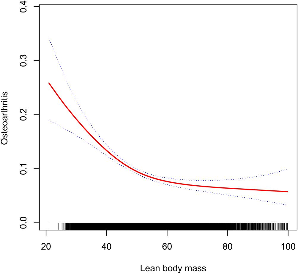
Fig. 2

Association between lean body mass and osteoarthritis among US adult population. Age, sex, race, education level, income-to-poverty ratio, marital status, smoking status, alcohol use, vigorous recreational activity, BMI, waist circumference, stroke, diabetes, CVD, cancer, hypertension, uric acid, and CRP were adjusted.