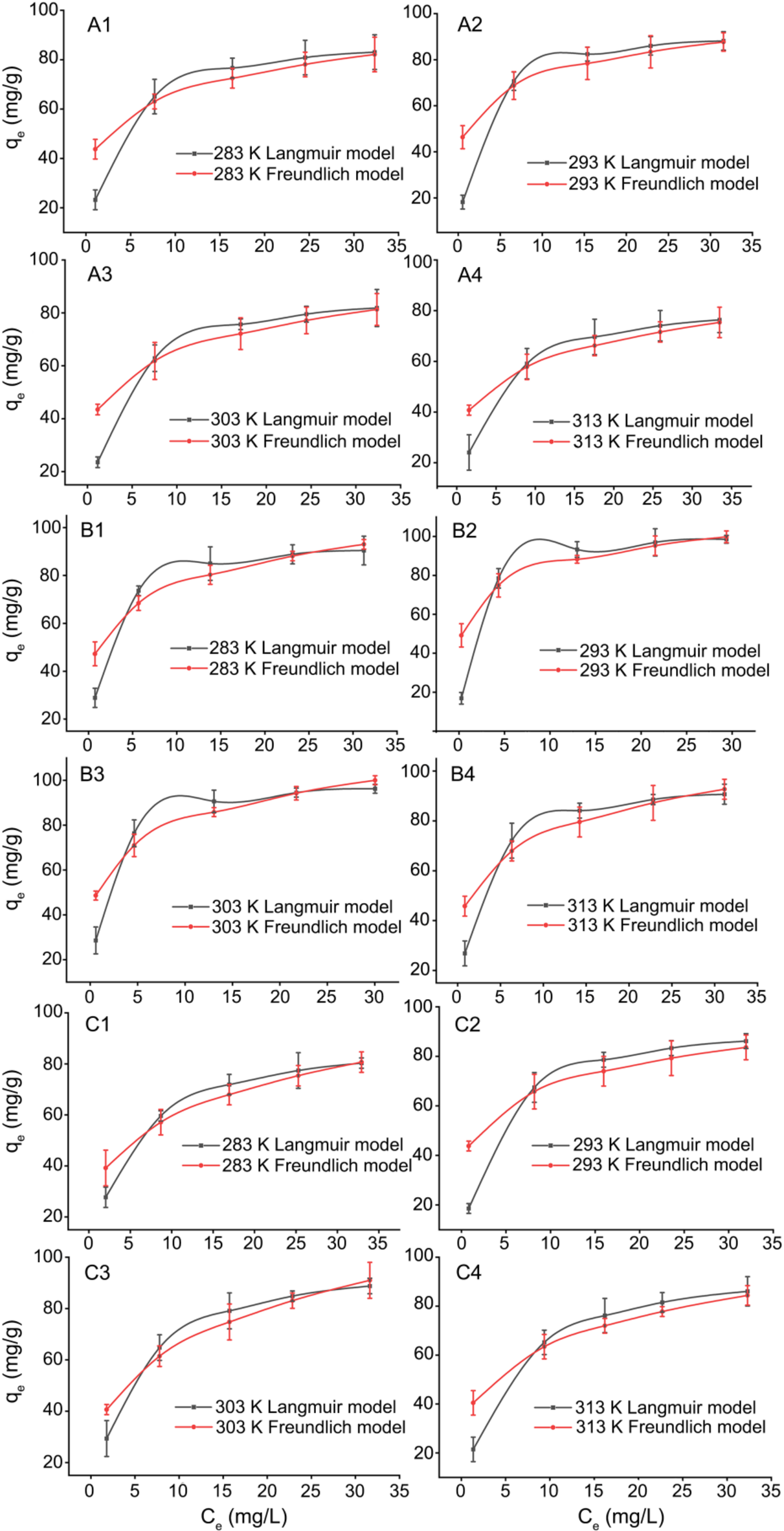
Fig. 7

The nonlinear Langmuir and Freundlich isotherm models of metformin by GO (A1–A4), CTOS-mGO (B1–B4) and PFPA-rGO (C1–C4) at four different temperatures (283 K, 293 K, 303 K and 313 K), pH = 6.

The nonlinear Langmuir and Freundlich isotherm models of metformin by GO (A1–A4), CTOS-mGO (B1–B4) and PFPA-rGO (C1–C4) at four different temperatures (283 K, 293 K, 303 K and 313 K), pH = 6.