Fig. 7

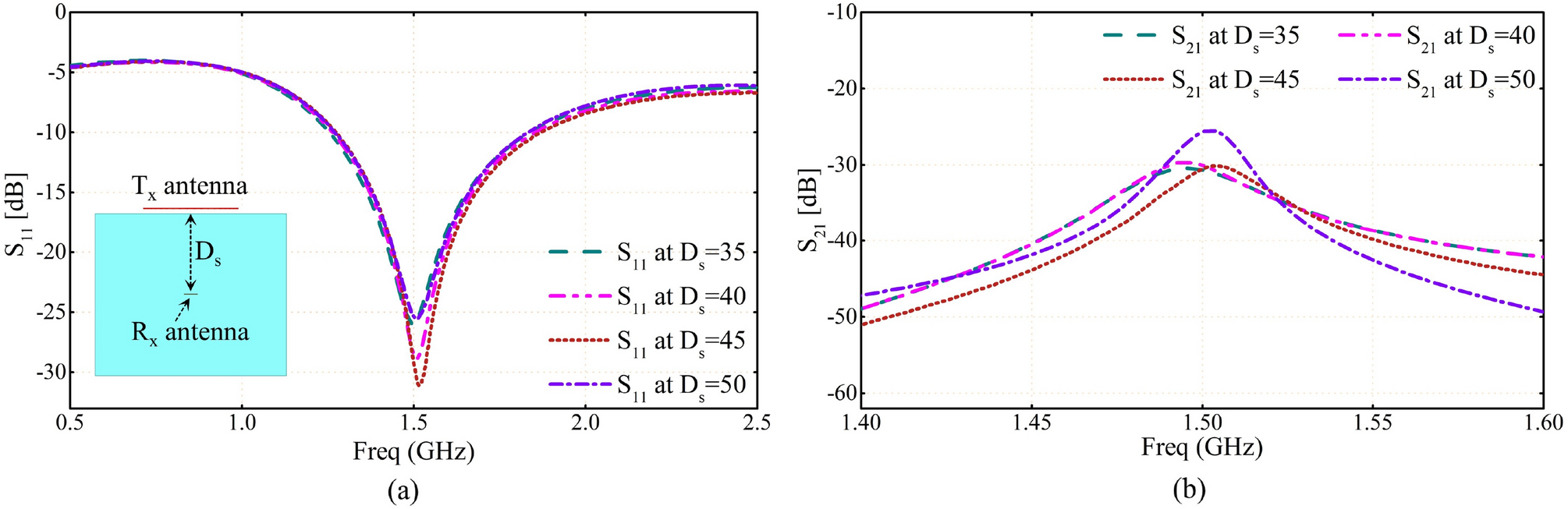
The influence on the overall system performance as the depth of implantation for the \({\text {R}}_{\text {x}}\) antenna varies between 35 mm and 50 mm. (a) \({\text {S}}_{\text {11}}\) and (b) \({\text {S}}_{\text {21}}\).

The influence on the overall system performance as the depth of implantation for the \({\text {R}}_{\text {x}}\) antenna varies between 35 mm and 50 mm. (a) \({\text {S}}_{\text {11}}\) and (b) \({\text {S}}_{\text {21}}\).