
Feldman, W. C., Asbridge, J. R., Bame, S. J., Montgomery, M. D. & Gary, S. P. Solar wind electrons. J. Geophys. Res. 80, 4181 (1975).
Lazar, M., Schlickeiser, R., Poedts, S. & Tautz, R. C. Counterstreaming magnetized plasmas with kappa distributions-I. Parallel wave propagation. MNRAS 390, 168 (2008).
Ho, G. C. et al. Observations of suprathermal electrons in Mercury’s magnetosphere during the three MESSENGER flybys. Planet. Space Sci. 59, 2016 (2011).
Vasyliunas, V. M. A survey of low-energy electrons in the evening sector of the magnetosphere with OGO 1 and OGO 3. J. Geophys. Res. 73, 2839 (1968).
Armstrong, T. P., Paonessa, M. T., Bell, E. V. & Krimigis, S. M. Voyager observations of Saturnian ion and electron phase space densities. J. Geophys. Res. 88, 8893 (1983).
Leubner, M. P. On Jupiter’s whistler emission. J. Geophys. Res. 87, 6335 (1982).
Wiehle, S. et al. First lunar wake passage of ARTEMIS: discrimination of wake effects and solar wind fluctuations by 3D hybrid simulations. Planet. Space Sci. 59, 661 (2011).
Tao, J. B. et al. Kinetic instabilities in the lunar wake: ARTEMIS observations. J. Geophys. Res. 117, A03106 (2012).
Bosqued, J. M. et al. Moon-solar wind interactions: first results from the WIND/3DP Experiment. Geophys. Res. Lett. 23, 1259 (1996).
Guo, D. et al. Diamagnetic plasma clouds in the near lunar wake observed by ARTEMIS. Astrophys. J. 883, 12 (2019).
Hashimoto, K. et al. Electrostatic solitary structures in warm multi-ion dusty plasmas: the effect of an external magnetic field and nonthermal electrons. Geophys. Res. Lett. 37, L19204 (2010).
Rubia, R., Singh, S. V. & Lakhina, G. S. Occurrence of electrostatic solitary waves in the lunar wake. J. Geophys. Res. 122, 9134 (2017).
Hutchinson, I. H. Electron holes in phase space: what they are and why they matter. Phys. Plasmas 24, 055601 (2017).
Hutchinson, I. H. & Malaspina, D. M. Prediction and observation of electron instabilities and phase space holes concentrated in the lunar plasma wake. Geophys. Res. Lett. 45, 3838 (2018).
Malaspina, D. M. & Hutchinson, I. H. Properties of electron phase space holes in the lunar plasma environment. Geophys. Res. Lett. 124, 4994 (2019).
Aravindakshan, H., Kakad, A., Kakad, B. & Kourakis, I. Bernstein-Greene-Kruskal ion modes in dusty space plasmas application in Saturn’s magnetosphere. Astrophys. J. 936, 102 (2022).
Singh K. & Kourakis I., 2023, Evolution of nonlinear electrostatic structures in the lunar wake region. In Proceedings of the 49th Eur. Phys. Soc. Conference on Cont. Fusion and Plasma Phys. (Bordeaux, 2023).
Kourakis, I., Sultana, S. & Hellberg, M. A. Dynamical characteristics of solitary waves, shocks and envelope modes in kappa-distributed non-thermal plasmas: an overview. Plasma Phys. Control Fusion 54, 124001 (2012).
Verheest, F. & Hellberg, M. A. Fast and slow beam mode ion-acoustic solitons in plasmas with counterstreaming cold protons. Phys. Scr. 96, 045603 (2021).
Varghese S. S., Singh K., Verheest F. & Kourakis I. Electrostatic solitary waves in electronegative Martian plasma. Astrophys. J. 977, 100 (2024).
Hellberg, M. A., Mace, R. L., Baluku, T. K., Kourakis, I. & Saini, N. S. Comment on “Mathematical and physical aspects of Kappa velocity distribution’’. [Phys. Plasmas 14, 110702 (2007)]. Phys. Plasmas 16, 094701 (2009).
Hellberg, M. A., Mace, R. L., Baluku, T. K., Kourakis, I. & Saini, N. S. Comment on “Mathematical and physical aspects of Kappa velocity distribution’’. Phys. Plasmas 16, 094701 (2009).
Acknowledgements
The authors acknowledge financial support from Khalifa University of Science and Technology via CIRA (Competitive Internal Research) grant CIRA-2021-064/8474000412. This project was initialized and the main body of the work was carried out while one of us (author SSV)was with Khalifa University of Science and Technology, Space and Planetary Science Group and Department of Mathematics.
Author information
Authors and Affiliations
Contributions
All authors contributed to the study conceptualization, formal design, and methodology. All authors contributed to the analysis of the results. A first complete draft was written by KS and the manuscript was finalized by IK. All authors have read and approved the final manuscript.
Corresponding author
Ethics declarations
Competing interests
The authors declare no competing interests.
Additional information
Publisher's note
Springer Nature remains neutral with regard to jurisdictional claims in published maps and institutional affiliations.
Rights and permissions
Open Access This article is licensed under a Creative Commons Attribution-NonCommercial-NoDerivatives 4.0 International License, which permits any non-commercial use, sharing, distribution and reproduction in any medium or format, as long as you give appropriate credit to the original author(s) and the source, provide a link to the Creative Commons licence, and indicate if you modified the licensed material. You do not have permission under this licence to share adapted material derived from this article or parts of it. The images or other third party material in this article are included in the article’s Creative Commons licence, unless indicated otherwise in a credit line to the material. If material is not included in the article’s Creative Commons licence and your intended use is not permitted by statutory regulation or exceeds the permitted use, you will need to obtain permission directly from the copyright holder. To view a copy of this licence, visit http://creativecommons.org/licenses/by-nc-nd/4.0/.
About this article
Cite this article
Singh, K., Varghese, S.S. & Kourakis, I. Electrostatic solitary wave modeling in lunar wake plasma. Sci Rep 15, 14506 (2025). https://doi.org/10.1038/s41598-025-98759-6
Received:
Accepted:
Published:
Version of record:
DOI: https://doi.org/10.1038/s41598-025-98759-6










