Abstract
Wireless power transfer (WPT) technology facilitates Internet of Things medical devices (IoTMDs) for healthcare monitoring by providing reliable, continuous, and non-invasive power sources. This paper presents an efficient WPT system featuring a flexible receiver (\({\text {R}}_{\text {x}}\)) antenna integrated with an efficient rectifier and a flexible transmitter (\({\text {T}}_{\text {x}}\)) antenna operating in the midfield band of 1.5 GHz. The implantable \({\text {R}}_{\text {x}}\) antenna has a small footprint with a volume of 4.9 \(\text {mm}^{\text {3}}\) and can be easily fitted within miniaturized IoTMDs. Extensive simulations and measurement analyses were performed to validate the versatility of the system. The \({\text {R}}_{\text {x}}\) antenna exhibited a measured − 10 dB bandwidth of 130 MHz (1.43–1.56 GHz), whereas the rectifier demonstrated a peak measured efficiency of 80% at an input power of 0 dBm. The flexible and conformal nature of the \({\text {T}}_{\text {x}}\) facilitates wireless power transmission by enhancing comfort and coupling to nonplanar body surfaces. Remarkably, the system yielded a measured transmission coefficient (\(|{\text {S}}_{\text {21}}|\)) of − 22.5 dB at a distance of 51 mm without the use of any additional intermediate structures, such as matching layers, metamaterials, and metasurfaces. For safety reasons, the specific absorption rate was analyzed and confirmed to be within acceptable limits. Furthermore, real-time wireless power transmission capabilities and the potential for operating IoTMDs were demonstrated. In this demonstration, the rectenna’s output was used to power an IoT-based temperature sensor-integrated communication module, showcasing the real-time functionality and capability of the proposed WPT system for wirelessly powering IoTMDs.
Similar content being viewed by others
Introduction
Internet of Things medical devices (IoTMDs) have the potential to significantly improve healthcare services by providing real-time patient monitoring and treatment of various medical conditions1. These devices offer seamless integration, data-driven insights, and remote management, transforming healthcare technology. The limited lifespan of the batteries in these devices often necessitates multiple surgical interventions for battery replacement, which can result in surgical complications, infections, and tissue damage2,3. Addressing this challenge involves two primary solutions: a continuous power supply to the IoTMDs via wireless power transfer (WPT) or surgical battery replacement. WPT is considered a more convenient and less invasive method than surgical procedures for recharging or powering IoTMDs batteries4,5.
Although several techniques have been developed for wirelessly powering IoTMDs, the two most prevalent approaches are near-field coupling and far-field transmission6. Typically, near-field WPT is employed for short-range transmission, particularly for large implants, such as cochlear implants7. However, in this technique, power transfer efficiency (PTE) is extremely vulnerable to several factors, such as the transmitter (\({\text {T}}_{\text {x}}\)) and receiver (\({\text {R}}_{\text {x}}\)) size ratio, \({\text {T}}_{\text {x}}\) and \({\text {R}}_{\text {x}}\) misalignment, and the distance between \({\text {T}}_{\text {x}}\) and \({\text {R}}_{\text {x}}\)8,9. In contrast, far-field transmission, also known as microwave power transmission, transfers energy over longer distances with high misalignment tolerances; however, it suffers from a very low PTE compared with near-field WPT. Alternatively, researchers proposed an electromagnetic (EM) midfield WPT technique to supply power to millimeter-sized deep-tissue implants10. This method enables power transfer over distances comparable to or exceeding the wavelength. In the midfield region (lower gigahertz frequencies), energy is efficiently transmitted through a combination of evanescent near-fields in the air and generated far-fields in tissues11.
Recently, numerous midfield WPT systems have been explored for powering different types of IoTMDs. In12, a WPT system designed for capsule endoscopy was presented, featuring a dual-band antenna, WPT Tx, and a rectifier. The system utilizes one band (1.47 GHz) for WPT and another (915 MHz) for data telemetry. However, the system necessitates the incorporation of a matching layer between the \({\text {T}}_{\text {x}}\) and \({\text {R}}_{\text {x}}\) for improved PTE, leads to increased overall system dimensions and bulkier design. A triple-band rectenna for both WPT and data telemetry was proposed in13. Despite its compact dimensions of 4 \(\times\) 3.5 \(\times\) 0.05 \({\text {mm}}^{\text {3}}\), the study did not include device-level antenna integration or practical performance evaluation. In14, a rectifier-integrated implantable antenna was developed for multitasking biomedical implants, with one frequency assigned to wireless power reception and the other for wireless data transmission. This study employed a near-field plate (NFP) between the \({\text {T}}_{\text {x}}\) and \({\text {R}}_{\text {x}}\) to focus the magnetic field in the desired direction to enhance transmission efficiency. Another midfield (1.470 GHz) WPT system was investigated in15, which described a compact rectenna system with a dual-diode configuration achieving an RF-to-DC conversion efficiency of 60%. In16, a WPT system with an array antenna serving as an external RF transmitter operating at 1.47 GHz was analyzed, achieving a PTE of 0.58%. Similarly,17 developed a dual-band antenna operating at 1.47 GHz for energy harvesting and 2.45 GHz for data transmission. This rectenna, measuring 7.9 \(\times\) 7.7 \({\text {mm}}^{\text {3}}\), exhibited low RF-DC efficiency at a higher input power of 5 dBm. Although the \({\text {T}}_{\text {x}}\) and \({\text {R}}_{\text {x}}\) were compact in size, a matching layer was added between the off-body and in-body antennas to improve power transmission, making the system complex for use in practical scenarios. The antenna was connected to a half-wave rectifier, achieving a maximum RF-to-DC conversion efficiency of 76.1%. However, at low power levels, RF-to-DC converters are significantly less efficient, with a conversion efficiency of only 15.7% at an input power of − 20 dBm18. Most of the aforementioned rectenna systems employ matching layers, NFP, and metamaterials12,14,17,18 to enhance the PTE. However, these components increase the bulk of the overall system, which complicates their effective implementation in practical scenarios.
It is worth mentioning that most of the aforementioned studies used \({\text {T}}_{\text {x}}\) or intermediate structures printed on rigid substrates, making them unsuitable for non-planar and flexible body surfaces. For efficient coupling through the evanescent field, the distance between the source and the body across the active surface must be minimal19. Traditional structures \({\text {T}}_{\text {x}}\) cannot meet these requirements because they are rigid and cannot achieve sub-wavelength spacing20,21. Table 1 compares the performance of the proposed system with the state-of-the-art WPT systems. Compared with previous studies, the proposed system achieves a higher PTE without additional structures, such as matching layers or metamaterials. In particular, the proposed WPT system enabled the batteryless real-time demonstration of IoT-based biotelemetry.
In this study, we introduced a flexible EM WPT structure that can actively and efficiently couple with non-flat body surfaces to power IoTMDs. A conceptual schematic of the proposed system is illustrated in Fig. 1. The specific contributions of this paper are summarized as follows:
-
1.
The WPT system consists of an off-body flexible \({\text {T}}_{\text {x}}\) antenna and a rectifier-integrated flexible \({\text {R}}_{\text {x}}\) antenna operating in the midfield band of 1.5 GHz. The \({\text {R}}_{\text {x}}\) antenna has a small size with a volume of 4.9 mm\(^3\), preferred for safety insurance and integration with other circuitry in miniaturized IoTMDs.
-
2.
The flexible nature of the \({\text {T}}_{\text {x}}\) antenna led to efficient coupling with the implantable \({\text {R}}_{\text {x}}\) antenna and resulted in a high measured transmission coefficient (\({\text {S}}_{\text {21}}\)) of − 22.5 dB corresponding to a PTE of 0.56% at a distance of 51 mm.
-
3.
In the real-time demonstration of IoT-based biotelemetry (Fig. 1), the rectifier output powered a commercially available BLE (Nano 33 BLE) module for wireless temperature sensing, showcasing the proposed WPT system’s efficient wireless power delivery.
-
4.
The system’s effectiveness for IoT-based telehealth communication was evaluated by measuring the Received Signal Strength Indicator (RSSI) at various distances (d).
The remainder of this paper is organized into following sections. “System design methodology” section covers the design and modeling of the \({\text {R}}{\text {x}}\) and \({\text {T}}{\text {x}}\) antennas, along with the simulation and measurement setups. “Results and discussion” section presents a comparison of the simulated and measured results of the proposed WPT system, including the rectifier design, WPT validation, and WPT link budget analysis. “Performance validation with PMU” section IV details the implementation of the proposed WPT system to power an IoT-based communication module using a power management unit (PMU). Finally, “Conclusion” section provides the conclusion.
System design methodology
In-body receiver antenna
The implantable \({\text {R}}_{\text {x}}\) antenna, illustrated in Fig. 2a, comprises a ground plane, substrate, and radiating patch. The antenna had the dimensions of 7 \(\times\) 7 \(\text {mm} ^{2}\). A 50 \(\Omega\) coaxial feed was employed to stimulate the \({\text {R}}_{\text {x}}\) antenna, necessitating the \({\text {R}}_{\text {x}}\) antenna to possess an input impedance of 50 \(\Omega\) to achieve optimal alignment with the rectifier circuitry. A via was used to provide the shortest current path from the ground to the patch of the \({\text {R}}_{\text {x}}\) antenna. The coaxial feed and via had the same radius of 0.3 mm. The \({\text {R}}_{\text {x}}\) antenna was designed using a flexible polyamide material with a thickness of 0.1 mm chosen as a substrate material, possessing a relative permittivity (\(\varepsilon _r\)) of 4.3 and a loss tangent (tan\(\delta\)) of 0.004. This material is flexible and biocompatible with the surrounding human tissues and features a moderate dielectric constant, which is ideal for implantable \({\text {R}}_{\text {x}}\) antenna design22,23. This ensures the safety of body tissues during implantation, with any dimensional or physical alterations not influencing the antenna performance24. Moreover, antennas used in IoTMDs are typically rigid, which can cause an inflammatory response, cellular damage, physical discomfort, and even trigger an immune response. To enhance long-term compatibility, flexible and biocompatible materials are preferred for implantable antennas.
Our proposed system is designed for powering the IoTMDs, such as pacemakers and capsule endoscopes. Therefore, for realization purposes, we created a dummy pacemaker containing the necessary components, mainly the \({\text {R}}_{\text {x}}\) antenna and rectifier circuit. The pacemaker configuration is shown in Fig. 2b. The selected \({\text {R}}_{\text {x}}\) antenna was simulated in different environments, such as homogeneous and Duke models, with dummy pacemakers.
In Fig. 5, we compare the simulated (using HFSS and Sim4Life) and measured reflection coefficients (\({\text {S}}_{\text {11}}\)) of the \({\text {R}}_{\text {x}}\) antenna. Figure 5 shows that the antenna selected to receive the RF signal from the \({\text {T}}_{\text {x}}\) antenna exhibited good agreement in all environments.
Simulation and measurement setup for the proposed WPT system. (a) Homogeneous simulations performed in HFSS with \({\text {T}}_{\text {x}}\) in a flat state. (b) HFSS simulations in a cylindrical phantom with \({\text {T}}_{\text {x}}\) in bent state. (c) Heterogeneous simulations setup in Sim4Life utilizing the Duke model. (d) Fabricated prototypes of the proposed flexible \({\text {T}}_{\text {x}}\) and \({\text {R}}_{\text {x}}\) antennas. (e) Setup for measuring scattering parameters. (f) Validating the performance of scattering parameters during \({\text {T}}_{\text {x}}\) in a bent configuration.
OFF-body transmitter antenna
Our objective was to introduce an off-body (\({\text {T}}_{\text {x}}\)) antenna with flexible properties suitable for nonlinear bodies capable of generating a directional E-field toward the implanted (\({\text {R}}_{\text {x}}\)) antenna. Therefore, a dipole antenna with parasitic loop segments and stubs located within the center of the loop was designed. The \({\text {T}}_{\text {x}}\) antenna was engineered by considering the selected \({\text {R}}_{\text {x}}\) antenna and a phantom having the properties of heart tissue.
The \({\text {T}}_{\text {x}}\) antenna tailored for off-body applications was crafted using Rogers RT/Duroid 5880, with the dimensions of \(\pi \times \text {625} \times \text {0.508}\) \({\text {mm}}^{\text {3}}\). This material is well known for enhancing the gain and transmission efficiency, making it an excellent choice for wearable and space antennas. Figure 3 illustrates the antenna structure and design dimensions in detail and offers a comprehensive view of its construction. The targeted \({\text {T}}_{\text {x}}\) antenna underwent a two-stage process to align its impedance, tune it, and optimize the frequency within the desired band while being situated outside a uniform phantom with a cubic structure in a flat configuration. The design parameters of the proposed \({\text {T}}_{\text {x}}\) are listed in Table 2.
In the first step, two parasitic loop segments (outer and inner rings) were used to match the antenna; however, the desired results were not achieved. Furthermore, identical split arms were positioned at the top and bottom and acted as stub elements for the main radiator. The center arms provide parasitic capacitance, which is essential for achieving and tuning the reflection coefficients (\({\text {S}}_{\text {22}}\)) at a target frequency of 1.5 GHz.
Simulation and measurement setups
The \({\text {T}}_{\text {x}}\) and \({\text {R}}_{\text {x}}\) antennas were designed and simulated using the latest ANSYS Electronics Desktop (HFSS ) version. Initially, both the antennas were designed in homogeneous human phantoms represented the properties of the heart, with a relative permittivity (\(\varepsilon _r\)) of 57.2 and an electrical conductivity of 1.57 S/m. The \({\text {R}}_{\text {x}}\) antenna was positioned internally to analyze the field characteristics. In contrast, the \({\text {T}}_{\text {x}}\) antenna was placed 1 mm away externally from a cubic phantom mimicking the heart with the dimensions of 100 \(\times\) 100 \(\times\) 70 \({\text {mm}}^{\text {3}}\), as depicted in Fig. 4a. To assess the flexibility of the \({\text {T}}_{\text {x}}\) antenna, the cubic skin box was substituted with a cylindrical phantom 100 mm in diameter and 100 mm in height, having the properties of heart tissue (shown in Fig. 4b). The \({\text {T}}_{\text {x}}\) antenna was positioned 1 mm outside the cylindrical phantom. It was bent outside the phantom and simulated to assess its flexibility along the Ox and Oy directions while maintaining its position along the Oz axis and to observe its influence on the necessary parameters between the \({\text {T}}_{\text {x}}\) and \({\text {R}}_{\text {x}}\) antennas. The implanted antenna was placed 50 mm deep inside the phantom in both cases (cubic and cylindrical phantoms).
Later on, the proposed antennas for WPT system were simulated in Sim4Life to actualize the concept using a Duke model, as shown in Fig. 4c. The Duke model was 34 years old, weighing 70.2 kilograms with a body mass index of 22.4 kg/\(\text {mm}^{2}\), and standing at a height of 1.77 m25. It comprises over 300 organs and tissues26. The Duke model is extensively employed in medical engineering to assess performance in real-world environments27. For performance validation, various parameters, including the maximum input power, specific absorption rate (SAR), and reflection (\({\text {S}}_{\text {11}}\), \({\text {S}}_{\text {22}}\)) and transmission (\({\text {S}}_{\text {21}}\)) coefficients, were analyzed using the finite element method in HFSS and the finite-difference time-domain method in Sim4Life.
Following the simulation in HFSS and Sim4Life, the \({\text {T}}_{\text {x}}\) and \({\text {R}}_{\text {x}}\) antennas were fabricated using Rogers 5880 materials and polyamide, respectively, employing the LPKF U4 laser machine. The fabricated prototypes are shown in Fig. 4d. For measurement analysis, two scenarios were considered to validate the performance of the \({\text {T}}_{\text {x}}\) antenna. In the first case, a box was filled with saline solution for the flat case of the \({\text {T}}_{\text {x}}\) antenna (Fig. 4e), and for flexibility analysis, the \({\text {T}}_{\text {x}}\) antenna was placed 1 mm away from the circular glass (Fig. 4f). The \({\text {T}}_{\text {x}}\) antenna was connected via an SMA connector. Similarly, the \({\text {R}}_{\text {x}}\) antenna prototype was positioned 50 mm deep inside the saline solution, connected via a 50 \(\Omega\) coaxial feed SMA connector. This setup was utilized to analyze the scattering parameters (\({\text {S}}_{\text {11}}\), \({\text {S}}_{\text {22}}\), and \({\text {S}}_{\text {21}}\)) to validate the adaptability of \({\text {R}}_{\text {x}}\) and flexibility of the \({\text {T}}_{\text {x}}\).
Results and discussion
Simulated and measured results of the \({\text {R}}_{\text {x}}\)
The simulated results from HFSS and Sim4Life were compared with the experimental findings for the suggested implanted \({\text {R}}_{\text {x}}\) antenna. The \({\text {R}}_{\text {x}}\) antenna is placed 50 mm deep inside the saline solution. The reflection coefficient (\({\text {S}}_{\text {11}}\)) of the \({\text {R}}_{\text {x}}\) antenna was evaluated in a saline solution, as shown in Fig. 5a. The \({\text {R}}_{\text {x}}\) antenna exhibited substantial agreement between the simulated (both with and without a pacemaker) and measured \({\text {S}}_{\text {11}}\).
When integrated into a lossy medium like human body tissues, an implantable antenna experiences significant efficiency reduction due to strong coupling and absorption within the biological tissue. Antennas placed inside the body usually have an efficiency of about 1 % or even lower, influenced by the type of tissue and the depth at which they are placed28. Figure 5b presents the radiation and total efficiency of \({\text {R}}_{\text {x}}\) antenna across the target frequency band of 1.5 GHz. As shown in Fig. 5b, the radiation efficiency is -18.18 dB, while the total efficiency is slightly lower at − 18.43 dB. This − 0.25 dB reduction in total efficiency is attributed to additional losses.
Simulated and measured results of the \(\text {T}_{\text {x}}\)
Similarly, the simulated results of the (\(\text {T}_{\text {x}}\)) were compared with the experimental findings. In Fig. 6a, a comparison of \(\text {S}_{\text {22}}\) values for the off-body \(\text {T}_{\text {x}}\) antenna is depicted across the flat and bent states, along with the measured data. Unlike the \(\text {R}_{\text {x}}\) antenna, the proposed \(\text {T}_{\text {x}}\) antenna is placed 1 mm away from the saline solution (both flat and bent states), and the \(\text {T}_{\text {x}}\) antenna exhibits inherent flexibility, enabling seamless placement on curved surfaces while maintaining its performance integrity. Similarly, the \(\text {S}_{\text {21}}\) parameter between \(\text {T}_{\text {x}}\) and \(\text {R}_{\text {x}}\) was consistent in both the simulated and measured scenarios (Fig. 6b). Notably, this flexibility remains consistent in both simulated and real-world environments, underscoring the suitability of the proposed antenna for integration into WPT systems.
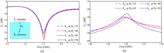
Effect of implant depth (\(\text {D}_{\text {s}}\)) on S-parameters
Differences in body characteristics, such as size, shape, and anatomical features, are pivotal in the successful implantation of pacemakers29. Notably, obese individuals may face challenges owing to the thicker layers of fatty tissue surrounding the chest wall. These factors complicate pacemaker placement and pose technical difficulties. Typically, the depth of pacemaker implantation ranges from 2 to 5 cm to accommodate varying body morphologies30,31. An evaluation was conducted using the S-parameters to ensure the optimal depth for pacemaker implantation. This assessment involved adjusting the depth of the \({\text {R}}_{\text {x}}\) while keeping the \({\text {T}}_{\text {x}}\) fixed. The analysis included varying the depth of the \({\text {R}}_{\text {x}}\) antenna from 35 to 50 mm, as illustrated in Fig. 7.
The selected \({\text {R}}_{\text {x}}\) antenna has a broadened bandwidth of 130 MHz, offering advantages in capturing the RF signals transmitted by the \({\text {T}}_{\text {x}}\) antenna. In addition, to assess the antenna’s performance under variations in the implantation position, simulations were conducted at different depths ranging from 35 to 50 mm with a step size of 5 mm. The influence of the depth variation on the reflection coefficient (\({\text {S}}_{\text {11}}\)) of the \({\text {R}}_{\text {x}}\) antenna is shown in Fig. 7a. As shown, changes in the implantation depth (\({\text {D}}_{\text {s}}\)) had a negligible effect on the \({\text {S}}_{\text {11}}\) of the \({\text {R}}_{\text {x}}\) antenna. Consequently, the proposed \({\text {R}}_{\text {x}}\) antenna was selected to verify the effectiveness of the flexible \({\text {T}}_{\text {x}}\) antenna for WPT.
Across the bandwidth of the \({\text {R}}_{\text {x}}\) antenna, \({\text {S}}_{\text {21}}\) values were consistently within the expected range. When the distance (\({\text {D}}_{\text {s}}\)) between the two antennas was altered, there was a slight fluctuation in \({\text {S}}_{\text {21}}\) around the center frequency of 1.5 GHz at \({\text {D}}_{\text {s}}\)=35 and 45 mm (Fig. 7b). However, this variation is negligible and is easily accommodated owing to the wider bandwidth of the \({\text {R}}_{\text {x}}\) antenna. Notably, at \({\text {D}}_{\text {s}}\)=40 mm and 50 mm, \({\text {S}}_{\text {21}}\) aligned precisely with the center frequency. The system demonstrates an enhancement in \({\text {S}}_{\text {21}}\), improving from -27 to -22.5 dB when the \({\text {T}}_{\text {x}}\) antenna is bent as shown in Fig. 6b. Despite this improvement, the \({\text {T}}_{\text {x}}\) antenna consistently yielded satisfactory results across all the depths of the \({\text {R}}_{\text {x}}\) antenna, accompanied by an enhanced PTE.
Our proposed WPT system emphasizes maximizing power transmission to the implanted device and is particularly designed for body shapes with different morphologies. However, the directional radiation pattern plays a vital role in transmitting RF signals toward the implanted device32. Hence, the performance of \({\text {T}}_{\text {x}}\) antennas needs to be assessed across various scenarios in terms of radiation patterns. The radiation patterns of the \({\text {T}}_{\text {x}}\) and \({\text {R}}_{\text {x}}\) antennas are shown in Fig. 8. As depicted in Fig. 8b, the E- and H-field radiation of the \({\text {T}}_{\text {x}}\) antenna exhibited a bidirectional-like pattern in both the HFSS and Sim4Life simulations. However, when the \({\text {T}}_{\text {x}}\) antenna was bent over the body surface, it adopted an almost directional radiation pattern. This directional characteristic is advantageous in achieving the maximum PTE, as the \({\text {T}}_{\text {x}}\) antenna efficiently directs RF signals toward the implanted \({\text {R}}_{\text {x}}\) antenna.
The radiation pattern of the proposed \({\text {R}}_{\text {x}}\) antenna was measured in an anechoic chamber using a network analyzer and a reference horn antenna, as illustrated in Fig. 8a. To set up the chamber, the proposed \({\text {R}}_{\text {x}}\) antenna was placed inside a cubic container filled with minced pork, mounted on a rotating stage, and connected to the network analyzer. Figure 8c compares the simulated and measured radiation patterns of the proposed \({\text {R}}_{\text {x}}\) antenna in homogeneous and heterogeneous environments for both E and H planes. The simulated and measured peak gain values are -25 dBi and -22 dBi, respectively. As evident from Fig. 8c, the proposed \({\text {R}}_{\text {x}}\) antenna exhibits omnidirectional behavior, with maximum radiation observed outside the body phantom. This characteristic is essential for the \({\text {R}}_{\text {x}}\) antenna to effectively communicate and capture RF signals from the off-body \({\text {T}}_{\text {x}}\) antenna.
Current distribution and influence of rectangular stubs on \({\text {T}}_{\text {x}}\) antenna performance. (a) \({\text {T}}_{\text {x}}\) surface current distribution. (b) Reflection coefficients (\({\text {S}}_{\text {22}}\)) of the \({\text {T}}_{\text {x}}\). (c) \({\text {S}}_{\text {21}}\) between \({\text {T}}_{\text {x}}\) and \({\text {R}}_{\text {x}}\).
Current and field distribution
Achieving optimal field-focusing characteristics for deep-tissue implantation requires precise current distribution conditions33. It has been described in32 that directing the field toward the \({\text {R}}_{\text {x}}\) antenna is achievable by satisfying certain conditions, including an antisymmetric current density and a dominant current density capable of alternating its direction.
Figure 9a shows the current distribution on the main radiator of the \({\text {T}}_{\text {x}}\) antenna, with the excitation port located on the bottom side of the radiator. Notably, the outer and inner rings of the patch exhibited lower currents when they were devoid of stubs. The inner rectangular stubs positioned at the top and bottom served a directional function, enhancing the current distribution. The current flowed inward and outward on both the inner and outer rings because of mutual coupling with the stubs, and the current changed direction as it reached the center of the rings. The distribution of the E-field toward the targeted area was determined by the dominance of the right-hand rules. Consequently, the current on the \({\text {T}}_{\text {x}}\) radiator aided in providing the maximum E-field toward the \({\text {R}}_{\text {x}}\) antenna positioned inside the tissues. Figure 9b shows that, without the stubs, the antenna resonated at 1.2 GHz with an \({\text {S}}_{\text {22}}\) of approximately -17 dB peak value. Similarly, the transmission coefficient between the \({\text {T}}_{\text {x}}\) and \({\text {R}}_{\text {x}}\) was achieved at \({\text {S}}_{\text {21}}\) \(\approx\)-35 dB. Conversely, with the inclusion of internal rectangular stubs, the \({\text {T}}_{\text {x}}\) antenna operated effectively with \({\text {S}}_{\text {22}}\) achieved at the operational resonance frequency of 1.5 GHz, whereas resonance remained at \(\approx\)-17 dB. In addition to achieving the required resonance, the \({\text {S}}_{\text {21}}\) improved from -35 to \(\approx\) -27 dB as shown in Figs. 6b and 9c. This improvement in \({\text {S}}_{\text {21}}\) enhanced the PTE of the deeply implanted \({\text {R}}_{\text {x}}\) antenna.
Current and field distribution of the proposed \({\text {T}}_{\text {x}}\) and \({\text {R}}_{\text {x}}\) antenna at its resonant frequency of 1.5 GHz. (a) Behavior of the current distribution on ground and patch of the \({\text {R}}_{\text {x}}\) antenna. (b) Field distribution when \({\text {T}}_{\text {x}}\) antenna in flat and bent states. (c) Field focusing efficiency of \({\text {T}}_{\text {x}}\) antenna in the flat and bent states. (d) Impact on \({\text {S}}_{\text {21}}\) when \({\text {T}}_{\text {x}}\) in flat and bent states.
The current distribution behavior of the proposed \({\text {R}}_{\text {x}}\) antenna is shown in Fig. 10a. As illustrated in Fig. 10a, the current on the patch radiator flows in various directions, changing at the lower arm of the radiator. This behavior corresponds to the half-wavelength mono-pole mode. Similarly, the current distribution on the ground plane of the \({\text {R}}_{\text {x}}\) antenna also changes direction at the via point, which is characteristic of mono-pole mode behavior (Fig. 10a). Figure 10a demonstrates that a larger area of both the patch radiator and ground plane is resonating, with the current direction shifting across these components. This indicates a direct relationship between the resonating areas and an effective overall resonating surface.
Figure 3 illustrates the flexible nature of the antenna in terms of the field-focusing properties relevant to deeply implanted medical devices. The \({\text {T}}_{\text {x}}\) antenna was depicted in both flat and bent configurations for comparison purposes and was positioned approximately 1 mm above the surface of a human phantom. Figure 10b show the normalized H-field distribution to the \({\text {R}}_{\text {x}}\) antenna for flat and bent shapes, respectively. In the bent configuration, the \({\text {T}}_{\text {x}}\) antenna exhibited a directed and intensified field distribution toward the \({\text {R}}_{\text {x}}\) antenna compared with the flat \({\text {T}}_{\text {x}}\) configuration. The field was plotted alongside a dashed line located 10 mm deep within the phantom to elucidate the field-focus characteristics further, as shown in Fig. 10b,c. This representation indicates that the flexible form of the \({\text {T}}_{\text {x}}\) antenna results in a focused and confined field directed toward the \({\text {R}}_{\text {x}}\) antenna by fulfilling the current distribution condition described in32. In addition, the scattering parameters (\({\text {S}}_{\text {22}}\), \({\text {S}}_{\text {21}}\)) were evaluated for both the flat and bent configurations of the \({\text {T}}_{\text {x}}\) antenna (refer to Figs. 4e,f and 6). Bending the \({\text {T}}_{\text {x}}\) antenna yields a favorable performance, aligning well with the center frequency (midfield band 1.5 GHz) with the \({\text {S}}_{\text {22}}\) below -10 dB. Moreover, in the bent state, the \({\text {S}}_{\text {21}}\) demonstrates a notable improvement of 5.5 dB (from -27 to -22.5 dB) at \({\text {D}}_{\text {s}}\)=50 mm. When the \({\text {R}}_{\text {x}}\) antenna is deeply implanted, the WPT system performs efficiently regardless of the state of the \({\text {T}}_{\text {x}}\) antenna. In addition, the overall PTE of the system was enhanced when the \({\text {T}}_{\text {x}}\) antenna was bent, as illustrated in Fig. 10b–d. With a chosen \({\text {R}}_{\text {x}}\) antenna, the proposed WPT system demonstrated effective operation for deep implants when the separation distance between the \({\text {T}}_{\text {x}}\) and \({\text {R}}_{\text {x}}\) antennas ranged from 35 to 50 mm.
SAR analysis
Furthermore, human body tissues are sensitive to electromagnetic waves, necessitating careful safety considerations when implementing implantable antennas. Specifically, studying the specific absorption rate (SAR) is essential for designing these antennas to ensure safety. According to the IEEE safety standard, the SAR should not surpass 1.6 and 2 W/kg for 1 and 10 g of body tissue, respectively28. To ensure safety, the SAR analysis of the wholes WPT (\({\text {T}}_{\text {x}}\) and \({\text {R}}_{\text {x}}\) antennas) system was conducted using the Duke model in Sim4Life, as illustrated in Fig. 11a,b. The \({\text {T}}_{\text {x}}\) antenna was positioned 1 mm above the human chest, and the WPT \({\text {T}}_{\text {x}}\) was activated with an input power of 1 watt. The peak SAR values for the WPT \({\text {T}}_{\text {x}}\) averaged over 1 g and 10 g of tissue, were 1.52 W/kg and 1.14 W/kg, respectively. The normalized 1-g/10-g SAR distributions for the WPT \({\text {T}}_{\text {x}}\) are shown in Fig. 11a.
Similarly, the implantable antenna was placed inside the human body and functioned as the \({\text {R}}_{\text {x}}\) antenna to receive RF signals from the \({\text {T}}_{\text {x}}\) antenna. The SAR values for the \({\text {R}}_{\text {x}}\) antenna were calculated to be 766 W/kg for 1 g of tissue and 85 W/kg for 10 g of tissue, as shown in Fig. 11b. These calculations were based on an input power of 1 W to the \({\text {R}}_{\text {x}}\) antenna. The maximum input power at the operating frequency (1.5 GHz) should not exceed 2.09 mW for 1 g of tissue and 23.52 mW for 10 g of tissue. However, this input power does not exceed the constrained power of 25 \(\mu\)W specified for implanted antennas. Based on these calculations, the SAR value adheres to IEEE regulations, indicating that the designed implantable \({\text {R}}_{\text {x}}\) antenna is suitable for WPT.
Two-stage rectifier circuit design
A two-stage rectifier was developed to convert RF signals to DC in the WPT situated within the pacemaker. It was designed using polyamide material, aligned with the antenna material for precise positioning, with the dimensions of 5 \(\times\) 10 \(\times\) 0.1 (5 \(\text {mm}^{3}\)). The rectifier was designed using Advanced Design Software (ADS) and fabricated on a polyamide material using a U4 Laser machine. A schematic of the fabricated rectifier prototype is shown in Fig. 12a. In Fig. 12b, the maximum output voltage is depicted as 3.8 V, and the conversion efficiency is 80 (\(\eta\)%). Specifically, the SMS-7630 diode converts the RF signals into DC power. This diode is recognized for its high-frequency adaptability and low turn-on and junction voltage characteristics34.
The RF power-conversion circuit consists of two distinct circuits: an impedance-matching circuit and a two-stage rectifier. The detailed values of the components utilized in designing these circuits are listed in Table 3. This setup incorporates an inductor and a capacitor in the impedance-matching circuit to harmonize the input and output impedances. In addition, the design employs two single-stage Dickson voltage doublers in the rectifier to achieve the required output voltage.
In the simulations, we carefully determined the key parameters of the diode by referring to the technical data sheet, configuring the load resistance (\({\text {R}}_{\text {L}}\)) to 15 \(\Omega\), setting the biasing voltage (\({\text {B}}_{\text {v}}\)) as 2 V and the capacitance (\({\text {C}}_{\text {f}}\)) as \(0.18\,\textrm{pF}\). Additionally, we utilized both the harmonic balance and large-scale S-parameters techniques to ensure impedance matching between the \({\text {R}}_{\text {x}}\) antenna and rectifier circuitry while maximizing conversion efficiency (\(\eta\)). The efficiency (\(\eta\)) of the rectenna system was determined using the following equation:
Here, \({\text {Z}}_{\text {in}}\) signifies the input impedance of the rectifier, and \({\text {Z}}_{\text {o}}\) represents the reference impedance set at 50 \(\Omega\).
Link budget analysis between \({\text {T}}_{\text {x}}\) and \({\text {R}}_{\text {x}}\)
A link-budget analysis was performed for WPT to evaluate the reliability of the mid-field WPT link between the two (\({\text {T}}_{\text {x}}\) and \({\text {R}}_{\text {x}}\)) antennas. This analysis required calculating the link budget by considering various parameters related to the properties of both the \({\text {T}}_{\text {x}}\) and \({\text {R}}_{\text {x}}\) antennas. The characteristics of the antennas in the body \({\text {T}}_{\text {x}}\) and \({\text {R}}_{\text {x}}\), along with the WPT link between them, are detailed in Table 4. The \({\text {P}}_{\text {r}}\) at the \({\text {R}}_{\text {x}}\) antenna at various distances was validated using the Friis transmission equation, as shown below:
In this context, the received power (\({\text {P}}_{\text {r}}\)) is determined by the transmitted power (\({\text {P}}_{\text {t}}\)), the gain of the \({\text {T}}_{\text {x}}\) (\({\text {G}}_{\text {t}}\)), the gain of the \({\text {R}}_{\text {x}}\) (\({\text {G}}_{\text {r}}\)), and the total losses (\({\text {L}}_{\text {t}}\)) between the \({\text {T}}_{\text {x}}\) and \({\text {R}}_{\text {x}}\) antennas. The total losses are comprised of path loss (\({\text {L}}_{\text {p}}\)), feeding loss (\({\text {L}}_{\text {f}}\)), polarization mismatch loss (\({\text {L}}_{\text {m}}\)), and cable losses (\({\text {L}}_{\text {cable}}\)).
Figure 13a illustrates the experimental setup for the analysis of the WPT link budget. The \({\text {T}}_{\text {x}}\) antenna was placed 1 mm from the right wall of the saline filled phantom, while the \({\text {R}}_{\text {x}}\) antenna was placed inside the saline solution. The \({\text {R}}_{\text {x}}\) antenna was attached to a slider mounted on a rail, allowing the adjustment of the distance between the \({\text {T}}_{\text {x}}\) and \({\text {R}}_{\text {x}}\) antennas. To verify the link, the \({\text {T}}_{\text {x}}\) antenna in the flat state was driven by a signal generator connected through an amplifier. It transmitted 30 dBm (1 watt) of power to the \({\text {R}}_{\text {x}}\) antenna, and the received power (\({\text {P}}_{\text {r}}\)) was measured using a spectrum analyzer. Figure 13b presents both the calculated and measured \({\text {P}}_{\text {r}}\) at various distances. Additionally, \({\text {P}}_{\text {r}}\) was analyzed for the \({\text {T}}_{\text {x}}\) antenna in the bent state and compared with the flat state, as shown in Fig. 13c. The results indicate that bending the \({\text {T}}_{\text {x}}\) improves power reception at the \({\text {R}}_{\text {x}}\) due to a more focused and directional beam. Moreover, in real-world applications, the \({\text {T}}_{\text {x}}\) antenna in WPT systems is mounted on the human body, and its position may vary due to natural body movements, which may influence the received power at the \({\text {R}}_{\text {x}}\). To consider this scenario, we analyzed variations in the \({\text {T}}_{\text {x}}\) orientation by tilting the \({\text {T}}_{\text {x}}\) antenna along the O \({\text {x}}\) and O \({\text {y}}\) axes from \(0^{\circ }\) to \({15}^{\circ }\), while keeping its position fixed along the O \({\text {z}}\) axis, simulating typical body movements. In this scenario, the \({\text {R}}_{\text {x}}\) antenna remains static, and experiments were conducted by maintaining a fixed distance of 5 cm between the \({\text {T}}_{\text {x}}\) and \({\text {R}}_{\text {x}}\) antennas. Figure 13d shows adequate power at \({\text {R}}_{\text {x}}\), indicating that, under normal body movements, the \({\text {T}}_{\text {x}}\) antenna can reliably provide consistent power. Overall, the findings suggest that the proposed WPT system can maintain efficient operation in both flat and bent states of the \({\text {T}}_{\text {x}}\) antenna, as well as under natural body movements, demonstrating its suitability for enabling wireless power functionality in IoTMDs.
(a) Experimental setup for link budget analysis. (b) \({\text {P}}_{\text {r}}\) at varying distances between the proposed \({\text {T}}_{\text {x}}\) and \({\text {R}}_{\text {x}}\) antennas. (c) \({\text {P}}_{\text {r}}\) at the \({\text {R}}_{\text {x}}\) antenna for varying distances, considering both the flat and bent states of the \({\text {T}}_{\text {x}}\) antenna. (d) \({\text {P}}_{\text {r}}\) at the \({\text {R}}_{\text {x}}\) antenna for different azimuth and zenith angles of the \({\text {T}}_{\text {x}}\) antenna.
WPT validation
We established the measurement setup shown in Fig. 14a to verify the performance of the rectifier and validate the simulated results. The \({\text {R}}_{\text {x}}\) antenna and the designed rectifier were positioned 50 mm deep within the minced pork, whereas the \({\text {T}}_{\text {x}}\) antenna was located just 1 mm beyond the perimeter of the cubic box. A boosted RF signal generated at 1.5 GHz by the RF signal generator was delivered to the designed flexible \({\text {T}}_{\text {x}}\) antenna via a power amplifier. Following the conversion of the RF signal to a DC signal via the rectifier, the process was overseen through the utilization of a digital multi-meter (DMM), which was linked across the load resistance of 15 k\(\Omega\). Figure 12b shows the measured DC voltage output and RF-to-DC conversion efficiency. These measurements were performed using a DMM to measure the voltage across the load resistor while applying a specific input power level. The measured output voltage was observed to be 3.172 V at an input power of 0 dBm, and the corresponding conversion efficiency of the rectifier was \(\approx\)78%. The measured outcomes aligned closely with the simulated results of the rectifier, demonstrating the reliability and precision of the designed WPT system.
Measurement setup. (a) Validation of the rectifier performance. (b) Top views of the PMU circuit board. (c) BLE module for wireless temperature sensing. (d) Connection of the PMU and BLE module with the proposed rectenna system. (e) Experimental setup for measuring the temperature inside minced pork. (f) Setup for measuring the RSSI.
Performance validation with PMU
The proposed flexible WPT system was validated by integrating it with communication modules, as illustrated in Fig. 14e,f. However, the voltage received at the output load resistance of the rectifier proved to be unstable and was characterized by ripples, which rendered it unsuitable for powering electronic or storage devices, such as batteries and sensors. Hence, a PMU is essential to safely deliver DC output to electronic components or batteries in medical devices. In this study, we chose a BQ25570 PMIC module manufactured by Texas Instruments. This choice aligns perfectly with our needs, as it contains nano-power management capabilities and demands minimal starting currents and voltages of approximately 330 nA and 330 mV, respectively35,36. The PMU comprises two energy-harvesting modules: one for the power-management integrated circuit (PMIC) and the other for battery-free applications, utilizing a cap charger as a boost converter37. In addition, it can boost a low voltage (0.1 mV) to an output ranging from 2 to 5.5 V38. It enables efficient power extraction for multiple purposes, including charging batteries and powering various communication modules, such as Bluetooth Low Energy (BLE) devices, Arduino, and sensors. In addition, we used a commercially available BLE (Nano 33 BLE) module designed by Arduino to sense temperature and transmit data wirelessly. Finally, the signal strength of the WPT system was measured using the RSSI at various distances (d) from the system.
Temperature sensor validation
Rigorous testing using a PMU to power the electronic components is essential to validate the performance of the proposed WPT system, with the measurement setup illustrated in Fig. 14b–f. Specifically, Fig. 14b and c provide detailed top-view illustrations of the PMU circuit board and the BLE module, respectively, including the temperature sensor. Meanwhile, Fig. 14d shows the proposed rectenna connected to the PMU module, which powers the BLE module.
For testing, the \({\text {T}}_{\text {x}}\) antenna was mounted on the wall of a container filled with minced pork and excited by a signal generator through a power amplifier at an operating frequency of 1.5 GHz. The complete rectenna setup, including the PMU and BLE module, was placed 50 mm deep inside the minced pork, as shown in Fig. 14e. Once the proposed flexible \({\text {T}}_{\text {x}}\) antenna is activated, the system requires approximately 2 minutes to accumulate sufficient power to operate the wireless sensor, after which continuous monitoring resumes. As shown in Fig. 15a, the system continuously monitors the temperature of the minced pork over a period of approximately 2 hours (7200 s). As depicted in the figure, the temperature rises during the first 3-4 minutes and then stabilizes, reflecting the steady-state conditions of the in vitro environment. This demonstration confirms that the proposed WPT system is capable of supporting the long-term operation of IoTMDs.
Received signal strength indicator
In wireless communication, the RSSI quantifies the power level of the received signal. It serves as a key metric for estimating distance and evaluating the quality of the communication link, though environmental factors may introduce variations39. The RSSI measurement setup is illustrated in Fig. 14f. These measurements reflect the strength of the received signal at different distances, as shown in Fig. 15b. The RSSI was recorded at various distances between the transmitter and receiver, yielding values of − 47 dBm at 25 cm, − 63 dBm at 35 cm, and − 79 dBm at 50 cm. These results demonstrate that the proposed flexible WPT system is stable and capable of powering IoTMDs for telehealth monitoring.
Although the proposed system demonstrates significant promise in real-time functionality and the ability to wirelessly power IoTMDs, it is important to acknowledge the study’s limitations. The minced pork was selected as the medium to house the receiver antenna and rectifier circuit because its dielectric properties are comparable to those of human muscle tissue, making it an effective phantom material for simulating human tissue. However, it is important to note that there are inherent differences between using minced pork and an actual biological organism, particularly in a living state. For example, in a living organism, tissues are dynamic, with varying water content, temperature fluctuations, and blood flow, all of which influence dielectric properties in a way that minced pork, which is a static model, does not replicate. Additionally, the more homogeneous structure of minced pork contrasts with the heterogeneous nature of living tissue, where different regions may have distinct properties due to muscle, fat, and other tissue types. These differences may affect the performance of the system. Therefore, while minced pork offers a reliable proxy for evaluating antenna performance, these discrepancies should be considered when translating experimental results to the biological organism in real-world scenarios. Moreover, the study is limited to only the temperature sensor due to its in vitro nature, as testing in a living organism is required for incorporating more complex sensors. Other sensors, such as blood pressure sensors or heart movement (beat) sensors, could be integrated if the study were conducted in vivo, where a wider range of physiological parameters could be monitored.
Conclusion
In this paper, an improved WPT system featuring a flexible \({\text {R}}_{\text {x}}\) antenna integrated with a rectifier and a flexible \({\text {T}}_{\text {x}}\) antenna is presented. Operating at a midfield frequency of 1.5 GHz, the flexible and conformal nature of the \({\text {T}}_{\text {x}}\) antenna not only enhances the field focusing on the \({\text {R}}_{\text {x}}\) antenna but also improves comfort and coupling on non-planar body surfaces. Extensive simulations and measurements were performed to validate the functionality and versatility of the proposed system. The performance of the system was validated in a saline solution without the use of any intermediate structure, with \({\text {T}}_{\text {x}}\) in flat and bent states. A comprehensive safety analysis was performed to confirm that the system adhered to international safety standards. A compact rectenna with a flexible nature was designed, and its performance was validated using minced pork. Moreover, the real-time WPT capability and the potential to operate IoTMDs were demonstrated, where the output of the rectifier was provided to a PMU that powers an IoT communication module and a temperature sensor. Real-time WPT-enabled telemetry demonstrates the effectiveness and functionality of the proposed WPT system for driving IoTMDs wirelessly. This study concludes that the proposed WPT system provides power transfer capabilities for IoTMDs and can be used to power electronic modules within medical devices.
Data availability
The data that support the findings of this study are available from the corresponding author upon reasonable request.
References
Singh, M. S. et al. Design and analysis of compact dual-band antenna system for scalp and skin implantation. Prog. Electromagn. Res. C 125, 1–13. https://doi.org/10.2528/PIERC22081203 (2022).
Yan, X., Yao, J., Chen, W. & Song, Y. Wireless power transfer system for cardiac pacemakers based on multi-coil series magnetic integration. Prog. Electromagn. Res. C 143, 87–98. https://doi.org/10.2528/PIERC24031301 (2024).
Shah, S. A. A. & Yoo, H. Radiative near-field wireless power transfer to scalp-implantable biotelemetric device. IEEE Trans. Microw. Theory Tech. 68, 2944–2953. https://doi.org/10.1109/TMTT.2020.2985356 (2020).
Tian, X., Chau, K. T., Liu, W., Pang, H. & Lee, C. H. T. Maximum power tracking for magnetic field editing-based omnidirectional wireless power transfer. IEEE Trans. Power Electron. 37, 12901–12912. https://doi.org/10.1109/TPEL.2022.3178097 (2022).
Soontornpipit, P., Furse, C. & Chung, Y. C. Design of implantable microstrip antenna for communication with medical implants. IEEE Trans. Microw. Theory Tech. 52, 1944–1951. https://doi.org/10.1109/TMTT.2004.831976 (2004).
Liu, C., Guo, Y.-X., Sun, H. & Xiao, S. Design and safety considerations of an implantable rectenna for far-field wireless power transfer. IEEE Trans. Antennas Propag. 62, 5798–5806. https://doi.org/10.1109/TAP.2014.2352363 (2014).
Haerinia, M. & Shadid, R. Wireless power transfer approaches for medical implants: A review. Signals 1, 209–229 (2020).
Kim, H.-J. et al. Review of near-field wireless power and communication for biomedical applications. IEEE Access 5, 21264–21285. https://doi.org/10.1109/ACCESS.2017.2757267 (2017).
Kim, S. H. et al. Strain-invariant stretchable radio-frequency electronics. Nature 629, 1047–1054. https://doi.org/10.1109/TAP.2014.2352363 (2024).
Zhang, J. et al. A compact dual-band implantable antenna for wireless biotelemetry in arteriovenous grafts. IEEE Trans. Antennas Propag. 71, 4759–4771. https://doi.org/10.1109/TAP.2023.3266786 (2023).
Jiang, X. et al. Efficient and compact dual-band wireless power transfer system through biological tissues using dual-reference dgs resonators. In 2021 IEEE MTT-S International Microwave Symposium (IMS), 54–57 https://doi.org/10.1109/IMS19712.2021.9574938 (2021).
Iqbal, A. et al. Biotelemetry and wireless powering of biomedical implants using a rectifier integrated self-diplexing implantable antenna. IEEE Trans. Microw. Theory Tech. 69, 3438–3451. https://doi.org/10.1109/TMTT.2021.3065560 (2021).
Shah, S. A. A., Shah, I. A., Hayat, S. & Yoo, H. Ultra-miniaturized implantable antenna enabling multiband operation for diverse industrial IoMT devices. IEEE Trans. Antennas Propag. 72, 1352–1362. https://doi.org/10.1109/TAP.2024.3349782 (2024).
Das, R. & Yoo, H. A multiband antenna associating wireless monitoring and nonleaky wireless power transfer system for biomedical implants. IEEE Trans. Microw. Theory Tech. 65, 2485–2495. https://doi.org/10.1109/TMTT.2017.2647945 (2017).
Xu, C., Fan, Y. & Liu, X. A circularly polarized implantable rectenna for microwave wireless power transfer. Micromachines 13, 121. https://doi.org/10.3390/mi13010121 (2022).
Das, R. & Yoo, H. Biotelemetry and wireless powering for leadless pacemaker systems. IEEE Microwave Wirel. Compon. Lett. 25, 262–264. https://doi.org/10.1109/LMWC.2015.2400920 (2015).
Basir, A. & Yoo, H. Efficient wireless power transfer system with a miniaturized quad-band implantable antenna for deep-body multitasking implants. IEEE Trans. Microw. Theory Tech. 68, 1943–1953. https://doi.org/10.1109/TMTT.2020.2965938 (2020).
Iqbal, A., Al-Hasan, M., Mabrouk, I. B. & Denidni, T. A. Wireless powering and telemetry of deep-body ingestible bioelectronic capsule. IEEE Trans. Antennas Propag. 70, 9819–9830. https://doi.org/10.1109/TAP.2022.3184549 (2022).
Asif, S. M. et al. A novel RF-powered wireless pacing via a rectenna-based pacemaker and a wearable transmit-antenna array. IEEE Access 7, 1139–1148. https://doi.org/10.1109/ACCESS.2018.2885620 (2019).
Wang, J. et al. A 403 MHz wireless power transfer system with tuned split-ring loops for implantable medical devices. IEEE Trans. Antennas Propag. 70, 1355–1366. https://doi.org/10.1109/TAP.2021.3111520 (2022).
Sardini, E., Serpelloni, M. & Lancini, M. Wireless instrumented crutches for force and movement measurements for gait monitoring. IEEE Trans. Instrum. Meas. 64, 3369–3379. https://doi.org/10.1109/TIM.2015.2465751 (2015).
Ma, A. & Poon, A. S. Midfield wireless power transfer for bioelectronics. IEEE Circuits Syst. Mag. 15, 54–60. https://doi.org/10.1109/MCAS.2015.2418999 (2015).
Ahlawat, S. et al. Design and performance measurement of implantable differential integrated antenna for wireless biomedical instrumentation applications. IEEE Trans. Instrum. Meas. 71, 1–10. https://doi.org/10.1109/TIM.2022.3185622 (2022).
Kiourti, A., Christopoulou, M. & Nikita, K. S. Performance of a novel miniature antenna implanted in the human head for wireless biotelemetry. In 2011 IEEE International Symposium on Antennas and Propagation (APSURSI), 392–395, https://doi.org/10.1109/APS.2011.5996726 (2011).
Chien, T.-F., Cheng, C.-M., Yang, H.-C., Jiang, J.-W. & Luo, C.-H. Development of nonsuperstrate implantable low-profile CPW-fed ceramic antennas. IEEE Antennas Wirel. Propag. Lett. 9, 599–602. https://doi.org/10.1109/LAWP.2010.2053342 (2010).
Le-Huu, H. & Seo, C. Bipolar spiral midfield wireless power transfer for cardiac implants application. IEEE Antennas Wirel. Propag. Lett. 20, 1631–1635. https://doi.org/10.1109/LAWP.2021.3092011 (2021).
Bao, Z., Guo, Y.-X. & Mittra, R. Single-layer dual-/tri-band inverted-f antennas for conformal capsule type of applications. IEEE Trans. Antennas Propag. 65, 7257–7265. https://doi.org/10.1109/TAP.2017.2758161 (2017).
Kim, J. & Rahmat-Samii, Y. Implanted antennas inside a human body: simulations, designs, and characterizations. IEEE Trans. Microw. Theory Tech. 52, 1934–1943. https://doi.org/10.1109/TMTT.2004.832018 (2004).
Zheng, G., Shankaran, R., Orgun, M. A., Qiao, L. & Saleem, K. Ideas and challenges for securing wireless implantable medical devices: A review. IEEE Sens. J. 17, 562–576. https://doi.org/10.1109/JSEN.2016.2633973 (2017).
Wu, R., Li, W., Luo, H., Sin, J. K. O. & Yue, C. P. Design and characterization of wireless power links for brain-machine interface applications. IEEE Trans. Power Electron. 29, 5462–5471. https://doi.org/10.1109/TPEL.2014.2301173 (2014).
Nguyen, N., Ha-Van, N. & Seo, C. Midfield wireless power transfer for deep-tissue biomedical implants. IEEE Antennas Wirel. Propag. Lett. 19, 2270–2274. https://doi.org/10.1109/LAWP.2020.3029848 (2020).
Le-Huu, H. & Seo, C. Anti-symmetric wing transmitter for angular misalignment insensitive wireless power transfer to biomedical implants. IEEE Access 11, 26375–26382. https://doi.org/10.1109/ACCESS.2023.3257343 (2023).
Bakogianni, S. & Koulouridis, S. A dual-band implantable rectenna for wireless data and power support at sub-GHz region. IEEE Trans. Antennas Propag. 67, 6800–6810. https://doi.org/10.1109/TAP.2019.2927879 (2019).
Iqbal, A., Sura, P. R., Al-Hasan, M., Mabrouk, I. B. & Denidni, T. A. Wireless power transfer system for deep-implanted biomedical devices. Sci. Rep. 12, 13359. https://doi.org/10.1109/TPEL.2014.2301173 (2022).
Chen, W., Song, J. & Yan, X. Wireless power supply voltage regulation control of implantable devices based on primary side MPC. Prog. Electromagn. Res. C 122, 183–198. https://doi.org/10.2528/PIERC22060701 (2022).
Zada, M., Iman, U. R., Basir, A. & Yoo, H. Battery-free digitally embroidered smart textile energy harvester for wearable healthcare IoTs. IEEE Trans. Industr. Electron. 71, 9865–9874. https://doi.org/10.1109/TIE.2023.3326095 (2024).
Shadid, R., Haerinia, M., Roy, S. & Sima, N. Hybrid inductive power transfer and wireless antenna system for biomedical implanted devices. Prog. Electromagn. Res. C 88, 77–88. https://doi.org/10.2528/PIERC18061604 (2018).
Nithiyanandam, V. & Sampath, V. Design of 1.4 GHz WMTS band implantable antenna and performance measurement for bio-telemetric applications. Prog. Electromagn. Res. Lett. 119, 67–72. https://doi.org/10.2528/PIERL24011401 (2024).
Simorangkir, R. B. V. B. et al. Transparent epidermal antenna for unobtrusive human-centric internet of things applications. IEEE Internet Things J. 11, 1164–1174. https://doi.org/10.1109/JIOT.2023.3288994 (2024).
Acknowledgements
This work was supported by the Institute of Information & communications technology planning & evaluation grant (IITP) funded by the Korean government Ministry of Science and ICT (MIST), under Grant 2022-0-00310.
Author information
Authors and Affiliations
Contributions
N.A. conducted the design analysis, prepared the figures, and manuscript writing, while I.A.S. and U.R.I. handled data acquisition from the measurement setups. A.B. and H.Y. guided and reviewed the manuscript preparation.
Corresponding author
Ethics declarations
Competing interests
The authors declare no competing interests.
Additional information
Publisher’s note
Springer Nature remains neutral with regard to jurisdictional claims in published maps and institutional affiliations.
Rights and permissions
Open Access This article is licensed under a Creative Commons Attribution-NonCommercial-NoDerivatives 4.0 International License, which permits any non-commercial use, sharing, distribution and reproduction in any medium or format, as long as you give appropriate credit to the original author(s) and the source, provide a link to the Creative Commons licence, and indicate if you modified the licensed material. You do not have permission under this licence to share adapted material derived from this article or parts of it. The images or other third party material in this article are included in the article’s Creative Commons licence, unless indicated otherwise in a credit line to the material. If material is not included in the article’s Creative Commons licence and your intended use is not permitted by statutory regulation or exceeds the permitted use, you will need to obtain permission directly from the copyright holder. To view a copy of this licence, visit http://creativecommons.org/licenses/by-nc-nd/4.0/.
About this article
Cite this article
Abbas, N., Basir, A., Ali Shah, I. et al. Development of an efficient mid-field wireless power transmission system for biotelemetric IoT medical devices. Sci Rep 15, 14889 (2025). https://doi.org/10.1038/s41598-025-99609-1
Received:
Accepted:
Published:
Version of record:
DOI: https://doi.org/10.1038/s41598-025-99609-1

















