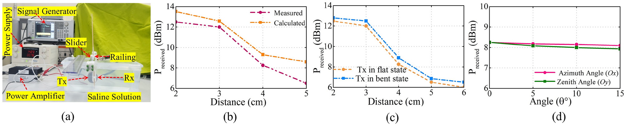
Fig. 13

(a) Experimental setup for link budget analysis. (b) \({\text {P}}_{\text {r}}\) at varying distances between the proposed \({\text {T}}_{\text {x}}\) and \({\text {R}}_{\text {x}}\) antennas. (c) \({\text {P}}_{\text {r}}\) at the \({\text {R}}_{\text {x}}\) antenna for varying distances, considering both the flat and bent states of the \({\text {T}}_{\text {x}}\) antenna. (d) \({\text {P}}_{\text {r}}\) at the \({\text {R}}_{\text {x}}\) antenna for different azimuth and zenith angles of the \({\text {T}}_{\text {x}}\) antenna.