Fig. 6
From: Electrostatic solitary wave modeling in lunar wake plasma

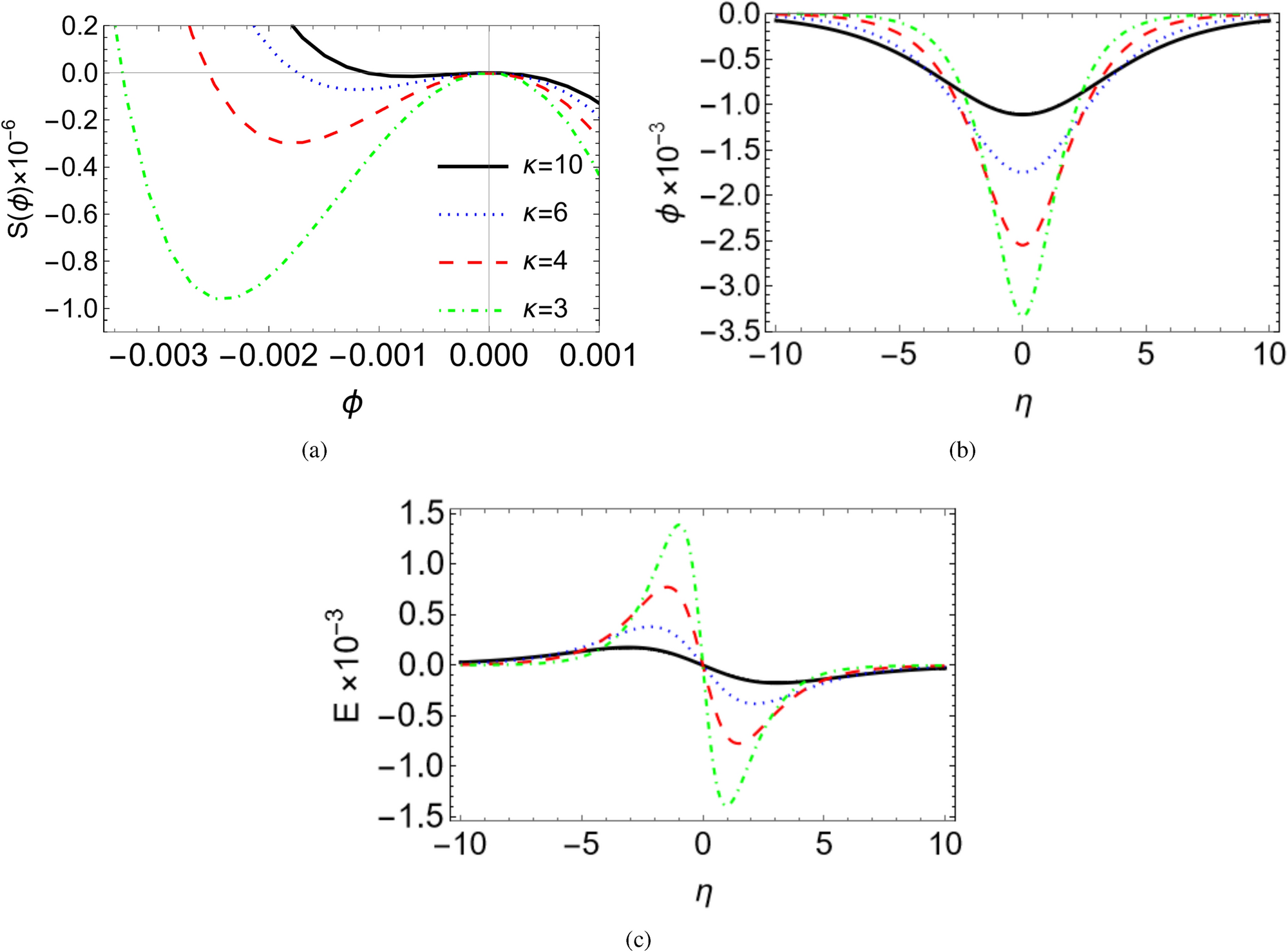
[Slow electron-acoustic mode.] Plot of (a) the Sagdeev pseudopotential, (b) the associated electrostatic potential pulse (\(\phi \)) and (c) electric field (E) (bipolar pulse) profiles, for the slow electron-acoustic mode, are depicted versus the space coordinate \(\eta \), for various values of \(\kappa \). We have considered \(V=13\), \(\delta _b=0.01\), \(\delta _\alpha =0.055\), \(\delta _e=1.1\), \(\delta _b = 1.1\), \(U_{b0}=17.14\), \(\mu _\alpha =4\), \(Q_\alpha =2\) and \(\mu _b=1/1836\) in these plots.